迪杰斯特拉(dijkstra)算法是单源最短路径问题的求解方法。单源最短路径就在给出一个固定网络,指定一个原点s,一个目标点e,求这两个点之间的最短路径。举个栗子来理解一下。
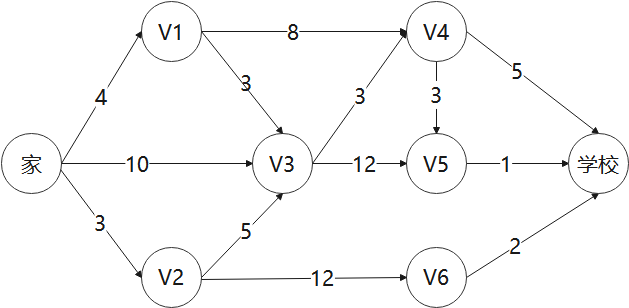
小明上学的时候,从家到学校的道路非常多,小明为了减少路上骑车的时间,因此,想找出一个最短的路径。他构造一个网络图,如下:

小明是一个很喜欢动脑筋的同学,他开始研究如何才能找出最优的路径呢?
1)所有的点到家的距离都进行初始化:
2)每次选择距离家最短的一个点,然后用这个点的距离更新其他相邻点到家的距离,如果比当前的点小,则更新节点的值。
查看所有点,V2距离家最近,则用V2更新与它相邻的点
V3: MIN(10, 3 + 5) = 8
V6: MIN(3 + 12, INF) = 15

3) 剔除掉V2这个点,然后从所有点中找距离家最小值的点,发现V1最小,更新V1相连的点 V3, V4
V3: MIN(8, 4+3) = 7
V4: MIN(4+8, INF) = 12

4)剔除掉V1这个点,继续找最小值的点 V3,更新V3相连的点 V4 V5
V4: MIN(12, 10) = 10
V5: MIN(7 + 12, INF) = 19

5)剔除掉V3这个点,继续找最小值的点 V4,更新V4相连的点 学校和 V5
学校: MIN(10+5, INF) = 15
V5: MIN(19, 10+3) = 13

6)剔除掉V4这个点,继续找最小值的点 V5,更新V5相连的点 学校
学校: MIN(15, 13+1) = 14

6)剔除掉V5这个点,继续找最小值的点 学校,更新学校相连的点 NULL。
到目前为止,小明找打了从家到学校的最短距离为14,经过的路径为:家-V1-V3-V4-V5-学校。
上面的整个流程就是dijkstra算法的核心思想,下面给出流程:
1)dist[]存储第i个节点到家的距离,visited[i]=true 代表第i个点是否已经遍历过。
2)遍历所有visited[i] == false的点,找出dist[i]最小的点 k。
3)遍历与k相连的点j,用 min(dist[j], dist[k] + edge[k][j])来更新 dist[j]。
4)将visited[k] = true;
5) 如果还存在点,返回2)
实例代码
练习:Dijkstra求最短路
给定一个n个点m条边的有向图,图中可能存在重边和自环,所有边权均为正值。
请你求出1号点到n号点的最短距离,如果无法从1号点走到n号点,则输出-1。
输入格式
第一行包含整数n和m。
接下来m行每行包含三个整数x,y,z,表示存在一条从点x到点y的有向边,边长为z。
输出格式
输出一个整数,表示1号点到n号点的最短距离。
如果路径不存在,则输出-1。
数据范围
1≤n≤500,
1≤m≤105,
图中涉及边长均不超过10000。
输入样例:
3 3
1 2 2
2 3 1
1 3 4
输出样例:
3
实现代码+注释
#include<stdio.h>
#include<stdlib.h>
#include<string.h>
int edges[550][550]; // 存放所有的边,例如 edges[i][j] 代表从i到j的距离
int dist[550]; // 记录当前所有点到起点的距离
int visited[550]; // 标记当前的点是否被踢出
int dijkstra(int n, int m)
{
for (int i = 1; i <= n; i++) { // 每次循环都会剔除掉1个点,因此需要for循环遍历n次。
int index = -1; // index代表当前未被访问的距离原点最近的点
dist[1] = 0; // 原点到原点的距离为0,这个很重要,否则下面for循环所有的dist都是0x3f3f3f3f,无法找出index。
for (int j = 1; j <= n; j++) { // find the index of min distance
if (!visited[j] && (index == -1 || dist[j] < dist[index])) { // 当前的点没有被踢出,并且当前点的距离比index点的距离小,则更新index。index == -1表示还未开始找到dist中最小值,则把dist[1]加入。
index = j;
}
}
visited[index] = 1; //找到当前距离原点最小值的点,则把点进行标记踢出。
for (int j = 1; j <= n; j++) {
if (dist[index] + edges[index][j] < dist[j]) { //index点更新与它相连的所有点。
dist[j] = dist[index] + edges[index][j];
}
}
}
if (dist[n] == 0x3f3f3f3f) { //如果没有到n点的路径,则返回-1
return -1;
}
return dist[n];
}
int main()
{
memset(edges, 0x3f, sizeof(edges));
int n,m;
scanf("%d %d", &n, &m);
for (int i = 0; i < m; i++) {
int start,end,d;
scanf("%d %d %d", &start, &end, &d);
edges[start][end] = edges[start][end] > d ? d: edges[start][end]; //因为题目输入中存在重边,所以,每次取最小值。
}
memset(dist, 0x3f, sizeof(dist)); // 初始化每个dist的值为0x3f3f3f3f, memset是按照字节来设置的,每个字节为0x3f, int四个字节,因此是 0x3f3f3f3f.
memset(visited, 0, sizeof(visited)); // 初始化所有的点都没有被踢出。
printf("%d\n", dijkstra(n,m));
return 0;
}
版权声明:本文为PRML_MAN原创文章,遵循CC 4.0 BY-SA版权协议,转载请附上原文出处链接和本声明。