文章目录
1.控制系统的时域响应和时域性能指标

时域响应是指控制系统在输入信号作用下输出量随时间而变化的情况。由动态过程和稳态过程两部分组成。
1.1动态性能指标

(1)上升时间 tr(Rise Time ):振荡的系统:响应曲线从零首次上
升到稳态值所需的时间;无振荡时:从终值10%上升到终值90%所需的时间。上升时间越短,响应速度越快
(2)峰值时间 tp(PeakTime):响应曲线超过稳态值达到第一个峰值所需要的时间。反映动态过程的快速性
(3)调节时间 ts(Settling Time):响应曲线达到并保持在稳态值的一个允许误差范围内,所需的最短时间.是同时反映响应速度和阻尼程度的综合性指标
(4)超调量 (Overshoot):指输出量的最大偏离量与终值之差的百分比。
1.2稳态性能指标
稳态误差ess (Steady-state error):是描述系统稳态性能的一种性能指标.
2.一阶系统时域动态性能分析
一阶系统的标准形式

一阶系统的单位阶跃响应
动态性能指标:

【例题】

3.二阶系统时域动态性能分析
二阶系统的数学模型
以二阶微分方程或传递函数分母中s的最高次幂为2描
述的系统称为二阶系统 (Second-order systems)

二阶系统的阻尼特性
- 当ζ >1时,特征方程具有两个不相等的负实根,称为过阻尼 (over damped)
- 当ζ=1时,两个相等的负实根,称为临界阻尼
(critically damped) - 当0< ζ <1时,一对负实部的共轭复根,系统的单位阶跃响应具有衰减振荡特性,称为欠阻尼(under damped)
- 当ζ=0时,系统有一对共轭纯虚根,系统单位阶跃响应作等幅振荡,称为无阻尼 (un-damped)。
- 当ζ < 0时,此时系统特征方程具有一对正实部的共轭复根或正实根,系统的单位阶跃响应具有发散特性,称为负阻尼(negatively damped)
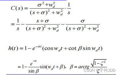
欠阻尼 情况
单位阶跃响应
动态性能指标
1)上升时间(tr)
2)峰值时间(t p)
3)超调量(σ%)
- 调节时间(ts)


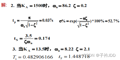
【例题】


单位反馈系统开环传递函数为
试求KA =200时,系统单位阶跃响应动态性能指标,若K A=1500,及K A=13.5,此时动态性能指标如何?

4. 线性系统的稳定性分析
系统稳定性的基本概念
稳定性定义:系统受到扰动后,偏离了原来的平衡状态、产生初始偏差,当扰动消失后,系统能否恢复到原来的平衡状态的能力。如果系统能够逐渐恢复到原来的平衡状态或者附近,则称系统是稳定的,否则称系统是不稳定的。
理想脉冲响应

定理:线性系统稳定的充分必要条件是:闭环系统特征方程的所有根均具有负实部;或者说,闭环传递函数的极点均严格位于左半s平面。
劳斯稳定判据(Routh’s stability criterion)
劳斯判据可以不用解特征方程即可判断特征根是否均在s平面左半平面。
劳斯判据给出的是特征根实部的符号与特征方程系数的关系。
稳定的必要条件:
定理:线性系统稳定的必要条件是特征方程的所有系数均为正,且不缺项。若系统特征方程式的各项系数中有负或零项(缺 项),则系统一定不稳定。
劳斯稳定判据:根据特征方程得到劳斯表

定理:线性系统稳定的充分必要条件是劳斯表中第一列元素全部大于零,若出现小于零的元素,系统不稳定,且第一列元素符号改变的次数等于系统正实部根的个数。
【劳斯判据例题】


劳斯稳定判据的特殊情况:
特殊情况1——零元素:劳斯表中某行的第一列元素为零,且其它元素不为零或不全为零.
处理方法:用任意小的正数a 代替这一行的第一列为零的元素,继续劳斯表的计算判断。
【零元素例题】

特殊情况2——全零行:劳斯表中出现某行系数全为零。
【全零行例题】





相对稳定性分析
实际应用中通常我们还希望在s左半平面的特征根与虚轴有一定的距离,即相对稳定性的情况。
【相对稳定性例题】


2.某焊接机器人的焊接头位置控制系统的结构图如图(b)所示,试用劳斯判据判断使闭环系统稳定的的取值范围。
5.线性系统的稳态误差分析
研究稳态误差前提:系统是稳定的。
定义:
计算方法:
【稳态误差例题】




典型输入信号下的稳态误差分析
单位负反馈系统
典型环节的乘积形式\开环传递函数
式中K为开环增益, v为系统型别
v = 0,1,2,… 分别称为0型,I型,Ⅱ型系统…




『结论』增大v或K容易消除或减少稳态误差,但过大也可能引起系统不稳定,不能无限增大,积分环节不能太多。