3.常用五大数据类型
3.1. Redis键(key)
keys * 查看当前库所有key
exists key判断某个key是否存在
type key 查看你的key是什么类型
del key 删除指定的key数据
unlink key 根据value选择非阻塞删除
仅将keys从keyspace元数据中删除,真正的删除会在后续异步操作。expire key 10
10秒钟:为给定的key设置过期时间ttl key 查看还有多少秒过期,-1表示永不过期,-2表示已过期
select命令切换数据库
dbsize查看当前数据库的key的数量
flushdb清空当前库
flushall通杀全部库
3.2. Redis字符串(String)
3.2.1. 简介
String是Redis最基本的类型,你可以理解成与Memcached一模一样的类型,一个key对应一个value。
String类型是二进制安全的。意味着Redis的string可以包含任何数据。比如jpg图片或者序列化的对象。
String类型是Redis最基本的数据类型,一个Redis中字符串value最多可以是512M
3.2.2. 常用命令
set <key><value> : 添加键值对
get <key> : 查询对应键值
append <key><value> : 将给定的<value> 追加到原值的末尾
strlen <key> : 获得值的长度
setnx <key><value> :只有在 key不存在时,设置 key 的值 (如果存在则添加不成功)
incr <key> : 将 key 中储存的数字值增1 (只能对数字值操作,如果为空,新增值为1)
decr <key> : 将 key 中储存的数字值减1 (只能对数字值操作,如果为空,新增值为-1)
incrby / decrby <key><步长> : 将 key 中储存的数字值增减。自定义步长。
原子性:
所谓原子操作是指不会被线程调度机制打断的操作;
这种操作一旦开始,就一直运行到结束,中间不会有任何 context switch (切换到另一个线程)。
(1)在单线程中, 能够在单条指令中完成的操作都可以认为是"原子操作",因为中断只能发生于指令之间。
(2)在多线程中,不能被其它进程(线程)打断的操作就叫原子操作。
Redis单命令的原子性主要得益于Redis的单线程。
案例:
java中的i++是否是原子操作? 不是
i=0;两个线程分别对i进行++100次,值是多少? 2~200
mset <key1><value1><key2><value2> ..... :同时设置一个或多个 key-value对
mget <key1><key2><key3> ..... :同时获取一个或多个 value
msetnx <key1><value1><key2><value2> ..... :同时设置一个或多个 key-value 对,当且仅当所有给定 key 都不存在。
原子性,有一个失败则都失败
getrange <key><起始位置><结束位置> : 获得值的范围,类似java中的substring,前包,后包
setrange <key><起始位置><value> : 用 <value> 覆写<key>所储存的字符串值,从<起始位置>开始(索引从0开始)。
setex <key><过期时间><value> :设置键值的同时,设置过期时间,单位秒。
getset <key><value>: 以新换旧,设置了新值同时获得旧值。
3.2.3. 数据结构
String的数据结构为简单动态字符串(Simple Dynamic String,缩写SDS)。是可以修改的字符串,内部结构实现上类似于Java的ArrayList,采用预分配冗余空间的方式来减少内存的频繁分配.
