引入
时间序列也称动态序列,是指将某种现象的指标数值按 照时间顺序排列而成的数值序列。时间序列分析大致可分成 三大部分,分别是描述过去、分析规律和预测未来
时间序列分析中常用的三种模型:季节分解、指数 平滑方法和ARIMA模型
时间序列数据:对同一对象在不同时间连续观察所取得的数据。
例如:
(1)从出生到现在,你的体重的数据(每年生日称一次)。
(2)中国历年来GDP的数据。
(3)在某地方每隔一小时测得的温度数据。
时间序列也称动态序列,是指将某种现象的指标数值按照 时间顺序排列而成的数值序列。
时间序列由两个组成要素构成:
1、第一个要素是时间要素; 年、季度、月、周、日、小时、分钟、秒
2、第二个要素是数值要素。
时间序列根据时间和数值性质的不同,可以分为时期时间序列和时点时间序列。
时期序列中,数值要素反映现象在一定时期内发展的结果; 时点序列中,数值要素反映现象在一定时点上的瞬间水平。
根据上述例子:
(1)从出生到现在,你的体重的数据(每年生日称一次)。 (2)中国历年来GDP的数据。
(3)在某地方每隔一小时测得的温度数据。
(1)和(3)是时点时间序列;(2)是时期时间序列
重要区别
时期序列可加,时点序列不可加。
时期序列中的观测值反映现象在一段时期内发展过程的总量,不同 时期的观测值可以相加,相加结果表明现象在更长一段时间内的活动总 量;而时点序列中的观测值反映现象在某一瞬间上所达到的水平,不同 时期的观测值不能相加,相加结果没有实际意义。
因为时间序列是某个指标数值长期变化的数值表现,所以时间序列数 值变化背后必然蕴含着数值变换的规律性,这些规律性就是时间序列分析 的切入点。
一般情况下,时间序列的数值变化规律有以下四种:
长期趋势:T(常用)
长期趋势(Secular trend,T)指的是统计指标在相当长的一段时间内,受 到长期趋势影响因素的影响,表现出持续上升或持续下降的趋势,通常用字母T表示。例如,随着国家经济的发展,人均收入将逐渐提升;随着医学水平的提高,新生儿死亡率在不断下降。
季节趋势:S(常用)
季节趋势(Seasonal Variation,S)是指由于季节的转变使得指标数值发生周 期性变动。这里的季节是广义的,一般以月、季、周为时间单位,不能以年作单位。例如雪糕和棉衣的销量都会随着季节气温的变化而周期变化;每年的长假(五一、十一、春节)都会引起出行人数的大量增加。
循环变动:C
循环变动(CyclicalVariation,C)与季节变动的周期不同,循环变动通常 以若干年为周期,在曲线图上表现为波浪式的周期变动。这种周期变动的特征变现为增加和减少交替出现,但是并不具严格规则的周期性连续变动。典型的周期案例就是市场经济的商业周期和的整个国家的经济周期。
不规则变动:I
不规则变动(IrregularVariation,I)是由某些随机因素导致的数值变化, 这些因素的作用是不可预知和没有规律性的,可以视为由于众多偶然因素对时间序列造成的影响(在回归中又被称为扰动项)。
以上四种变动就是时间序列数值变化的分解结果。有时这些变动会同 时出现在一个时间序列里面,有时也可能只出现一种或几种,这是由引起 各种变动的影响因素决定的。正是由于变动组合的不确定性,时间序列的 数值变化才那么千变万化。
四种变动与指标数值最终变动的关系可能是叠加关系,也可能是乘积关系。
spss处理时间序列中的缺失值
缺失值发生在时间序列的开头或者尾部,可采用直接删除的方法
缺失值发生在序列的中间位置,则不能删除(删除后原有的时间序列会错位),可采用替换缺失值的方法。
替换缺失值的五种方法
导入数据发现缺失



spss定义时间变量

由于是季度数据,可以进行时间序列分析,画时间序列图

销量有向上的趋势,且第二季度的销量明显高于其他季度,因此数据表现出很强的季节性。随着时间变化,销量数据的季节波动变化不大,因此可使用加法分解模型。
时间序列分解
季节性分解

结果


分析
如果采用乘法分解,那么乘法季节因子的积为1;第二季度的 季节因子为1.206,则表示第二季度的平均销量是全年平均销量的1.206倍
画出分解后的时序图

建立时间序列分析模型(利用spss)

