本文说明:本文以习题为主,每题标明对应的书本页面,并作出详细解析,大家可以对照复习,选择题章节并没按书本章节分,计算题和分析题无书本页面位置或详细解析,请大家自行找对应章节进行学习,祝大家都能通过考试,也希望大家点赞支持。
参考书本:计算机操作系统第四版 电子科技大学出版社
一、选择题
第1章习题
- 下列不属于操作系统目标的 是()
A. 方便性
B. 有效性
C. 可扩充性
D. 开放性
E. 并发性
正确答案: E
书本位置: P1 1.1.1
2.下列关于操作系统的作用错 误的是()
A. 作为用户与计算机硬件系统 之间的接口
B. 作为计算机系统资源的管理 者
C. 实现对计算机资源的抽象
D. 管理和控制用户的日常生活
正确答案:D
书本位置:P2 1.1.2 1 2 3
3.在早起无操作系统时代,下面 关于人工操作方式的说法错误 的是()
A. 用户独占全机,资源利用率低
B. 主机等待人工操作,cpu和内 存利用率低
C. 人工速度慢但智能化程度高
D. 脱机输入输出技术提高了 cpu和I/O速度
正确答案:C 智能化高错
书本位置: P3 1.2.1 1
4.下列关于单道批处理系统特 点的说法错误的是()
A. 每次只允许一道作业运行
B. 具有并发性特点
C. 资源利用率低
D. 系统吞吐量低
E. 作业顺序执行
正确答案:B无并发性
书本位置: P6 1.2.2 1 2
5.下列关于多道批处理系统特 点的说法错误的是()
A. 资源利用率高
B. 系统吞吐量大
C. 平均周转时间长
D. 有良好的交互性
正确答案:D 无交互性
书本位置: P8 1.2.3 2
6.下列不属于操作系统主要作 用的是()
A. 组织和管理计算机软硬件资 源
B. 合理地对各类进程进行调度
C. 高级程序设计语言的编译处 理
D. 为用户和计算机提供有好的 交互界面
正确答案:C 无高级程序设计语言编译处理功能 编译器(一种程序)的功能
书本位置:
7.下列关于分时系统的特征错 误的是()
A. 多路性
B. 独占性
C. 及时性
D. 交互性
E. 抢占性
正确答案:E 无抢占性
书本位置: P10 1.2.4 3
8.下列关于实时系统的特征错 误的是()
A. 具有多路性特点
B. 很好的独立性
C. 广泛而且突出的交互性能
D. 高可靠性
正确答案:C 交互性:仅限于访问系统中某些特定的专用服务程序
书本位置: P11 1.2.5 3
9.下列关于操作系统基本特性 错误的是()
A. 并发性
B. 并行性
C. 共享性
D. 虚拟性
E. 异步性
正确答案:无并行性
书本位置: P14 1.3
10.下列关于操作系统基本特 性错误的是( )
A. 并发也叫并行,是指多个进程 同时发生
B. 资源共享也称资源复用,分为互 斥共享和同时访问两种方式
C. 并发和共享是操作系统最基 本的两个特征
D. 虚拟技术包括时分复用和空分复用 两种,虚拟设备技术属于时分复用
E. 异步性是指在并发环境中,进程的运 行时停停走走的,而不是一气呵成的
正确答案:A 并行:同一时刻 并发:同一时间段
书本位置: P14 1.3
11.下列不是操作系统主要功 能的是( )
A. 处理机管理功能
B. 存储器管理功能
C. 设备管理功能
D. 文件管理功能
E. 邮件管理功能
正确答案:E 无邮件管理功能
书本位置: P17 1.4
12.操作系统为用户提供各种 接口,下列错误的是()
A. 联机用户接口
B. 脱机用户接口
C. 图形用户接口
D. 硬件接口
E. 程序接口
正确答案:D 不提供硬件接口
书本位置: ABC:P21 1.4.5 1 E:P22 1.4.5 2
13.在微内核OS中,下列不是微 内核基本功能的是()
A. 进程管理
B. 低级存储器管理
C. 终端和陷入管理
D. 文件管理
正确答案:D 文件管理:操作系统功能
书本位置: P31 1.5.4 2
14.下列关于并发和并行的说 法错误的是()
A. 并发是指多个事件在同一时 间间隔内发生
B. 并行是指多个事件在同一时 刻发生
C. 在单机系统内进程只能并发 执行,不能并行
D. 并发和并行是对同一现象的 两种不同称呼,本质是一样的
正确答案:D 并行:同一时刻 并发:同一时间段
书本位置: P14 1.3
15.采用多道程序设计技术,可 以充分发挥()的并行工作能 力 I.处理机与设备Ⅱ.设备与 设备III.处理机与存储器
A. 只有I
B. 只有Ⅱ
C. I和II
D. I、Ⅱ和III
正确答案:C
书本位置:
16.计算机操作系统属于()
A. 应用软件
B. 系统软件
C. 工具软件
D. 办公软件
