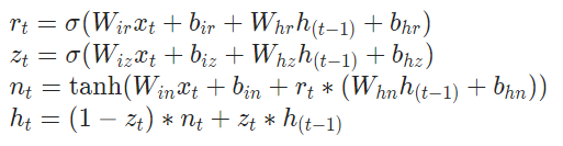
1. 原理结构

2. 代码详解
import torch
from torch import nn
batch_size,sequence_length,H_in,H_out = 2,3,4,5
gru_layer = nn.GRU(input_size=4,hidden_size=5,batch_first=True)
input = torch.randn((batch_size,sequence_length,H_in))
h0 = torch.randn((batch_size,H_out))
output,h_n = gru_layer(input,h0.unsqueeze(0))
# weight_ih_l0 torch.Size([15, 4]) -> (3*H_out,H_in)
# weight_hh_l0 torch.Size([15, 5]) -> (3*H_out,H_out)
# bias_ih_l0 torch.Size([15]) -> (3*H_out)
# bias_hh_l0 torch.Size([15]) -> (3*H_out)
def custom_gru(input,h0,w_ih,w_hh,b_ih,b_hh):
# define the w_times_x
bs,T,h_in=input.shape
h_out = w_ih.shape[0]//3
# w_ih.shape=torch.Size([3*h_out,h_in])
# batch_w_ih.shape = torch.Size([bs,3*h_out,h_in])
batch_w_ih = w_ih.unsqueeze(0).tile([bs,1,1])
# h0.shape=prev_h.shape=torch.Size([bs,h_out])
prev_h = h0
# w_hh.shape=torch.Size([3*h_out,h_out])
# batch_w_hh=torch.Size([bs,3*h_out,h_out])
batch_w_hh = w_hh.unsqueeze(0).tile([bs,1,1])
output = torch.zeros([bs,T,h_out])
for t in range(T):
# input.shape=torch.Size([bs,T,h_in])
# x.shape=torch.Size([bs,h_in])->([bs,h_in,1])
x = input[:,t,:].unsqueeze(-1)
# batch_w_ih.shape=torch.Size([bs,3*h_out,h_in])
# w_ih_times_x.shape=torch.Size([bs,3*h_out,1])->([bs,3*h_out])
w_ih_times_x = torch.bmm(batch_w_ih,x).squeeze(-1)
# batch_w_hh.shape=torch.Size([bs,3*h_out,h_out])
# prev_h.shape=torch.Size([bs,h_out])->([bs,h_out,1])
# w_hh_times_x.shape=torch.Size([bs,3*h_out,1]) ->([bs,3*h_out])
w_hh_times_x = torch.bmm(batch_w_hh,prev_h.unsqueeze(-1)).squeeze(-1)
r_t = torch.sigmoid(w_ih_times_x[:,:h_out]+b_ih[:h_out]+w_hh_times_x[:,:h_out]+b_hh[:h_out])
z_t = torch.sigmoid(w_ih_times_x[:,h_out:2*h_out]+b_ih[h_out:2*h_out]+w_hh_times_x[:,h_out:2*h_out]+b_hh[h_out:2*h_out])
n_t = torch.tanh(w_ih_times_x[:,2*h_out:3*h_out]+b_ih[2*h_out:3*h_out]+r_t*(w_hh_times_x[:,2*h_out:3*h_out]+b_hh[2*h_out:3*h_out]))
prev_h = (1-z_t)*n_t+z_t*prev_h
output[:,t,:] = prev_h
# prev_h.shape=torch.Size([bs,h_out])
# h_n.shape=torch.Size([1,bs,h_out])
h_n = prev_h.unsqueeze(0)
return output,prev_h
# def custom_gru(input,h0,w_ih,w_hh,b_ih,b_hh):
cu_input = input
cu_h0 = h0
cu_w_ih = gru_layer.weight_ih_l0
cu_w_hh = gru_layer.weight_hh_l0
cu_b_ih = gru_layer.bias_ih_l0
cu_b_hh = gru_layer.bias_hh_l0
cu_output,cu_hn = custom_gru(cu_input,cu_h0,cu_w_ih,cu_w_hh,cu_b_ih,cu_b_hh)
torch.isclose(output,cu_output)
(tensor([[[True, True, True, True, True],
[True, True, True, True, True],
[True, True, True, True, True]],
[[True, True, True, True, True],
[True, True, True, True, True],
[True, True, True, True, True]]])
torch.isclose(cu_hn,h_n)
tensor([[[True, True, True, True, True],
[True, True, True, True, True]]]))
3. 小结
参数量是LSTM量的3/4.实现原理跟LSTM一样简单。
版权声明:本文为scar2016原创文章,遵循CC 4.0 BY-SA版权协议,转载请附上原文出处链接和本声明。