欢迎关注我的微信公众号:射频工程师的日常,每天给你分享技术干货
目前市面上的电容种类繁多,在为我们的电源电路选择输入电容的时候难免会挑花了眼。本文就来浅析一下如何选择输入电容及其相关的计算。如有问题,欢迎指正。
1. 电源电路常见电容分类
以下罗列了几种电源电路中常见的电容种类及其特点,以供参考。

2. 输入电容的选择和计算
a. 电流参数计算
Buck电路中输入电容纹波电流的有效值计算公式推导过程如下:

根据上图可得:

由Vo=D*Vin和能量守恒得:

将(1-1)和(1-3)带入(1-2)得:

由有效值定义得:

由上述公式可知当V_o=0.5V_in 即占空比D=0.5时,输入电容纹波电流最大:

所以为了简化,选择RMS额定电流大于最大负载电流一半的输入电容器即可。
b. 电压参数计算
同时,输入电容容值也会影响转换器的输入电压纹波。
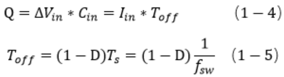
由于一个周期内,电容的充电电荷量和放电电荷量必然是一样的。为了简便计算,对充电过程(上管断开时,对输入电容进行充电)进行分析,因为此时充电电流为输入电流,为Iin。
根据电荷量计算公式可得:

将(1-3)和(1-5)带入(1-4)可得到电压纹波电压计算公式:

带入之前讨论的最恶劣情况Vo=0.5Vin后,得到:

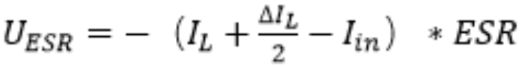
由于使用的电容都不可能为理想电容,必定会带来一些寄生参数。如果将ESR带入考虑的话,分析如下

当上管断开时,ESR上面产生的压降时恒定的,为:

当上管导通时,ESR上产生的最大压降为:

则一个周期的ESR电压纹波电压为:

已知


将(1-7)和(1-8)带入(1-6)得到由ESR带来的输入电压纹波为:

对于输入电容的种类,一般建议选择X5R、X7R陶瓷介质的MLCC。因为这一类电容成本较低,且它们的温度系数较低(-/+15%左右),即单位温度的变化对电容容值的变化影响小。再根据上述计算公式,按照对输入电压的纹波要求(一般不超过最大输入电压的10%),得到所需电容容值及其RMS额定电流。另外,在选择时还需要注意电容的耐压值必须要高于最大输入电压。