一、题目
给定一个二叉树的根节点 root ,返回 它的 中序 遍历 。这里要求时间复杂度O(N),额外空间复杂度O(1)。
示例 1:

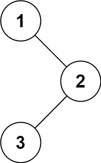
输入:root = [1,null,2,3] 输出:[1,3,2]
示例 2:
输入:root = [] 输出:[]
示例 3:
输入:root = [1] 输出:[1]
提示:
- 树中节点数目在范围
[0, 100]内 -100 <= Node.val <= 100
二、代码
/**
* Definition for a binary tree node.
* public class TreeNode {
* int val;
* TreeNode left;
* TreeNode right;
* TreeNode() {}
* TreeNode(int val) { this.val = val; }
* TreeNode(int val, TreeNode left, TreeNode right) {
* this.val = val;
* this.left = left;
* this.right = right;
* }
* }
*/
class Solution {
public List<Integer> inorderTraversal(TreeNode root) {
List<Integer> ans = new ArrayList<>();
// 过滤无效参数
if (root == null) {
return ans;
}
// 当前遍历到的节点
TreeNode cur = root;
// mostRight是cur左树上的最右节点
TreeNode mostRight = null;
// 开始进行morris遍历
while (cur != null) {
// mostRight先去指向cur的左树,然后在后面去循环找到左树的最右节点
mostRight = cur.left;
// 判断cur是否存在左树
// 情况一:如果cur没有左孩子,则cur向右移动
// 情况二:如果cur有左孩子,则进入到该if分支,去找左树的最右节点
if (mostRight != null) {
// 进入到该分支,就说明此时是情况二
// 遍历找到左树的最右节点
// 这里循环结束条件是如果当向右遍历到一个节点的右指针是空了,说明就遍历到了左树的最右节点了。
// 或者向右遍历到一个节点的右指针指向cur,说明这是第二次来到这个节点了,这个节点就是左树最右节点,只不过第一次遍历到它的时候将它的右指针指向了cur
while (mostRight.right != null && mostRight.right != cur) {
// 找到cur左树的最右节点
mostRight = mostRight.right;
}
// 情况a:如果此时cur左树的最右节点的右指针指向空,说明是第一次遍历到cur这个节点
if (mostRight.right == null) {
// 将其右指针指向cur
mostRight.right = cur;
// cur向左移
cur = cur.left;
// 跳过本轮循环
continue;
// 情况b:如果此时cur左树的最右节点的右指针指向cur,说明是第二次遍历到cur这个节点,cur的左子树肯定都已经遍历过了,就不用再遍历它的左子树了,直接cur = cur.right遍历右子树
} else {
// 将其右指针重新指向Null,还原回以前的样子,然后cur右移
mostRight.right = null;
}
}
// 只会遍历一次的节点,一定会执行到这里。会遍历到两次的节点,在遍历到第二次时也一定会执行到这里,所以就直接在这里打印cur节点
ans.add(cur.val);
// 情况一和情况二的b,都会执行这一步,将cur右移
cur = cur.right;
}
return ans;
}
}三、解题思路
这道题利用Morris遍历改中序遍历,可以实现时间复杂度O(N),额外空间复杂度O(1)的二叉树中序遍历。详细解释见代码注释。
版权声明:本文为cy973071263原创文章,遵循CC 4.0 BY-SA版权协议,转载请附上原文出处链接和本声明。