正确答案:B
书本位置: P1第一段
17.下列不允许用户以交互方 式使用的操作系统是()
A. 多道批处理操作系统
B. 分时操作系统
C. 实时操作系统
D. 分布式操作系统
正确答案:A 无交互性
书本位置: P7 1.2
18.设计实时操作系统是,首先 应该考虑的是()
A. 可靠性和灵活性
B. 实时性和可靠性
C. 分配性和可靠性
D. 灵活性和实时性
正确答案:B
书本位置: P12 1.2.5 3
19.操作系统提供给编程人员 的接口是()
A. 库函数
B. 高级语言
C. 系统调用
D. 子程序
正确答案:C 系统调用
书本位置:
20.已知某多道批处理系统中有P1 和P2两个作业,P2比P1晚10ms到 达,两道作业的操作要求(顺序)如下 P1:计算60ms,I/O操作80ms,计算 20ms P2:计算120ms,I/O操作40ms,计 算40ms 若不考虑调度和切换时间,则完成 两道作业需要的时间最少是()
A. 240ms
B. 260ms
C. 340ms
D. 360ms
正确答案:B
书本位置: P8 1.2.3 1
第2章习题
- 下列关于程序并发执行的特 征正确的是() I.顺序性 II.间断性 III封闭 性 IV.开放性 V.可再现性 VI. 不可再现性
A. IⅡV
B. I IV V
C. II IV VI
D. ⅡⅡVI
正确答案:C
书本位置:P38 2.1.3 2
2.下列关于进程的说法错误的 是()
A. 进程是程序在某个数据集合 上的一次执行活动
B. 进程是系统进行资源分配的 独立单位
C. 进程是系统调度的独立单位
D. 进程只是一次抽象的活动
正确答案:D
书本位置:P39 2.2.1 (1)(3)
3.下列不是进程特征的是()
A. 动态性
B. 并发性
C. 并行性
D. 独立性
E. 异步性
正确答案:C
书本位置:P39 2.2.1 2
4.下列不是进程基本状态的是 ( )
A. 阻塞状态
B. 执行状态
C. 挂起状态
D. 就绪状态
正确答案:C
书本位置:P40 2.2.2 1
5.下列关于进程状态变换的说 法错误的是()
A. 处于就绪态进程获得调度后 转为执行态
B. 处于执行态的进程因时间片 用完而转为阻塞态
C. 处于阻塞态的进程因等待的 事件发生而转为就绪态
D. 处于执行态的进程因I/O请求 而转为阻塞态
正确答案:B 时间片用完转就绪态
书本位置:P40 2.2.2 2
6.下列关于进程控制块的描述 错误的是()
A. 是系统管理和控制进程的一 个功能模块
B. 是进程存在的标志
C. 是系统实现对进程进行管理 的数据结构
D. 是系统实现对进程调度的数 据结构
正确答案:A
书本位置:P44 2.2.4
7.下列关于处理机执行时状态 的描述错误的是()
A. 程序运行在系统态时,具有很 高权限,可以执行一切指令
B. 程序运行在系统态时,只能执 行特权指令
C. 程序运行在用户态时,只能执 行普通指令
D. 操作系统一般运行在系统态,而 用户程序一般运行在用户态
正确答案:B 执行一切指令
书本位置:P47 2.3.1
8.操作系统内核的资源管理功 能一般不包括()
A. 进程管理
B. 存储器管理
C. 设备管理
D. 作业管理
正确答案:D
书本位置:P47 2.3.1 2
9.下列关于进程控制的说法错 误的是()
A. 创建态进程获得许可后转为 就绪态
B. 进程终止时,应该先终止其子 孙进程
C. 进程阻塞是进程自己调用阻 塞原语,所以是一个主动行为
D. 进程释放资源时应唤醒处于 阻塞状态的进程
E. 进程被挂起时会被移出内存, 操作系统将失去对其控制
F. 静止就绪态进程被激活后,通 常具有较高的优先权(被调度)
正确答案:D 释放资源唤醒就绪态进程
书本位置:P46 2.3
10.对进程执行挂起操作后,下 列状态变化错误的是()
A. 执行态转为静止执行态
B. 活动阻塞态转为静止阻塞态
C. 活动就绪态转为静止就绪态
D. 执行态转为静止就绪态
正确答案:A
书本位置:P42 2.2.3 2
11.下列关于多道程序运行环 境中进程之间关系的描述错误 的是()
A. 协作进程之间具有直接制约关系, 它们之间不存在资源竞争问题
B. 无关进程之间会因为竞争临 界资源而发生间接制约关系
C. 临界资源也叫互斥资源,必须 互斥使用
D. 并发进程共享所有系统资源
正确答案:A
书本位置:P2.4.1 1 2
12.下面关于临界区的描述错 误的是()
A. 临界区是内存中的一个特殊 区域
B. 临界区是进程访问临界资源 的那段代码
C. 在临界区之前设置进入区,以 检查临界资源的状态并对其访 问标志做出正确设置
