在上一篇中,总结了第一类换元积分法,中心思想就是把原式中的部分内容放置到d的后边,然后换元。但是第一类换元积分法不是万能的,我们来看一个例子。
能不能用第一类换元积分法解?当然————可以!
上面的这题是可以用第一类换元积分法解决的,但是确实存在一类的问题,无法用换元积分法解决掉
第二类换元积分法
第一种情形——无理函数
啥叫无理函数呢?就是式子里边带根号,比如
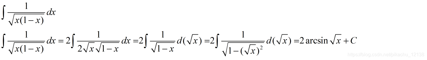
例1
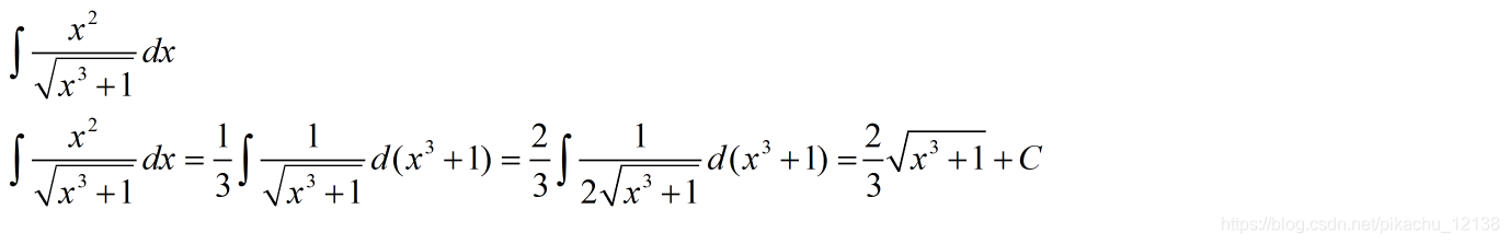
例2
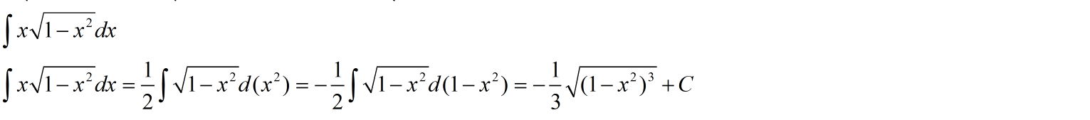
例3
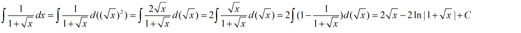
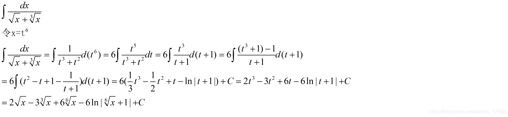
例4 来个简单的
简单吧,简单个鬼!看着简单,完全不会。
是不是有点懂了第二类换元积分法了?没事,我们上理论,看完理论就又不懂了【doge】
第二类换元积分法
注解
对比第一类换元积分法,发现第一类换元积分法是使用一个字母替代一个式子,让整体越来越简单,再来看第二类换元积分法的整体过程,发现第二类换元积分法是使用一个式子替代一个字母,好像是让式子变得复杂了,但是这里的复杂只是看起来复杂,毕竟如果想要使用公式什么的,是不是起码得凑够了东西?
- 首先用φ(t)替代了x;
- φ(t)可导且φ‘(t)不等于0就是φ(t)严格单调,因为φ(t)严格单调所以φ(t)有反函数;
- 在换元之后将积分求出来后,再把x找回来x=φ(t),通过t反解x,t=φ-1(x)
是不是明白了?反正作者还没明白,算了做题吧
例5
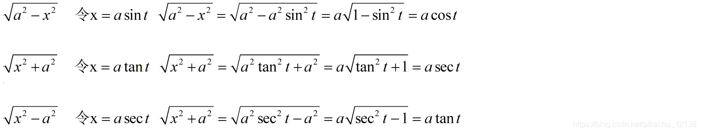
第二种情形——平方和差
在上一篇中给出了不定积分常用的23个公式,其中8个是平方和差公式,死记可能不是那么好记的,我们这里还是来梳理一下其中的三个平方和差公式,梳理之前要求大家记住一个三角形,如下图

别问为什么这样变形,这些变形是固定的,没有为什么,非要说为什么,因为这么变好算。
这个时候把三角形拿出来,我们从左到右画x=asint、x=atant和x=asect
例6
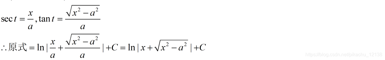
上三角形

需不需要解释最后一步的变形?算了说一下吧
C是一个任意常数,加一个-ln|a|还是任意常数,还是+C
留一个题目,还是公式推导
总结
本篇内容为积分法中的第二类换元积分法,中心思想是用一个严格单调的函数替换式子整体中的一个字母,注意必须是一个严格单调的函数,否则是没有反函数的,最后反解个鬼,emmmmm没词了,本篇完。