给你两个单链表的头节点 headA 和 headB ,请你找出并返回两个单链表相交的起始节点。如果两个链表不存在相交节点,返回 null 。
图示两个链表在节点 c1 开始相交:

题目数据 保证 整个链式结构中不存在环。
注意,函数返回结果后,链表必须 保持其原始结构 。
自定义评测:
评测系统 的输入如下(你设计的程序 不适用 此输入):
intersectVal - 相交的起始节点的值。如果不存在相交节点,这一值为 0
listA - 第一个链表
listB - 第二个链表
skipA - 在 listA 中(从头节点开始)跳到交叉节点的节点数
skipB - 在 listB 中(从头节点开始)跳到交叉节点的节点数
评测系统将根据这些输入创建链式数据结构,并将两个头节点 headA 和 headB 传递给你的程序。如果程序能够正确返回相交节点,那么你的解决方案将被 视作正确答案 。
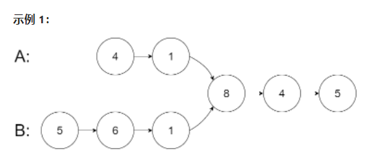
示例 1:

输入:intersectVal = 8, listA = [4,1,8,4,5], listB = [5,6,1,8,4,5], skipA = 2, skipB = 3
输出:Intersected at '8'
解释:相交节点的值为 8 (注意,如果两个链表相交则不能为 0)。
从各自的表头开始算起,链表 A 为 [4,1,8,4,5],链表 B 为 [5,6,1,8,4,5]。
在 A 中,相交节点前有 2 个节点;在 B 中,相交节点前有 3 个节点。
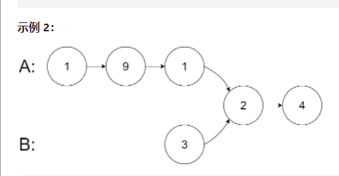
示例 2:

输入:intersectVal = 2, listA = [1,9,1,2,4], listB = [3,2,4], skipA = 3, skipB = 1
输出:Intersected at '2'
解释:相交节点的值为 2 (注意,如果两个链表相交则不能为 0)。
从各自的表头开始算起,链表 A 为 [1,9,1,2,4],链表 B 为 [3,2,4]。
在 A 中,相交节点前有 3 个节点;在 B 中,相交节点前有 1 个节点。

输入:intersectVal = 0, listA = [2,6,4], listB = [1,5], skipA = 3, skipB = 2
输出:null
解释:从各自的表头开始算起,链表 A 为 [2,6,4],链表 B 为 [1,5]。
由于这两个链表不相交,所以 intersectVal 必须为 0,而 skipA 和 skipB 可以是任意值。
这两个链表不相交,因此返回 null 。
来源:力扣(LeetCode)
1.1使用双指针,分别指向A,B的头,分别先遍历链表A,B,当其中某链表被指向结尾后,该指针指向另一链表头结点,遍历,当两指针均指向同一节点,则该结点是相交结点;若同时指向null,那么没有相交结点
public ListNode getIntersectionNode(ListNode headA, ListNode headB) {
if(headA == null || headB == null)
return null;
ListNode pA=headA,pB=headB;
while (pA != pB){
pA = pA == null ? headB : pA.next; //当pA==null时,指向headB,否则指向A的下一结点
pB = pB == null ? headA : pB.next;//当pA==null时,指向headB,否则指向A的下一结点
}
return pA;
} 1.2 先分别计算链表A、B的长度,再计算两链表相差的长度
public ListNode getIntersectionNode(ListNode headA, ListNode headB) {
int L1=0,L2=0,diff=0;
ListNode head1 = headA,head2 = headB;
while(head1 != null){//计算headA长度
L1++;
head1 = head1.next;
}
while(head2 != null){//计算headB长度
L2++;
head2 = head2.next;
}
if(L1 < L2){//如果L1链条较短,计算相差值
head1 = headB;
head2 = headA;
diff = L2-L1;
}else{
head1 = headA;
head2 = headB;
diff = L1-L2;
}
for(int i = 0; i<diff; i++){
head1 =head1.next;
}
while(head1 != null && head2 != null){
if(head1 == head2)
return head1;
head1 = head1.next;
head2 = head2.next;
}
return null;
}