D. 在临界区之后设置退出区, 用于释放被锁定的临界资源
正确答案:A 每个进程中访问临界资源的那段代码
书本位置:P55 2.4.1 3
13.下列不是同步机制应该遵 循的准则的是()
A. 空闲让进
B. 忙则等待
C. 有限等待
D. 让权等待
E. 忙等待
正确答案:E
书本位置:P55 2.4.1 4
14.已知记录型信号量S,整型域 S.value,下列说法错误的是()
A. S.value的初值最大,表 示系统拥有该资源的数 目
B. S.value表示当前可用资源 数目,所以初值必须置0
C. S.value<0时,其绝对值表 示当前被阻塞的进程数目
D. 执行wait(S)操作时,S.value 的值-1,执行signal(S)操作 时,S.value的值+1
E. 在信号量S上执行的wait()操作 和signal0操作都是原语操作
正确答案:B 初值设置为资源数目
书本位置:P58 2.4.3 2
15.下列关于管程的描述错误 的是()
A. 管程是一种同步机制
B. 管程定义了一个数据结构和并发 进程对其所能进行的一组操作
C. 管程是一个可单独变异的基本程 序单位,并发进程必须互斥使用
D. 管程实现了信息隐蔽
E. 管程具有动态性,在进程调用 后被撤销
正确答案:E 管程是资源管理模块,供进程调用不会被撤销
书本位置:P64 2.4.5 1
16.下列不是进程高级通信机 制的是()
A. 基于共享存储器的通信方式
B. 基于共享数据结构的通信方 式
C. 管道通信系统
D. 消息传递系统
E. 客户机/服务器系统
正确答案:B
书本位置:P73 2.6.1
17.下列关于信箱通信正确的是() I.是低级通信Ⅱ.是高级通 信III.是直接通信 IV.是间接接通信 V.以消息为单位通信 VL.以字节为单位通信
A. IⅡV
B. II IV VI
C. II IV V
D. IIV VI
正确答案:C
书本位置:P78 2.6.2 2
18.在引入线程的操作系统中, 下列关于线程的描述错误的是 ()
A. 线程是调度的基本单位
B. 线程具有比进程更好的并发 性
C. 资源属于进程,线程仅拥有 TCB等少量资源
D. 线程拥有比进程更高的独立 性
E. 线程的开销比进程小
F. 和进程相比,线程能更好地支 持多处理机系统
正确答案:D 进程的独立性更高
书本位置:P82 2.7.2
19.下列不属于线程状态的是 ()
A. 执行状态
B. 就绪状态
C. 阻塞状态
D. 挂起状态
正确答案:D
书本位置:84 2.7.3
20.用信号量管理互斥资源时, 信号量的初值通常定义为()
A.-1
B.0
C.1
D. 由用户自己确定
正确答案:C
书本位置:P61 2.4.4 1(1)
21.系统是通过()来感知进程 的存在并对其进行控制和管理。
A. JCB
B. PCB
C. TCB
D. FCB
正确答案:B
书本位置:P39 2.2.1 1
22.操作系统为获得调度的作 业创建第一个进程,但由于内存 紧张暂时不能分配内存空间,此 时进程状态是()
A. 初建状态
B. 就绪状态
C. 阻塞状态
D. 终止状态
正确答案:A
书本位置:P41 2.2.2 3
23.下列不属于进程实体的选 项是()
A. 代码段
B. 数据段
C. 进程控制块
D. 运行过程
正确答案:D
书本位置:P39 2.2.1 1
24.已知信号量S的初始值为5, 在S上连续执行了9次wait操作 后S的值应该为()
A.-9
B.-5
C.-4
D.4
正确答案:C
书本位置:P58 2.4.3 1
25.已知记录型信号量S,当前 S.value的值为-5,下列选项 错误的是()
A. 当前有5个进程获得资源S
B. 当前有5个进程阻塞在资源 S上
C. 当前阻塞队列的长度为5
D. 如果S是资源信号量,则表示当 前系统缺少5个资源S
正确答案:A
书本位置:P58 2.4.3 2
第3章习题
- 下列关于处理机调度层次的 描述错误的是()
A. 高级调度、中级调度、低级 调度
B. 作业调度、内存调度、进程 调度
C. 长程调度、中程调度、短程 调度
D. 人工调度、智能调度、紧急 调度
正确答案:D 无此层次划分
书本位置: P92 3.1.1
2.下列关于处理机调度功能的 描述错误的是()
A. 作业调度的主要功能是根据某种算法 从外存后备队列中选择合适的作业调 入内存,并为其创建第一个进程
B. 中程调度的主要功能是当内存紧张是挂起部分 暂时不运行的进程并在内存有空闲时激活部分 被挂起的进程,以提高内存利用与和系统否时
