Skip to content
  • 首页
  • PHP源码
  • html5网页模板
  • js特效
  • Window软件
  • Mac软件
  • 服务器
  • 其他
Search
源码巴士
  • Sample Page

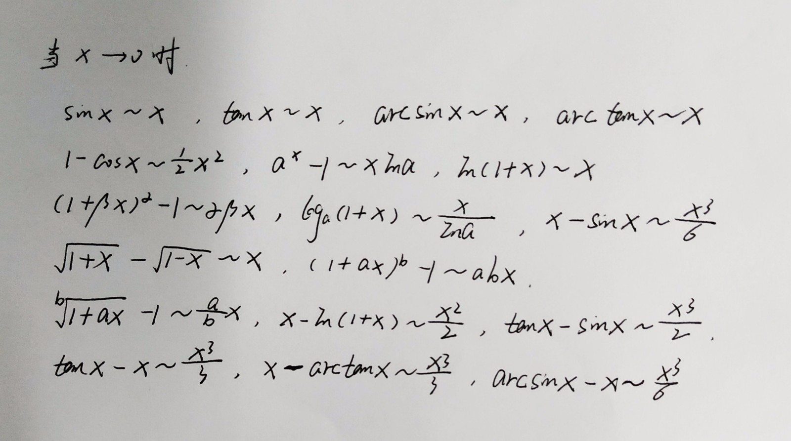
高数等价无穷小替换公式

 


版权声明:本文为qq_54493645原创文章,遵循CC 4.0 BY-SA版权协议,转载请附上原文出处链接和本声明。
原文链接:https://blog.csdn.net/qq_54493645/article/details/120872880
文章导航
←2021年了,学Java有前途吗?
计算机adminstor用户不见了,Win10管理员账户不见了如何用Administrator登录→

Copyright © 2022 源码巴士  鲁ICP备19024253号-1