先背下下面的表:



类似零阶保持器。
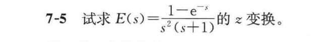
解:


差分方程时域表达注意初试情况,采样的就不必
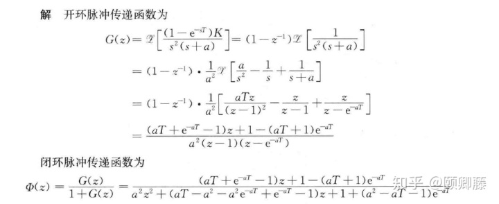
解:


只手写了(C):


嵌套的带有零阶保持器的非单位负反馈的系统,两处反馈的传递函数直接相加;再运用单位负反馈带有零阶保持器的系统规律。
课本上零阶保持器的系统:


解:

7-10 同类型的基础题目(会用零阶保持器的公式):


7-16
解

动态误差系数法不做.

7-17&7-18同类型:




7-12&7-13都是根据劳斯判据判断系统稳定性或者求灵界稳定时候临界放大系数K的值;


7-19&7-20 运用离散系统的终值定理求得误差参数:
公式出处:



版权声明:本文为weixin_35867979原创文章,遵循CC 4.0 BY-SA版权协议,转载请附上原文出处链接和本声明。