题目链接
题目描述
给定链表的头结点 head ,请将其按 升序 排列并返回 排序后的链表 。
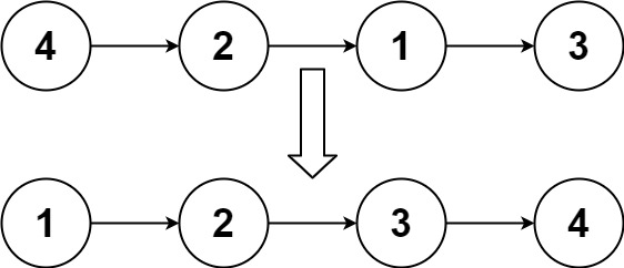
示例 1:
输入:head = [4,2,1,3]
输出:[1,2,3,4]
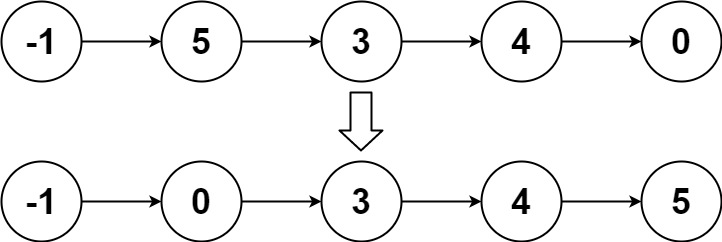
示例 2:
输入:head = [-1,5,3,4,0]
输出:[-1,0,3,4,5]
示例 3:输入:head = []
输出:[]
提示:
链表中节点的数目在范围 [0, 5 * 104] 内
-105 <= Node.val <= 105
进阶:你可以在 O(n log n) 时间复杂度和常数级空间复杂度下,对链表进行排序吗?
解题思路
- 熟悉归并排序的同学应该知道,若采用自底向上归并,可以把递归调用改为迭代,不使用额外空间
- 对于链表,可以把只有1个节点的链表看作有序,即归并的底
- 两个长度为1的链表合并为长度为2的有序链表,两个长度为2的链表合并为长度为4的有序链表,以此类推
- 设归并长度为len,一开始len=1,每进行一轮归并,len*=2,当len>=原始链表长度时,链表排序完成
- 由于链表始终不能断开,因此merge方法中不能用null来判断是否合并完一条链表
- merge方法设计为void Merge(ListNode beforeHead, ListNode mid, ListNode afterTail)
- beforehead用于确定head1和合并的指针位置
- mid是链表2的开始head2,同时也是链表1的结尾哨兵
- afterTail是链表2的结尾哨兵
如何确定每次合并的3个参数?
- 对每个len的首次合并,beforeHead为链表头部之前的哨兵节点
- mid为beforeHead后面的第len+1个节点
- afterTail为mid后面的第len个节点
- 使用上述参数完成一个区间的合并
- 下一个区间的beforeHead为beforeHead后面的第len*2个节点
- 以上移动均需注意是否达到链表尾部的null
- 若beforeHead为null,本轮合并完成
时间复杂度O(nlogn),空间复杂度O(1),只使用了几个变量和1层函数调用
代码
Python
class Solution:
def sortList(self, head: ListNode) -> ListNode:
if not head or not head.next:
return head
n = 0
dummy = ListNode(next=head)
cur = head
while cur:
cur = cur.next
n += 1
len = 1
while len < n:
beforeHead = dummy
while beforeHead:
mid = beforeHead.next
for _ in range(len):
if mid:
mid = mid.next
else:
break
afterTail = mid
for _ in range(len):
if afterTail:
afterTail = afterTail.next
else:
break
self.Merge(beforeHead, mid, afterTail)
for _ in range(len * 2):
if beforeHead:
beforeHead = beforeHead.next
else:
break
len *= 2
return dummy.next
def Merge(self, beforeHead: ListNode, mid: ListNode, afterTail: ListNode):
cur = beforeHead
head1 = cur.next
head2 = mid
while head1 != mid and head2 != afterTail:
if head1.val <= head2.val:
cur.next = head1
head1 = head1.next
else:
cur.next = head2
head2 = head2.next
cur = cur.next
while head1 != mid:
cur.next = head1
head1 = head1.next
cur = cur.next
while head2 != afterTail:
cur.next = head2
head2 = head2.next
cur = cur.next
cur.next = afterTail版权声明:本文为qq_33523932原创文章,遵循CC 4.0 BY-SA版权协议,转载请附上原文出处链接和本声明。

