树
树的定义
树(Tree):n ( n ≥ 0 ) n(n \geq 0)n(n≥0)个结点构成的有限集合。当n=0时,称为空树。
对于任一棵非空树(n > 0 n>0n>0),它具有以下性质:
树中有一个称为“根(Root)”的特殊结点,用r表示;
其余结点可分为m ( m > 0 ) m(m>0)m(m>0)个互不相交的有限集T 1 , T 2 , … … , T m T_1,T_2,……,T_mT1,T2,……,Tm,其中每一个集合本身又是一棵树,称为原来树的“子树(SubTree)”

子树是互不相交的;
除了根节点外,每个结点有且仅有一个父节点;
不是树的几个例子:
一棵N个节点的树有N-1条边。(除了根结点,其余节点往上都有一条边)
树的一些基本术语
结点的度(Degree):结点的子树个数(即结点下面直接连着的边的条数。)
树的度:树中所有结点中最大的度数
叶结点(Leaf):度为0的结点
父结点(Parent):有子树的的结点是其子树的根结点的父结点
子结点(Child):若A结点是B结点的父结点,则称B结点是A结点的子结点,子结点也称孩子结点。
兄弟结点(Sibling):具有同一父结点的各结点彼此是兄弟结点。
路径和路径的长度:从结点n 1 n_1n1到n k n_knk的路径为一个结点序列n 1 , n 2 , . . . , n k n_1,n_2,...,n_kn1,n2,...,nk,n i n_ini是n i + 1 n_{i+1}ni+1的父结点。路径所包含边的个数为路径的长度。
祖先结点(Ancestor):沿树根到某一结点路径上的所有结点都是这个结点的祖先结点。
子孙结点(Descendant):某一结点的子树中的所有结点是这个结点的子孙。
结点的层次(Level):规定根结点在1层,其他任一结点的层数是其父结点的层数加1。
树的深度(Depth):树中所有结点中最大层次是这棵树的深度。
树的表示

- 数组实现
很难,因为不容易判别一个结点的父结点子结点和兄弟结点等等,故一般不用。 - 链表实现
- 结点不一致

由于代码方面很难设计,所以一般不用。 - 结点一致
按照树的度来设计结点指针域
若树的度为d dd,则设计d dd个指针域。但是有些结点不一定有d dd个子结点,故会造成空间的浪费。
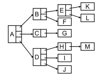
假设有n nn个结点,那么会被设计n × d n \times dn×d个指针域,但是n nn个结点只有n − 1 n-1n−1条边,所以将会有n × d − n + 1 n \times d-n+1n×d−n+1个指针域的空间被浪费。儿子-兄弟表示法:每个结点设计两个指针域。第一个用来指向该结点的第一个子结点,第二个用来指向该节点的兄弟结点

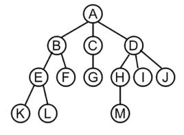
针对上面的树,得到的表示图形如下:

假设有n nn个结点,那么会被设计2 n 2n2n个指针域,n nn个结点有n − 1 n-1n−1条边,所以只会有n + 1 n+1n+1个指针域的空间被浪费。
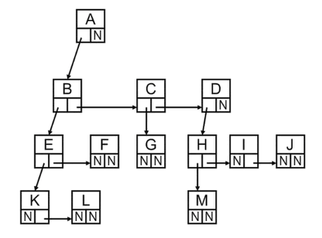
将链表表示图旋转45度,将会得到一个二叉树的图。
由此可见,一般的树都可以用二叉树链表来实现,所以二叉树的内容在树中是很重要的,接下来着重学习二叉树。
- 结点不一致