在这里的旋转矩阵指的是坐标变换的旋转矩阵。
若矩阵
与四元数
均表示由坐标系G变换至用坐标系L进行表达。
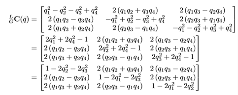
则![]()
![]()
因为某点P绕某轴
旋转
角后在坐标系中的坐标值,等于,保持点在空间中不动,将坐标系绕此轴旋转
角度后,点在新坐标系中的坐标值。
而用四元数进行旋转操作时,是顺时针旋转为正方向。
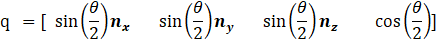
假设坐标系G绕轴
逆时针旋转
角与坐标系L重合,则对应的四元数为
![]()
一、由四元数转换为坐标变换旋转矩阵的关系如下所示。经推导可得相互转换关系如下:(右乘)

下面进行证明:
本旋转矩阵可以用Rodrigues' 旋转矩阵进行推导求证
罗德罗杰斯旋转矩阵如下。旋转轴方向单位矢量
,旋转角度为
。

若采取左乘方式进行旋转,即
,其中,
与
均为行向量。
则旋转效果是原点或图像绕旋转轴顺时针旋转
角度。(左手螺旋法则)
若采取右乘方式进行旋转,即
,其中,
与
均为行向量。
则旋转效果是原点或图像绕旋转轴逆时针旋转
角度。(右手螺旋法则)
因为
,所以若逆时针旋转
角度,等于顺时针旋转
角度,而
,就等于把右乘变为左乘。
易证,
,并且
采取的右乘,所以效果等同于绕旋转轴逆时针旋转
,而由坐标系关系博客可得几何变换与坐标系变换矩阵互逆,而我们可以证明
![]()
绕某轴旋转一定角度的矩阵与绕轴反向旋转的矩阵是互逆的,所以可以证明
与q的关系的正确性。
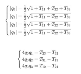
二、由坐标变换旋转矩阵转换为四元数的方法如下所示:
设旋转矩阵T=
则的如下方程:

可得:


因为若绕轴旋转
:
![]()
![]()
![]()
四元数的正负并不影响其的旋转效果。
相关链接:三维旋转:旋转矩阵,欧拉角,四元数 - 一叶斋主人 - 博客园
版权声明:本文为weixin_44010117原创文章,遵循CC 4.0 BY-SA版权协议,转载请附上原文出处链接和本声明。