目录
??哈喽,大家好丫,你们的小郭子又来啦 ~
?今天我们继续聊一聊【分析题】,
话不多说,直接上干货,嘻嘻嘻 ~



? 第1题
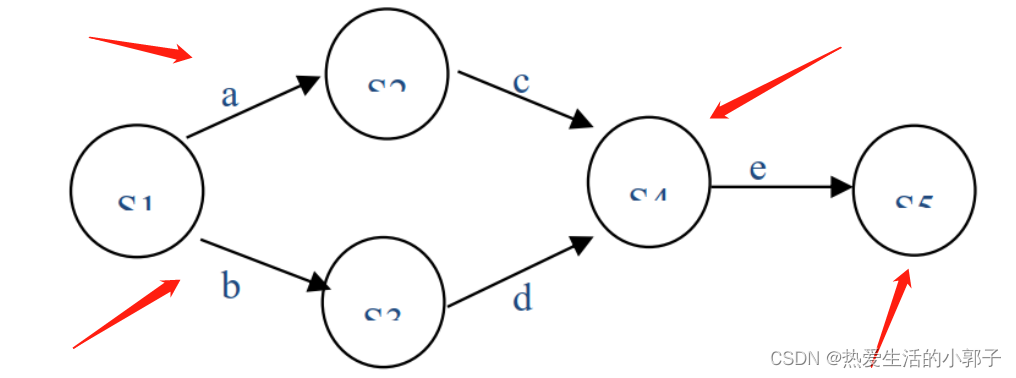
下图给出了进程S1,S2,S3,S4合作完成某一任务的
前趋图,试简要说明这四个进程间的同步关系,并
用wait和signal操作描述。
答案
P1(){S1;signal(a);signal(b);}
P2(){wait(a);S2;signal(c);}
P3(){wait(b);S3;signal(d);}
P4(){wait(c);wait(d);S4;signal(e);}
P5(){wait(e);S5;}
Main(){
Semaphore a,b,c,d,e;
a.value=0,b.value=0,c.value=0,d.value=0,e.value=0;
cobegin
P1();P2();P3();P4();P5();
coend
}
? 第2题
某程序段有下列语句,请画出它们的前趋关系图
S1: x=x+y
S2: a=x+2
S3: b=y+3
S4: c=a+b
S5: d=c+b
答案

? 第3题
已知一组进程的到达时间和要求服务时间,求FCFS和SJF算法的完成时间、周转时间、带权周转时间、平均周转时间和平均带权周转时间。(保留两位小数)
? 第4题
化简图中的进程-资源图,简述化简过程并利用死琐定理给出相应的结论。其中P1,P2表示进程,R1,R2表示资源类别。
答案

R1分配2个资源给P1,分配一个资源给P2,R1还剩0个资源
R2分配1个资源给P2,R2还剩1个资源
P1请求1个R2资源,可以请求成功
P2请求1个R1资源,不能请求成功
所以先执行P1操作,P1执行完后,释放资源,此时R1有2个资源,R2有1个资源
再执行P2操作,P2请求一个R1资源,R1还剩一个,执行后释放资源
? 第5题
某系统中有五个并发进程同时请求ABCD四类资源,已知T0时刻资源分配情况如下表。按要求做题,要求有解题步骤:
(1)T0时刻系统是否处于安全状态?
(2)若在T1时刻进程P2提出请求Request(1,2,2,2),系统能否将资源分配给它?
答案
第(1)小题,要求将解题过程填入下表
第(2)小题,要求先判断进程请求的合法性,再根据具体情况,或者按照(1)小题的方式将解题过程填表,或者直接用语言说明。
因为Req(1,2,2,2)<Available(1 6 5 4)且Req(1,2,2,2)<Need(2,3,5,6)
所以请求是合法的,但是找不到一组安全序列,进程处于不安全状态
? 第6题
已知请求分页系统中某作业存在如下页面走向:3、4、2、3、1、3、5、4、3、2、5、4。
若分配给该作业的物理块数为3,请分别使用OTP算法、FIFO算法和LRU算法计算访问过程中所发生的页面置换次数、缺页次数和缺页率。(要求按下表方式答题)
答案

? 第7题
在某系统中活动头磁盘有200道, 编号从0-199。现有如下访盘请求序列(磁道号): 55,58,39,18,90,160,150,38,184,且当前磁头正处在第100号磁道处向着磁道号增大的方向移动,请分别采用先来先服务(FCFS)磁盘调度算法、最短寻道时间优先(SSTF)磁盘调度算法、扫描算法(SCAN)和循环扫描算法(CSCAN)求平均寻道长度。(按算法将解题过程填表)
答案

? 第8题
有一计算机系统利用下图所示的位示图来管理空闲盘块。盘块的大小为1KB,现要为某文件分配两个盘块,试说明盘块的具体分配过程。
要求按下述步骤答题:
(1)在位示图中找到符合要求的元素(i,j)
(2)计算元素(i,j)对应的盘块号,分配给文件
(3)将元素(i,j)的值改为1
答案
分配量个盘块的过程如下:
⑴ 顺序扫描位示图,从中找到第一个值为0的二进制位,得到行号i=3,列号j=3。
⑵ 将找到的二进制位转换成对应盘块号。盘块号为:b=(3-1)*16+3=35;
⑶ 修改位示图,令map[3,3]=1,并将该盘块分配出去。
类似地,可使用相同的方法找到第二个值为0的二进制位,得到行号i=4,列号j=7,其对应的盘块号为55,令map[i,j]=1,并将该盘块分配出去。
好啦,今天的分享到这里就结束啦 ~
觉得我分享的文章不错的话,可以关注一下哦,嘻嘻嘻