C. 进程调度的主要功能是根据某种算 法从就绪队列选择合适进程调度到 处理机运行
D. 进程调度是处理机调度中最基本最高 级的调度,在所有类型的操作系统中 都必须配置。
正确答案:D 进程调度是低级调度
书本位置: P92 3.1.1
3.下列不是处理机调度算法共 同目标的是()
A. 提高系统资源利用率
B. 处理机时间分配的公平性
C. 系统资源分配的平衡性
D. 策略的强制执行
E. 平均周转时间短和截止时间 保证
正确答案:E 实时系统的目标
书本位置: P93 3.1.2
4.对作业的操作课分为若干步 骤,即作业步,一个典型作业操 作通常分为三个步骤,下列错误 的是()
A. 编辑
B. 编译
C. 链接装配
D. 运行
正确答案:A
书本位置: P95 3.2.1 1 (2)
5.下列关于FCFS调度算法, 错误的是()
A. 是最简单的调度算法,易于实 现
B. 既可用于作业调度,也可用于 进程调度
C. 严格按照先来后到次序进行调度,是 所有调度算法中最公平和高效的算法
D. 缺点是没有考虑短进程和进 程紧迫程度
正确答案:C 不是最高效的算法
书本位置: P96 3.2.3 1
6.下列关于短作业优先调度算 法,错误的是()
A. 以作业运行时间的长短为优 先级,作业越长,优先级越高
B. 难以准确估算作业的运行时 间
C. 不利于长作业,可能初衔接现 象
D. 该算法可用于进程调度
E. 没有考虑作业的紧迫程度
正确答案:A 作业越短优先级越高
书本位置: P96 3.2.3 2
7.下列关于进程调度任务的描 述错误的是()
A. 保存处理机现场信息
B. 将当前进程的状态由执行态 转为阻塞态
C. 从就绪队列选择合适新进程
D. 把处理器分配给新进程
正确答案:B 就绪态转执行态
书本位置: P98 3.3.1
8.进程切换时会发生两对上下 文切换,下列最正确的选项是()
A. 当前进程下,分配程序上
B. 分配程序下,新进程上
C. 当前进程下,新进程上
D. 新进程上,当前进程下
E. 只有A和B是正确的
正确答案:E
书本位置: P99 3.3.1 2 (3)
9.进程调度方式可分为抢占式 和非抢占式,下列关于非抢占式 调度算法的描述错误的是()
A. 当前进程运行完毕时,可触发 进程调度
B. 当前进程阻塞时,可触发进程 调度
C. 当前进程执行原语操作时,可 触发进程调度
D. 当前进程主动放弃处理机
E. 实现简单,系统开销小,广泛实 用于各种类型操作系统
正确答案:E 适用于大多数批处理系统,但不能用于,分时系统和大多数实时系统
书本位置: P100 3.3.1 3 1)
10.下列关于抢占式进程调度 算法的描述错误的是()
A. 按优先权原则抢占
B. 按短进程优先原则抢占
C. 按时间片原则抢占
D. 按用户意志抢占
正确答案:D
书本位置: P100 3.3.1 3 2)
11.下列关于时间片轮转调度 算法的描述错误的是()
A. 就绪队列中的进程按进程大小每 次可获取一个或者多个时间片
B. 如果在一个时间片内进程运行结束但 时间片尚未用完,将立即触发新的调度, 并启动一个新的时间片
C. 每一个时间片时都将触发一次中断,并激活调度进行新的调度
D. 如果时间片用完但进程尚未结束则 该进程状态将转为就绪状态,并插入 就绪队列尾部
E. 时间片的大小应以略大于一次更型交互所需时 问为宜,时间片太小会因为进程切换频离而导致 系统开销过大,太人则算法退化为FCFS算法。
正确答案:A 一个进程每次只能获取一个时间片
书本位置: P100 3.3.2
12.下列关于多级反馈队列调 度算法的描述错误的是()
A. 设置多个就绪队列,队列之 间按优先级实行抢占式调度
B. 新进程按优先级高低分别进 入不同的队列
C. 同一队列中的进程采用 FCFS调度算法
D. 不同队列中的时间片大小不 同,且按队列序号递增
E. 算法能较好地满足各种类型 用户的需要
正确答案:B 进程之间没有优先级
书本位置: P103 3.3.5
13.下列关于实时调度算法的 描述错误的是()
A. 实时调度算法分为抢占式和 非抢占式,多采用抢占式调度
B. 截止时间保证是实时调度的 重要特征之一
C. 强大的系统处理能力和快速切 换机制是实时调度的重要特征
D. 软实时任务比硬实时任务具有更高的 紧迫性,因此必须采用抢占式调度来 保证任务及时完成。
正确答案:D
书本位置: P106 3.4.2 1 2
14.下列关于资源的描述错误的是()
A. 可重用性资源是可供用户重复使用的 永久性资源,用户必须按照“请求–> 使用–>释放”的顺序使用