如图中所示,内部为当前字符串实际分配的空间capacity一般要高于实际字符串长度len。当字符串长度小于1M时,扩容都是加倍现有的空间,如果超过1M,扩容时一次只会多扩1M的空间。需要注意的是字符串最大长度为512M。
3.3. Redis列表(List)
3.3.1. 简介
单键多值:
Redis 列表是简单的字符串列表,按照插入顺序排序。你可以添加一个元素到列表的头部(左边)或者尾部(右边)。
它的底层实际是个双向链表,对两端的操作性能很高,通过索引下标的操作中间的节点性能会较差。

3.3.2. 常用命令
lpush/rpush <key><value1><value2><value3> .... :从左边/右边插入一个或多个值。
lpop/rpop <key> :从左边/右边吐出一个值。(吐出是指值没了,值在键在,值光键亡。)
rpoplpush <key1><key2> :从<key1> 列表右边吐出一个值,插到<key2>列表左边。
lrange <key><start><stop> :按照索引下标获得元素(从左到右)
eg:lrange mylist 0 -1 0左边第一个,-1右边第一个,(0-1表示获取所有)
lindex <key><index> :按照索引下标获得元素(从左到右)
llen <key> :获得列表长度
linsert <key> before <value><newvalue> :在<value>的前面插入<newvalue>
(before 换成after就是在value的后面插入newvalue)
lrem <key><n><value> :从左边删除n个value(从左到右)
lset<key><index><value> :将列表key下标为index的值替换成value
3.3.3. 数据结构
List的数据结构为快速链表quickList。
首先在列表元素较少的情况下会使用一块连续的内存存储,这个结构是ziplist,也即是压缩列表。它将所有的元素紧挨着一起存储,分配的是一块连续的内存。
当数据量比较多的时候才会改成quicklist。因为普通的链表需要的附加指针空间太大,会比较浪费空间。比如这个列表里存的只是int类型的数据,结构上还需要两个额外的指针prev和next。

Redis将链表和ziplist结合起来组成了quicklist。也就是将多个ziplist使用双向指针串起来使用。这样既满足了快速的插入删除性能,又不会出现太大的空间冗余。
3.4. Redis集合(Set)
3.4.1. 简介
Redis set 对外提供的功能与list类似是一个列表的功能,特殊之处在于set是可以自动排重的,当你需要存储一个列表数据,又不希望出现重复数据时,set是一个很好的选择,并且set提供了判断某个成员是否在一个set集合内的重要接口,这个也是list所不能提供的。
Redis的Set是string类型的无序集合。它底层其实是一个value为null的hash表,所以添加,删除,查找的复杂度都是O(1)。
一个算法,随着数据的增加,执行时间的长短,如果是O(1),数据增加,查找数据的时间不变。
3.4.2. 常用命令
sadd <key><value1><value2> ..... :将一个或多个 member 元素加入到集合 key 中,已经存在的 member 元素将被忽略
smembers <key> :取出该集合的所有值。
sismember <key><value> :判断集合<key>是否为含有该<value>值,有1,没有0
scard<key> :返回该集合的元素个数。
srem <key><value1><value2> .... :删除集合中的某个元素。
spop <key> :随机从该集合中吐出一个值。(吐出就是删掉)
srandmember <key><n> :随机从该集合中取出n个值。不会从集合中删除 。
smove <source><destination> value :把集合中一个值从一个集合移动到另一个集合
sinter <key1><key2> :返回两个集合的交集元素。
sunion <key1><key2> :返回两个集合的并集元素。
sdiff <key1><key2> :返回两个集合的差集元素(key1中的,不包含key2中的)
3.4.3. 数据结构
Set数据结构是dict字典,字典是用哈希表实现的。
Java中HashSet的内部实现使用的是HashMap,只不过所有的value都指向同一个对象。Redis的set结构也是一样,它的内部也使用hash结构,所有的value都指向同一个内部值。
3.5. Redis哈希(Hash)
3.5.1. 简介
- Redis hash 是一个键值对集合。
- Redis hash是一个string类型的field和value的映射表,hash特别适合用于存储对象。
类似Java里面的Map<String,Object> - 用户ID为查找的key,存储的value用户对象包含姓名,年龄,生日等信息,如果用普通的key/value结构来存储
主要有以下2种存储方式:
通过 key(用户ID) + field(属性标签) 就可以操作对应属性数据了,既不需要重复存储数据,也不会带来序列化和并发修改控制的问题
3.5.2. 常用命令
hset <key><field><value> :给<key>集合中的 <field>键赋值<value>
hget <key1><field> :从<key1>集合<field>取出 value
hmset <key1><field1><value1><field2><value2>... :批量设置hash的值
hexists<key1><field> :查看哈希表 key 中,给定域 field 是否存在。
hkeys <key> :列出该hash集合的所有field
hvals <key> :列出该hash集合的所有value
hincrby <key><field><increment> :为哈希表 key 中的域 field 的值加上增量 1 -1
hsetnx <key><field><value> :将哈希表 key 中的域 field 的值设置为 value ,当且仅当域 field 不存在 .