一些概念
平稳时间序列和白噪声序列
差分方程和滞后算子
例如

AR(p)模型(auto regressive)
AR(p)模型平稳的条件
这里一般只考虑(1),(2)两种情况
例如
MA(q)模型(moving average)
MA模型和AR模型的关系
从上面的计算步骤可以看出:我们可以将1阶移动平均模型转换为无穷阶的自回归模型,这一性质称为移动平均模型的可逆性;类似的,我们在某些条件下(可逆性条件)也可以将MA(q)模型也转换为无穷阶的自回归过程。 一般地,任何经济变量的时间序列都可以自回归过程来描述。但在模型分析的实 践中,为简化估计参数的工作量,我们当然希望模型当中的参数尽可能地少。于是便 有了引进移动平均过程MA(q)的必要。
MA(q)模型的平稳性
只要q是常数,那么MA(q)模型一定是平稳的。
ARMA(p,q)模型
ARMA(p,q)模型的平稳性
ACF自相关系数

PACF偏自相关函数
衡量Xt与Xt-s在剔除掉所有中间取值的线性关系
ACF和PACF使用的前提是数据为平稳序列。
模型选择:AIC和BIC准则(选小原则),用于比较两个模型
BIC对于模型的复杂程度的惩罚系数更大,因此BIC往往比AIC选择的模型更简洁
检验模型是否识别完全
非平稳时间序列
ARIMA(p,d,q)模型
SARIMA(Seasonal ARIMA)模型
专家建模里常用模型

缺点:简单指数平滑法预测只能预测一期




建模过程
画出时间序列图判断出数据类型,例如这里是季度数据,从图中看出存在季节性波动,第二季度销售量高,第四季度低
判断数据是否为平稳序列(数据围绕着均值上下波动, 无趋势和季节性)
根据时间序列图可知数据不平稳,有向上趋势
利用spss时间序列预测创建传统模型,结合专家建模器得出最优的模型类型
这里给出的是温特加法模型
温特加法模型意味着原时间序列数据含有线性趋势和稳定的季节成分,我们可以使用加法时间序列分解;

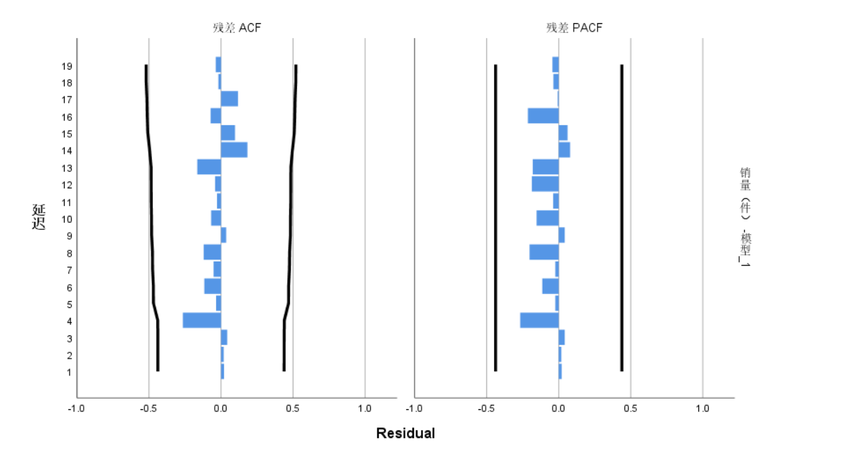
白噪声进行残差检验
从残差的ACF和PACF图 形中可以看出,所有滞后阶数的自相关系数和偏自相关系数均和0没有显著的差异(在区域内)
对残差进行Q检验得到的p值 为0.741,即我们无法拒绝原 假设认为残差就是白噪声序列,因此温特加法模型能够很好的识别本例中的销量数据。
预测结果
可以看出95%的置信水平下预测值落在哪个范围
预测图
从图中可以看出,真实数据和拟合数据的时序图几乎重合,这说明温特加法模型对原数据拟合的效果很好; 另外,预测的后两年的数据既保留了原始序列的季节效应,也同时具有向上的线性趋势,这说明温特加法模型能很好的对该产品的销量数据进行预测。
汇报一下模型拟合度
(1)一般比较两个模型的好坏,我们可以使用平稳的R方或者标准化 BIC(BIC准则),这两个指标既考虑了拟合的好坏,又考虑了模型的复杂度; (2)R方可用来反映线性模型拟合的好坏,越接近于1拟合的越准确。
实例2


专家建模

根据参数值得出预测表达式,MA(2),d=1,



从表中可以看出,可以预测出前14 期,超过14期后预测值不会改变
总结一下

另外,有时候预测还要结合实际背景