B. 可消耗性资源是临时性资源,在进程 运行过程中其数目是变化的,资源使 用后被消耗掉,无需归还
C. 可抢占性资源可以按照优先权原则被 高优先级进程抢占,比较典型的是处 理机和内存
D. 大多数硬件资源属于不可抢 占性资源,如打印机
E. 互斥资源都是不可抢占性资 源
正确答案:E 互斥资源可以是可抢占资源和不可抢占资源
书本位置: P113 3.5.1
15.下列不会引起死锁的是()
A. 竞争不可抢占性资源
B. 竞争可消耗性资源
C. 进程推进顺序不当
D. 采用抢占式调度算法
正确答案:D
书本位置: P113 3.5.2 1 2 3
16.下列不是产生死锁的必要 条件的是()
A. 互斥条件
B. 请求和保持条件
C. 可抢占条件
D. 循环等待条件
正确答案:C 不可抢占条件
书本位置: P116 3.5.3 2
17.下列不是处理死锁的方法 的是()
A. 预防
B. 避免
C. 检测与解除
D. 分类排序
正确答案:D
书本位置: P116 3.5.3 3
18.下列不能作为预防死锁措 施的是()
A. 破坏“互斥”条件
B. 破坏“请求和保持”条件
C. 破坏“不可抢占”条件
D. 破坏“循环等待”条件
正确答案:A 互斥条件不能破坏
书本位置: P3.6 116
19.下列关于预防死锁的描述 错误的是()
A. 采用一次性分配资源的方法可以预防 死锁的发生,但资源浪费严重,且易发 生饥饿现象
B. 对资源采用动态分配并在资源使用完 后及时释放的方法,能有效预防死锁目 具有比静态资源分配法更高的效率
C. 破坏“不可抢占条件”可能导致进 程的执行被无限延迟,且增加系统开 销
D. 对资源进行编号,强制进程对资源进行有序申请 此法简单易行,不但能有效衡防死锁发生,而且能提高资源的利用率,是最理想的预防死锁的方法
正确答案:D 如果作业使用资源的顺序与系统规定的顺序不同会造成资源浪费
书本位置: A:P117 3.6.1 1 B:P117 3.6.1 2 C:P118 3.6.2 D:P118 3.6.3
20.若4个进程都需要2个资源 A,则系统最少应提供多少个A 资源才能保证不会发生死锁()
A.3
B.4
C.5
D.6
正确答案:C 4*(2-1)+1 = 5
书本位置: P119 3.7.1 3
21.程序与进程的本质区别是 ()
A. 前者独占内存,后者共享内存
B. 前者独占处理机,后者共享处 理机
C. 前者静态,后者动态
D. 前者大,后者小
正确答案:C
书本位置:
22.中断扫描机构扫描中断寄 存器的时间是()
A. 每个时间片结束时
B. 每个指令周期末尾
C. 进程阻塞时
D. 进程结束时
正确答案:B
书本位置:
23.已知三个作业J1、J2、J3 同时到达,作业执行所需时间分 别为T1、T2、T3,且 T1<T2<T3,采用短作业优先调 度算法,平均周转时间是()
A. T1+T2+T3
B. (T1+T2+T3)/3
C. (3T1+2T2+T3)/3
D. T1+2T2+3T3
正确答案:C 执行顺序T1->T2->T3 J1周转时间=T1 J2周转时间=T1+T2 J3周转时间=T1+T2+T3 平均周转时间=(3T1+2T2+T1)/3
书本位置: P96 3.2.3
24.为实现两进程互斥,设置互 斥信号量mutex,当mutex的 值为0时,表示()
A. 没有进程进入临界区
B. 有一个进程进入临界区
C. 可能有一个进程阻塞
D. 一个进程进入临界区,另一个 进程阻塞
正确答案:B
书本位置: P61 2.4.4 1
25.系统有11台打印机和N个 并发进程,每个进程请求3台打 印机,为确保不发生死锁,N的 值最大为多少()
A.3
B.4
C.5
D.6
正确答案:C (3-1)*N+1=11
书本位置: P119 3.7.1 3
第4章习题
- 下列关于存储器的说法错误 的是()
A. CPU寄存器容量最小,速度最快
B. 高速缓存和磁盘缓存实际上 都是主存中的一个区域
C. 寄存器和主存储器都是CPU所能访问到的,又称可执行存储器
D. 高速缓存用于备份CPU最近访问 的内存数据,以减少CPU访问内存 的次数
E. 磁盘缓存用于暂存主存与磁盘的 交互数据,以缓和高速主存与低速 磁盘之间的矛盾
正确答案:B 高速缓存是介于寄存器和存储器之间的存储器
书本位置: P130 4.1.2 4.1.3
2.程序运行前一般要进行几个 步骤的操作,下列错误的是()
A. 编译
B. 链接
C. 汇编
D. 装入
正确答案:C
书本位置: P132 4.2
3.下列关于程序链接的说法错 误的是()
A. 静态链接是在程序装入前将所有 目标模块和库函数链接成一个完 整的可执行程序,且不再分开