3.5.3. 数据结构
Hash类型对应的数据结构是两种:ziplist(压缩列表),hashtable(哈希表)。当field-value长度较短且个数较少时,使用ziplist,否则使用hashtable。
3.6. Redis有序集合Zset(sorted set)
3.6.1. 简介
- Redis有序集合zset与普通集合set非常相似,是一个没有重复元素的字符串集合。
- 不同之处是有序集合的每个成员都关联了一个评分(score),这个评分(score)被用来按照从最低分到最高分的方式排序集合中的成员。集合的成员是唯一的,但是评分可以是重复了 。
- 因为元素是有序的, 所以你也可以很快的根据评分(score)或者次序(position)来获取一个范围的元素。
访问有序集合的中间元素也是非常快的,因此你能够使用有序集合作为一个没有重复成员的智能列表。
3.6.2. 常用命令
zadd <key><score1><value1><score2><value2>…
将一个或多个 member 元素及其 score 值加入到有序集 key 当中。
zrange <key><start><stop> [WITHSCORES]
返回有序集 key 中,下标在<start><stop>之间的元素;带WITHSCORES,可以让分数一起和值返回到结果集。
zrangebyscore key min max [withscores] [limit offset count]
返回有序集 key 中,所有 score 值介于 min 和 max 之间(包括等于 min 或 max )的成员。有序集成员按 score 值递增(从小到大)次序排列。
zrevrangebyscore key max min [withscores] [limit offset count] 同上,改为从大到小排列。
zincrby <key><increment><value> :为元素的score加上增量
zrem <key><value> :删除该集合下,指定值的元素
zcount <key><min><max> :统计该集合,分数区间内的元素个数
zrank <key><value> :返回该值在集合中的排名,从0开始。
3.6.3. 数据结构
SortedSet(zset)是Redis提供的一个非常特别的数据结构,一方面它等价于Java的数据结构Map<String, Double>,可以给每一个元素value赋予一个权重score,另一方面它又类似于TreeSet,内部的元素会按照权重score进行排序,可以得到每个元素的名次,还可以通过score的范围来获取元素的列表。
zset底层使用了两个数据结构
(1)hash,hash的作用就是关联元素value和权重score(类似hash中的field 和value),保障元素value的唯一性,可以通过元素value找到相应的score值。
(2)跳跃表,跳跃表的目的在于给元素value排序,根据score的范围获取元素列表。
3.6.4. 跳跃表(跳表)
1、简介
有序集合在生活中比较常见,例如根据成绩对学生排名,根据得分对玩家排名等。对于有序集合的底层实现,可以用数组、平衡树、链表等。数组不便元素的插入、删除;平衡树或红黑树虽然效率高但结构复杂;链表查询需要遍历所有效率低。Redis采用的是跳跃表。跳跃表效率堪比红黑树,实现远比红黑树简单。
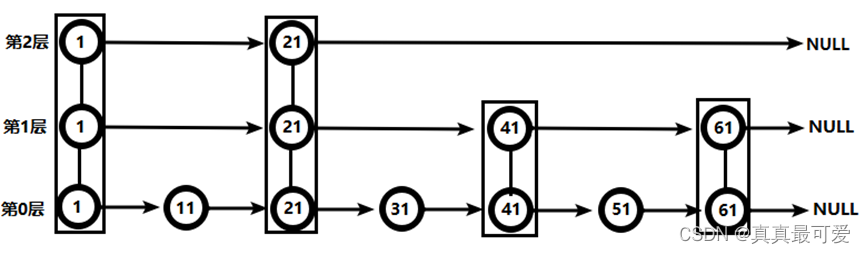
2、实例
对比有序链表和跳跃表,从链表中查询出51
(1) 有序链表
要查找值为51的元素,需要从第一个元素开始依次查找、比较才能找到。共需要6次比较。
(2) 跳跃表
从第2层开始,1节点比51节点小,向后比较。
21节点比51节点小,继续向后比较,后面就是NULL了,所以从21节点向下到第1层
在第1层,41节点比51节点小,继续向后,61节点比51节点大,所以从41向下
在第0层,51节点为要查找的节点,节点被找到,共查找4次。
从此可以看出跳跃表比有序链表效率要高。