
我们都知道这么一个可爱的积分
既然是拉普拉斯积分,那当然可以用拉普拉斯发明的工具——拉普拉斯变换来搞呗
至于求解过程,参考以下文章:
弧长长长长长:公式墙(1)——Laplace Transform(拉普拉斯变换)zhuanlan.zhihu.com
我们稍加变换,变成另一个积分:
我们这次不用拉普拉斯变换,咱用微分方程淦它~
我们先把
于是就很容易发现
沿用拉普拉斯积分计算方法,考虑到在三阶导形式变形
很容易发现
这个太太太好解了,为了详略得当,解略
具体解法可参照大佬 @Aries 的文章
Aries:初三党搞积日常(1)zhuanlan.zhihu.com
看完这个,我们不妨再思考思考,我再把分母变一下
这玩意儿可咋整啊
算了,直接无脑留数定理,
构造半圆围道

由留数定理
由
下面来计算留数,让我们打开MMA......(好吧不闹了)
SO:
Finally:
呼,过了~
(那个留数真的把我差点算死了~[求导不过关])
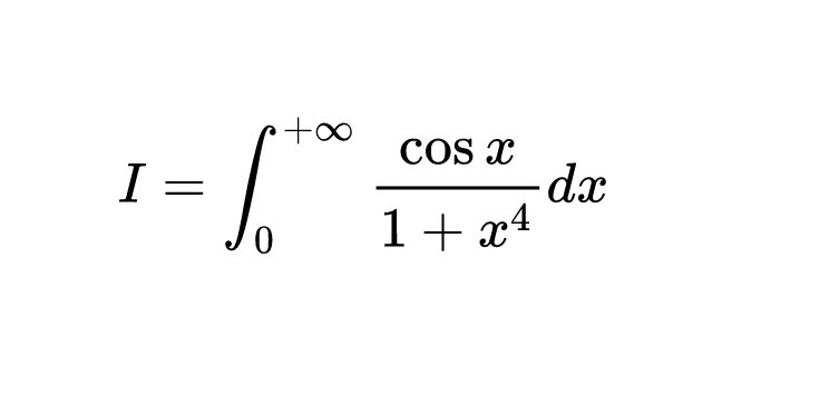
别急,现在才进入正题!我们思考一下封面上的积分
别的骚办法我也不思考了,咱们还是用留数定理

而且
明显需要利用 leibniz 求导法则
由递推可得
带入即得到
When
When
带到Leibniz公式
SO~
Finally:
上帝保佑我没算错~
这一期文章比较爽,但是就是有点费手~
留几个习题
版权声明:本文为weixin_39586915原创文章,遵循CC 4.0 BY-SA版权协议,转载请附上原文出处链接和本声明。