ADRC控制器 Ardupilot & SIMULINK 飞控联合开发
使用ADRC替换掉ardupilot中的PID控制器,首先我们需要借助simulink搭建ADRC控制器,进行初步调参,仿真通过后利用simulink to C 生成我们想要的ADRC代码,插入到ardupilot中,最终调参得到ADRC飞控,开发思路借鉴基于模型的开发思路,真实飞机控制效果还待验证,已经通过Ardupilot中SITL仿真。
Adrc控制器
ADRC的控制框图如下:主要包括跟踪微分器(TD)、非线性状态误差反馈(NLSEF)、扩张状态观测器(ESO)。引用
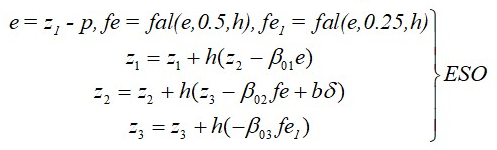
L-ADRC中最重要的是ESO,ESO的核心思想是建立新的状态方程,输入被观测模型的输出与被观测模型的输入,将状态方程对被观测模型进行辨识,最终得到被观测模型的响应特性以及外部扰动,而ADRC的主要思想是对ESO观测出的外部扰动量进行补偿(博主认为就是将扰动作为前馈)。ESO的公式:
在simulink中搭建被控对象的模型,搭建ADRC控制器。
面对ADRC的众多参数,可以参考韩京清教授的书对参数进行简化,甚至可以用粒子群算法进行寻优,此处simulink中仿真步长建议和Ardupilot中控制器更新频率保持一致400HZ。
博主大概调到一个不错的效果就进行下一步了。
Simulink to C++
这里使用Simulink自带模块Embedded coder,将系统中的control system单拿出来进行自动代码生成。Embedded coder功能见下图,博主使用的是MATLAB 2020A,功能模块是下图这样的。使用图中红框的Quick start向导进行设置,会检测你的模型是否有错误,编译通过会生成代码。
Ardupilot PID库替换
自动代码生成源文件
Ardupilot中PID库主要用在角速率环使用,而我的ADRC正是要换掉这部分的控制器,那让我们开始。
首先simulink生成的代码更新函数是rt_OneStep()。这个函数位于simulink生成代码XXX(你的.slx名).cpp中。
我们需要的ADRC库文件就是生成的文件中所有文件。
PID库
此处博主直接对APM的PID库进行修改。首先将ADRC库进行实例化,添加进AC_PID类(libraries/AC_PID/AC_PID.h)的末尾。
sModelClass ADRC_model_Obj;
将ADRC参数的初始化加入到AC_PID的构造函数中(libraries/AC_PID/AC_PID.cpp)。
ADRC_model_Obj.initialize();
Ardupilot中对pid的更新是调用了
float update_all(float target, float measurement, bool limit = false);
我们需要将ADRC的更新函数添加到update_all中
float AC_PID::update_all(float target, float measurement, bool limit)
{
// don't process inf or NaN
if (!isfinite(target) || !isfinite(measurement)) {
return 0.0f;
}
// reset input filter to value received
if (_flags._reset_filter) {
_flags._reset_filter = false;
_target = target;
_error = _target - measurement;
_derivative = 0.0f;
} else {
float error_last = _error;
_target += get_filt_T_alpha() * (target - _target);
_error += get_filt_E_alpha() * ((_target - measurement) - _error);
// calculate and filter derivative
if (_dt > 0.0f) {
float derivative = (_error - error_last) / _dt;
_derivative += get_filt_D_alpha() * (derivative - _derivative);
}
}
// update I term
update_i(limit);
float P_out = (_error * _kp);
float D_out = (_derivative * _kd);
_pid_info.target = _target;
_pid_info.actual = measurement;
_pid_info.error = _error;
_pid_info.P = P_out;
_pid_info.D = D_out;
ADRC_model_Obj.b=_b; //ADRC参数b的更新
ADRC_model_Obj.rtU.target_angle=_target; //ADRC目标量
ADRC_model_Obj.rtU.zhuangtai=measurement; //ADRC ESO需要的反馈回来的信息
ADRC_model_Obj._kp=_kp;ADRC_model_Obj._ki=_ki;ADRC_model_Obj._kd=_kd; //ADRC线性组合两个参数的更新
ADRC_model_Obj._kimax=_kimax;ADRC_model_Obj._kimin=-_kimax;
ADRC_model_Obj._dt=_dt;
rt_OneStep(); //ADRC的更新函数
return ADRC_model_Obj.rtY.caozong; //控制器返回ADRC的输出
}
以上完成了ADRC控制器的添加。
参数添加
ADRC中存在大量可调参数,根据系统带宽已经可以减少掉许多参数,但是这里我还需在地面站中添加几个参数,方便我们调试。
在AC_PID类中添加一个变量,作为接受地面站设置的参数。
AP_Float _b;
每个库的参数表会放在.cpp文件的开始,AC_PID库也不例外,在AC_PID.cpp的开头的const AP_Param::GroupInfo AC_PID::var_info[] 中添加
AP_GROUPINFO("b", 12, AC_PID, _b, 200),
其中b是地面站中显示的参数,注意还会再添加前缀显示再地面站,这里应该会最终显示为ATC_RAT_PIT_b,会随着调用pid库的类改变而增加前缀,具体参照我那篇添加参数的博客。_b是库中接受地面站参数的变量。
仿真&实验
仿真和试飞两项工作博主只完成了第一项,效果不错,利用Ardupilot提供的软件在环仿真工具包进行ADRC控制器的调参仿真。直接使用下列指令
./Tools/autotest/sim_vehicle.py -v ArduCopter --console --output 192.168.145.1 --map -D
直接和windows下的地面站联合仿真,ps(本人不太会Xplane与ardupilot联合仿真,听说Xplane可以自建新机型,求教)。