一、浙江专升本高等数学考点-函数例题答案
判断函数
的奇偶性 答案 奇函数
的有界区间为() A.(-1,0) B(0,1) C(1,2) D(2,3) 答案 A
设
,求
答案
函数
的定义域为() 答案 (-2,-1)U(-1,3]
二、浙江专升本高等数学考点-极限
1.无穷小
(1)如果
=0;那么称
为
的高阶无穷小。
(2)如果
=无穷;那么称
为
的低阶无穷小。
(3)如果
=c(c为不为0的常数);那么称
为
的同阶无穷小。 (4)如果
=1;那么称
为
的同阶无穷小。 (5)如果
=c(c为不为0的常数);那么称
为
的k阶无穷小。
例题
当x->0时,无穷小量
是
的_________无穷小
2.数列极限
(1)抓大头
分子分母同时除以最高次幂
例题
=__________________
(2)重要极限
第一重要极限
第二重要极限
或写成
例题
=___________________
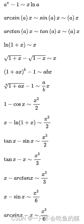
(3)等价无穷小

(4)洛必达
当极限分子分母同时趋于0或∞时,可对分子分母分别求导(有时会失效)
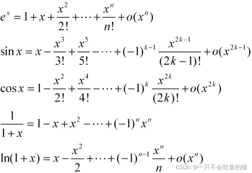
(5)泰勒公式
常用的泰勒展开式


例题还在逐步完善中
答案在下一篇文章中
版权声明:本文为zhjysx原创文章,遵循CC 4.0 BY-SA版权协议,转载请附上原文出处链接和本声明。