贝叶斯定理

就和我们高中的那个,在一个条件下,再进行另一个条件的概率求解问题
朴素贝叶斯分类法

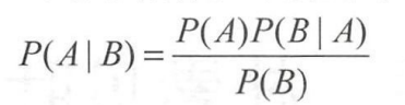
这个公式推导我没看懂,但是我知道它大体是讲什么的。
举一个简单的例子:

这个图片是驾龄,车速和性别的数据,我们接下来将会根据这个数据来开展我们的朴素贝叶斯的介绍。
问题:假设现在有一个人是驾龄2年,还开车速度80码,判断是男是女?
解决问题的步骤:
- 算出是女性的概率相对值
- 算出是男性的概率相对值
- 最后比较,或者算出绝对概率值,判断是男是女
具体步骤:
连续值的处理

解题:
【世界上很多事物都是符合正态分布的发展规律的】
由于人类的身高,体重,脚掌都满足于高斯分布(就是正态分布),所以说最好的办法就是用高斯分布的密度函数来求相对概率。
版权声明:本文为weixin_42198265原创文章,遵循CC 4.0 BY-SA版权协议,转载请附上原文出处链接和本声明。