B. 装入时动态链接是在装入时才将各目 标模块进行链接,各目标模块仍独立存 放并未形成一个完整的可执行程序,便 于后期维护和对目标模块的共享
C. 运行时动态链接是对装入时动态链接的 种改进,部分不常用模块并不装入内存 只在运行需要时再临时链接和装入,以加 快程序装入速度和提高内存利用率。
D. 只有静态链接时需要修改模块相对地址并变换模块的外部调用符, 其他链接方式不需要。
正确答案:D 其他链接方式也需要
书本位置: P134 4.2.2 1 2 3
4.程序运行前需将装入模块装 入内存,下列不是程序装入方式 的是()
A. 绝对装入方式
B. 相对装入方式
C. 可重定位装入方式
D. 动态运行时装入方式
正确答案:B 无相对装入
书本位置: P132 4.2.1
5.下列关于重定位的说法错误 的是()
A. 重定位是指在装入目标程序 时将指令和数据的逻辑地址 变换为实际物理地址的过程
B. 程序绝对装入时不需要进行重 定位操作
C. 目标程序静态重定位后,系统 可以在必要时进行内存紧凑操 作,以获取更大的空闲区
D. 动态重定位方式下,目标程序 在装入时并不进行重定位操作, 只在指令执行时才临时进行地 址变换
E. 只有在动态重定位方式下,内存 紧凑操作才可以进行
正确答案:C 静态重定位内存不能改变 无法进行内存紧凑操作
书本位置: P132 4.2.1
6.下列关于分区分配存储管理 的说法错误的是()
A. 采用连续分配方式
B. 单一连续分配方式只用于单用户单任务系统中
C. 固定分区分配方式下,各分区的大小可以相等,也可以不等
D. 可变分区分配方式是根据进 程的实际需要分配内存,因 此不存在碎片问题。
正确答案:D 存在内部碎片
书本位置: A:P135 4.3 B:P135 4.3.1 C:P135 4.3.2 1
7.下列关于动态分区分配算法 说法错误的是()
A. 首次适应算法每次分配空间时都 从表(链)首开始查找操作集中在低 地址段,容易在低地址段形成碎片 并增加系统开销
B. 循环首次适应算法每次分配空间 时都从表(链)首开始查找操作均 匀分散,缺点是容易导致缺乏大的 空闲区
C. 最佳适应算法每次最小的可分配 空闲分区给进程,因此效率最高,不 易形成碎片。
D. 最坏适应算法每次选择最大的空 闲分区分配给进程,不易形成碎片。
正确答案:B从上次找到的空闲分区开始 C每次分配后所切割下来的剩余部分总是最小,容易产生碎片
书本位置: P140 4.3.4
8.下面关于对换技术的说法错 误的是()
A. 对换技术是在内存紧张时将暂时 不运行的进程换出到外存,必要时 再换入内存,以此调节内存,改善内 存利用率。
B. 可分为整体对换和部分对换
C. 在具有对换功能的系统中,磁盘 空间被分为对换区和文件区
D. 当内存紧张时,系统总是选择最大 的进程换出内存,一次性获得最多 的内存空间
E. 换入操作时,在已换出进程中 优先选择就绪状态进程换入。
正确答案:D 优先级低的或驻留时间最长的紧凑换入内存
书本位置: A:P145 4.4.1 1 B: P145 4.4.1 2 C:P146 4.4.2 1 D:147 4.4.3 2
9.下列不是离散分配方式的是 ()
A. 动态分区分配方式
B. 分页存储管理方式
C. 分段存储管理方式
D. 段页式存储管理方式
正确答案:A 连续分配方式
书本位置: P148 4.5
10.下列关于分页存储管理的 说法错误的是()
A. 页是进程的逻辑地址空间单位 块是内存的物理地址空间单位 页和块大小相同
B. 进程逻辑空间的页是连续的, 分配内存后获得的物理块可以 是不连续的
C. 页面过大会导致内部碎片增多 过小会导致页表过长和磁盘访 问过于频繁
D. 分页方式下内存利用率高,但 仍存在外部碎片问题
正确答案:D 存在内部碎片
书本位置: P148 4.5.3
11.已知某分页系统中,页的大 小为1K,则逻辑地址2170的 页号和页内偏移量分别是()
A. 2和170
B. 2和122
C. 1和170
D. 1和122
正确答案:B 1K=1024 页号=2170/1024=2 偏移量=2170%1024=122
书本位置: P148 4.5.1 2
12.已知某分页系统中,页的大 小为1K,逻辑地址A=2170,经 查页表得知其对应的物理快号 为5,则A的物理地址应为()
A. 5170
B. 2170
C. 5242
D. 2242
正确答案:C 1K=1024 偏移量=2170%1024=122 物理地址5*1024+122=5242
书本位置: P148
