目录
1. 倒数第k个节点
OJ:倒数第k个节点
描述
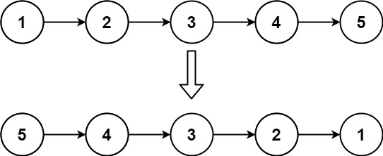
输入一个链表,输出该链表中倒数第k个结点。
示例1
输入:1,{1,2,3,4,5}
返回值:{5}
解题思路
- 思路1
倒数第k个 = 链表长度 - k;
先求出链表的长度,如果k>链表长度,则不存在这个节点,返回null;否则循环到第k个返回。
public ListNode FindKthToTail(ListNode head,int k) {
int length = 0;
ListNode node = head;
while(node != null){
length ++;
node = node.next;
}
if(k >length){
return null;
}
// k = k % length;
int index = length - k;
node = head;
for(int i = 0;i < index;i++){
node = node.next;
}
return node;
}- 思路2
双指针法
(1)fir先走k步,若fir走到空,则说明k>链表长度,直接返回null;
(2)fir与ser一起走,当fir走到null时,ser正好到倒数第k个节点。
public ListNode FindKthToTail(ListNode head,int k) {
if(head == null || k <= 0){
return null;
}
ListNode fir = head,ser = head;
for (int i = 0; i < k; i++) {
if(fir == null){
return null;
}
fir = fir.next;
}
while (fir != null){
fir = fir.next;
ser = ser.next;
}
return ser;
}2. 合并两个有序链表
OJ:合并两个有序链表
将两个升序链表合并为一个新的 升序 链表并返回。新链表是通过拼接给定的两个链表的所有节点组成的。
示例 1:
输入:l1 = [1,2,4], l2 = [1,3,4]
输出:[1,1,2,3,4,4]
示例 2:
输入:l1 = [], l2 = []
输出:[]
示例 3:
输入:l1 = [], l2 = [0]
输出:[0]
解题思路
- 思路1
拼接法
(1)创建一个新的链表,头节点newHead(不存储数据),tail指向新链表的最后一个
(2)判断list1与list2哪个的头节点数据小,将小的那个拼接到新节点的后面,tail后移,list1或list2后移。直到list1与list2其中一个为空。
(3)将剩下没拼接完的拼接到tail后面。
public ListNode mergeTwoLists(ListNode list1, ListNode list2) {
ListNode newHead = new ListNode();
ListNode tail = newHead;
while(list1 != null && list2 != null){
if(list1.val <= list2.val){
tail.next = list1;
tail = list1;
list1 = list1.next;
}else{
tail.next = list2;
tail = list2;
list2 = list2.next;
}
}
if(list1 != null){
tail.next = list1;
}
if(list2 != null){
tail.next = list2;
}
return newHead.next;
}- 思路2
递归法
public ListNode mergeTwoLists(ListNode list1, ListNode list2) {
if(list1 == null){
return list2;
}
if(list2 == null){
return list1;
}
if(list1.val <= list2.val){
list1.next = mergeTwoLists(list1.next,list2);
return list1;
}else {
list2.next = mergeTwoLists(list1,list2.next);
return list2;
}
}3. 链表分割
OJ:链表分割
现有一链表的头指针 ListNode* pHead,给一定值x,编写一段代码将所有小于x的结点排在其余结点之前,且不能改变原来的数据顺序,返回重新排列后的链表的头指针。
解题思路
(1)创建两个新的链表,一个链表的头节点为smallHead,存储小于x的节点,smallTail指向smallHead这个链表的最后一个;另一个链bigHead,存储大于等于x的节点,bigTail指向bigHead这个链表的最后一个。
(2)如果当前节点的值小于x,拼接到smallTail后面,smallTail后移;比x大,拼接到bigTail后面,bigTail后移;一直遍历到pHead链表的最后。
(3)将bigTail的next置空,将两个链表拼接,即将bigHead.next拼接到smallTail后面,返回smallHead.next。
import java.util.*;
public class Partition {
public ListNode partition(ListNode pHead, int x) {
if (pHead == null || pHead.next == null) {
return pHead;
}
// write code here
ListNode smallHead = new ListNode(-101);
ListNode smallTail = smallHead;
ListNode bigHead = new ListNode(-101);
ListNode bigTail = bigHead;
while (pHead != null) {
if (pHead.val < x) {
smallTail.next = pHead;
smallTail = pHead;
} else {
bigTail.next = pHead;
bigTail = pHead;
}
pHead = pHead.next;
}
bigTail.next = null;
smallTail.next = bigHead.next;
return smallHead.next;
}
}4. 反转链表
OJ:反转链表
给你单链表的头节点
head,请你反转链表,并返回反转后的链表。
示例1:

