基于干扰观测器的控制(NDOBC,nonlinear disturbance observer based control)
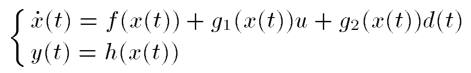
- 模型的建立:——将非线性系统描述为:

其中,x、u、d分别为状态向量、输入向量、外部扰动向量;f(x)、g1(x)、g2(x)是关于x的光滑函数。
- 对于该系统的一般设计步骤:
- 在假定扰动可测的前提下,设计系统的非线性控制器,以达到稳定性和其他性能指标。
- 设计一个非线性扰动观测器来估计扰动。
- 将扰动观测器与控制器集成,将控制律中的扰动替换为扰动观测器产生的扰动估计。

假设扰动是由线性外生系统产生的

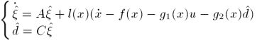
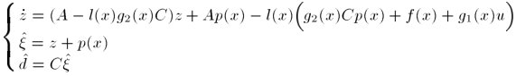
为了估计未知扰动,提出了一个基本扰动观测器为:

其中,l(x)为观测器的非线性增益函数:
。

定理1:如果选择非线性增益函数(x),扰动观测器可以指数跟踪扰动:
![]()
是全局指数稳定的,估计误差定义为 :![]()
定理2:非线性扰动观测器产生的估计,如果存在一个增益K,使传递函数全局指数收敛于被扰动
![]()
渐近稳定且严格正实数,其中
。
参考文献:Disturbance Observer Based Control for Nonlinear Systems
版权声明:本文为xxxx_cheng999原创文章,遵循CC 4.0 BY-SA版权协议,转载请附上原文出处链接和本声明。