13.已知某分页系统中,页的大 小为1K,进程P的页表长度为8, 现有逻辑地址A=8570,则A的 物理地址应为()
A. 8570
B. 8192
C. 题干信息不够,无法求出A的 物理地址
D. 所给地址A非法
正确答案:D 1K=1024 页号=8570/1024=8>=页表长度8 A越界非法
书本位置: P148
14.分页存储管理方式下处理 器访问一次逻辑地址,下列说法 错误的是()
A. 未设置快表时,至少访问内存 2次
B. 可能多次访问内存
C. 设置快表时,只需访问内存1 次
D. 至少访问内存1次
正确答案:C 不设置快表,至少访问两次,设置快表,在页表中找到访问内存1次,没找到需将页表数据写入快表,访问了两次内存
书本位置: P151 4.5.3
15.已知有快表的(基本分页系 统)中,处理器访问一次内存的 时间为t,访问一次快表的时间 为v,则处理器访问一次逻辑地 址所需时间,下列选项错误的是 ()
A. 可能为2t
B. 可能为t+v
C. 可能为2t+2v
D. 如果地址溢出,则处理器不访 问内存和快表
正确答案:A
1.在快表中有,先访问快表,访问时间v,形成物理地址需访问内存?访问内存时间v?总时间v+t
2.在快表没有,访问时间v,再访问页表,页表在内存中,一次内存访问时间v,将页表数据写入快表里面,所以第二次访问快表,访问时间v,再访问物理地址,访问时间t?总时间2v+2t
书本位置: P151 4.5.3
16.下列不是分段存储管理方 式优点的是()
A. 方便用户编程
B. 便于信息共享与保护
C. 便于信息的动态增长
D. 适合于动态链接
E. 便于内存空间分配,提高内存 利用率
正确答案:E 分页管理方式的优点
书本位置: P155 4.6.
17.关于分页和分段的区别,下 列说法错误的是()
A. 页是信息的物理单位,段是信 息的逻辑单位
B. 页的大小固定由系统决定,段的大小 不固定,取决于用户所编写的程序
C. 分页方式下用户程序的地址空间 是一维的,而分段方式下用户程序 的地址空间是二维的
D. 分页方式完全消除了碎片,内存利 用率高,但分段方式能更好地满足 用户的需求
正确答案:D 分页有内部碎片
书本位置: P158 4.6.2 4
18.关于段页式存储管理方式, 下列说法错误的是()
A. 内地址空间分块,作业地址空 间分段,段内又分页
B. 每个作业有唯一的一个段表, 每个段对应一个页表
C. 逻辑地址结构由段号、段内页号和页内地址三部分构成
D. 在未设置快表的情况下,处理器访问一次逻辑地址需三次访问内存
E. 段页式存储管理方式结合了分页和分 段的特点因此既不是连续分配方式 也不是离散分配方式
正确答案:E 分页 分段 段页式都是离散分配方式
书本位置: P160 4.6.4 1
19.下列属于常规存储器特征 的是() I.一次性 II.多次性 III.驻留性 IV.对换性 V.虚拟性 VI 异步性
A. 只有I和VI
B. 只有Ⅱ和IV
C. 只有Ⅱ、IV和V
D. 只有I和III
正确答案:D
书本位置: P164 5.1.1 1
20.下列属于虚拟存储器特征 的是() I.一次性 Ⅱ.多次性 III.驻留 性 IV.对换性 V.虚拟性 VI 异步性
A. 只有I和VI
B. 只有Ⅱ和IV
C. 只有Ⅱ、IV和V
D. 只有I和III
正确答案:C
书本位置: P166 5.1.2 2
21.下列关于程序运行的局部 性原理说法错误的是()
A. 包括时间局限性和空间局限性
B. 时间局限性是指程序的运行时 间是有限的,而不能使无限的
C. 如果程序中的某条指令被执行,则在不久之后它可能被再次执行
D. 如果程序访问了某个存储单元,则在不久之后它附近的存储单元也 将被访问到
正确答案:B 时间局限性是指C 空间局限性是指D
书本位置: P165 5.1.1 2
22.下面关于虚拟存储器的说 法错误的是()
A. 具有请求调入功能
B. 具有置换功能
C. 逻辑容量的大小决定于内存 容量和外存容量之和
D. 运行速度接近于外存,每位成 本接近于内存
正确答案:D 运行速度接近于内存 成本接近于外存
书本位置: P166 5.1.2 1
23.下列关于虚拟存储器的实 现方法,正确的是() I.基本分页系统 Ⅱ.请求分页 系统 III.基本分段系统 IV.请 求分段系统V.段页系统
A. I和VI
B. I和III
C. Ⅱ和IV
D. I、III和V
正确答案:C
书本位置: P167 5.1.3 1 2
24.下面关于请求分页系统中 页表字段的描述错误的是()
A. 含有页号、物理块号、状态 位、访问位、修改位、外存 地址等字段