输入:head = [1,2,3,4,5]
输出:[5,4,3,2,1]
解决思路
创建一个新链表,存放反转后的节点
public ListNode reverseList(ListNode head) {
if(head == null || head.next == null){
return head;
}
ListNode newhead = new ListNode();
while(head != null){
ListNode cur = new ListNode(head.val);
cur.next = newhead.next;
newhead.next = cur;
head = head.next;
}
return newhead.next;
}5. 链表的回文结构
OJ:链表的回文结构
对于一个链表,请设计一个时间复杂度为O(n),额外空间复杂度为O(1)的算法,判断其是否为回文结构。
给定一个链表的头指针A,请返回一个bool值,代表其是否为回文结构。保证链表长度小于等于900。
【测试样例】
1->2->2->1
返回:true
解题思路
- 思路1:
借助赋值空间,因为题目说了链表节点个数不超过900,因此辅助空间大小是固定的,故空间复杂也是O(1)
(1)遍历链表,将链表中节点的值域放到数组中
(2)检测数组是否为回文结构
public boolean chkPalindrome(ListNode A) {
int[] array = new int[900];
ListNode cur = A;
int size = 0;
while(cur != null){
array[size++] = cur.val;
cur = cur.next;
}
// 判断是否为回文结构
int left = 0;
int right = size-1;
while(left < right){
if(array[left] != array[right]){
return false;
}
left++;
right--;
}
return true;
}- 思路2
(1)找到链表的中间节点,然后从中间节点位置断开链表,形成两个链表A和B
(2) 对后半部分B进行逆置
(3)从前往后遍历A和B,检测A和B中节点的值域是否都相同,相同就是回文结构,否则就不是
(4) 再对后半部分进行逆置,将A和B拼接会之前的原链表
public boolean chkPalindrome(ListNode A) {
// write code here
// ListNode node2 = middleNode(A);
ListNode node = reverseList(A);
while(A != null && node != null){
if(node.val != A.val){
return false;
}
node = node.next;
A = A.next;
}
return true;
}
public ListNode middleNode(ListNode head) {
ListNode low = head;
ListNode fast = head;
while (fast != null && fast.next != null) {
low = low.next;
fast = fast.next.next;
}
return low;
}
public ListNode reverseList(ListNode head) {
if (head == null || head.next == null) {
return head;
}
ListNode newHead = new ListNode(head.val);
while (head.next != null) {
ListNode cur = new ListNode(head.next.val);
cur.next = newHead;
newHead = cur;
head = head.next;
}
return newHead;
}6. 相交链表
OJ:相交链表
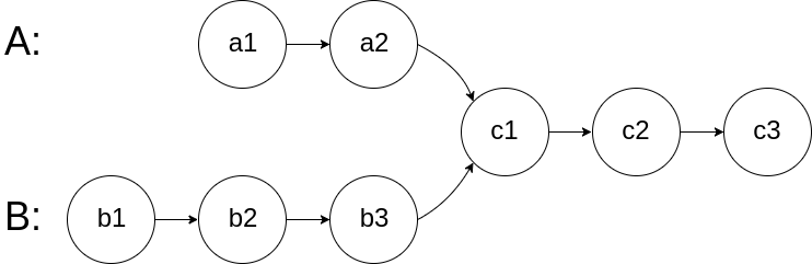
给你两个单链表的头节点
headA和headB,请你找出并返回两个单链表相交的起始节点。如果两个链表不存在相交节点,返回null。图示两个链表在节点
c1开始相交:

题目数据 保证 整个链式结构中不存在环。
注意,函数返回结果后,链表必须 保持其原始结构 。
示例 1:

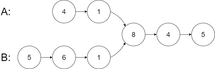
输入:intersectVal = 8, listA = [4,1,8,4,5], listB = [5,6,1,8,4,5], skipA = 2, skipB = 3 输出:Intersected at '8' 解释:相交节点的值为 8 (注意,如果两个链表相交则不能为 0)。 从各自的表头开始算起,链表 A 为 [4,1,8,4,5],链表 B 为 [5,6,1,8,4,5]。 在 A 中,相交节点前有 2 个节点;在 B 中,相交节点前有 3 个节点。 — 请注意相交节点的值不为 1,因为在链表 A 和链表 B 之中值为 1 的节点 (A 中第二个节点和 B 中第三个节点) 是不同的节点。换句话说,它们在内存中指向两个不同的位置,而链表 A 和链表 B 中值为 8 的节点 (A 中第三个节点,B 中第四个节点) 在内存中指向相同的位置。
解题思路
- 思路1
路程相同的原理,引入两个引用listA和listB,若这两个链表有交点 listA走到终点后倒过头从B链表开始走 listB走到终点后倒过头来从A链表开始走。

public ListNode getIntersectionNode(ListNode headA, ListNode headB) {
ListNode listA = headA;
ListNode listB = headB;
while(listA != listB){
listA = listA == null ? headB : listA.next;
listB = listB == null ? headA : listB.next;
}
return listA;
}- 思路2
(1)如果两个链表有一个为空,则一定不会相交
(2)如果两个链表都不为空
a. 找到两个链表的最后一个节点,找的过程中记录链表的长度
b. 如果最后一个节点相同则相交,否则不相交
(3)如果相交,找交点
a. 让长的链表先往后走两个链表差值步
b. 两个同时往后走,相遇时机为交点
public ListNode getIntersectionNode(ListNode headA, ListNode headB) {
// 如果两个链表有一个为空,则一定不会相交
if(null == headA || null == headB){
return null;
}
// 找到两个链表的最后一个节点,找的过程中统计链表的长度
ListNode curA = headA;
int sizeA = 1; // 从1开始是因为cur在最后一个节点时循环进不去
while(null != curA.next){
curA = curA.next;
++sizeA;
}
ListNode curB = headB;
int sizeB = 1;
while(null != curB.next){
curB = curB.next;
sizeB++;
}
// 如果两个链表最后一个节点不同,则一定不相交,否则相交
if(curA != curB){
return null;
}
// 让长的链表从头先走两个链表差值步,然后两个引用同时往后走
curA = headA;
curB = headB;
int gap = sizeA - sizeB;
if(gap > 0){
// curA长
while(0 != gap){
curA = curA.next;
--gap;
}
}else{
// curB长
while(0 != gap){
curB = curB.next;
++gap;
}
}
// curA和curB同时往后移动,相遇的时候即为交点
while(curA != curB){
curA = curA.next;
curB = curB.next;
}
return curA;
}