B. 状态位用来表示页面是否在 内存中
C. 访问位用来记录页面最近一 段时间是否被访问过
D. 修改位用来标识页面最近一 段时间是否被修改过
正确答案:D 修改位:用来标识调入内存后是否被修改过
书本位置: P168 5.2.1 1
25.在请求分页中对逻辑地址A 进行地址变换,下列说法错误的 是()
A. 如果A的页号大于页表长度, 则产生越界中断
B. 如果A的页号不在快表中,则 产生缺页中断
C. 如果A对应页表表目中状态位为0,则产生缺页中断
D. 如果产生缺页中断,且所属进 程已没有空闲物理块,则会产生页面置换
正确答案:B 页号不在内存中 产生缺页中断
书本位置: P168 5.2.1 2
26.在请求分页系统中,内存分 配策略与页面置换策略搭配,下 列错误的是()
A. 固定分配局部置换
B. 固定分配全局置换
C. 可变分配局部置换
D. 可变分配全局置换
正确答案:B
书本位置: P172 5.2.2 2
27.在请求分页系统中,下列不 是物理块分配算法的是()
A. 平均分配
B. 按比例分配
C. 考虑优先权分配
D. 随机分配
正确答案:D
书本位置: P172 5.2.2 3
28.下面关于页面调入策略的 说法错误的是()
A. 采用预调页策略可一次性预先调 入多个页面,但预测的准确性不 高
B. 请求调页策略只在缺页时才调 入,且每次只能调入一个页面
C. 当系统的对换空间足够大时, 将全部页面从对换区调入,以提 高调页速度
D. 若调入页面时内存已满则优先 选择一个已修改页面置换出去, 同时写盘
正确答案:D 要按照某种置换算法置换出去
书本位置: A:P172 5.2.3 1.(1) B:P172 2.(2) C:P173 2.(1) D:P173 3.
29.下列关于影响缺页率因素 的描述错误的是()
A. 页面大小,页面过大或者过 小都会导致缺页率升高
B. 分配给进程的物理块数越 多,缺页率越低
C. 选择一个好的页面置换算 法是降低缺页率的一个重 要因素
D. 程序的固有特性,程序的局 部性越高,缺页率越低
正确答案:A 只有页面过小才会导致缺页率升高,过大反而降低
书本位置: P174 5.2.3 4
30.请求分页系统中,已知作业 的页面访问序列为 4,3,2,1,4,3,5,4,3,2,1,5,系统分 配给作业的物理块数为3,初始 时物理块均为空,若采用OPT页 面置换算法,则缺页次数为()
A.4
B.5
C.6
D.7
正确答案:D 最佳置换算法
书本位置: P174 5.3.1 1
31.请求分页系统中,已知作业的页 面访问序列为 4,3,2,1,4,3,5,4,3,2,1,5,系统分配给 作业的物理块数为3,初始时物理块 均为空,若采用FIFO页面置换算法 则页面置换次数为()
A.4
B.5
C.6
D.7
正确答案:C
书本位置: P174 5.3.1 2
32.请求分页系统中,已知作业 的页面访问序列为 4,3,2,1,4,3,5,4,3,2,1,5,系统分 配给作业的物理块数为3,初始 时物理块均为空,若采用LRU页 面置换算法,则缺页率数为()
A. 58%
B. 50%
C. 42%
D. 83%
正确答案:D 10/12 = 0.83
书本位置: P174 5.3.2 1
33.某请求分页系统采用简单 clock页面置换算法,有作业在 内存中有四个页面,第一至第四 个页面访问位的值依次为 1,0,1,0,若进行页面置换,则被 淘汰的页面是()
A. 第一个页面
B. 第二个页面
C. 第三个页面
D. 第四个页面
正确答案:B 找为0 的区域
书本位置: P178 5.3.3 1
34.某请求分页系统采用改进的 clock页面置换算法,有作业在内存 中有四个页面,第一至第四个页面 的(访问位,修改位)的值依次为 (1,0),(1,1),(0,1),(0,0),若进行页面 置换,则被淘汰的页面是()
A. 第一个页面
B. 第二个页面
C. 第三个页面
D. 第四个页面
正确答案:找(0,0)区域,没有从头开始找(0,1)区域,将访问位,置0,若还是没找到从头找(0,0),若还是没找到,再找(0,1)
书本位置: P178 5.3.3 2
35.已知请求分页系统中,处理 器访问一次内存的时间为t,访 问一次快表的时间为v,缺页中 断处理时间为w,若页面不在内 存,则处理器访问一次逻辑地址 所需时间为()
A. t+V+W
B. 2(t+v)
C. 2(t+v)+w
D. 2(t+V+w)
正确答案:C 不存在需访问2次快表,2次内存,所以总共2(t+v)+w
书本位置: P181 5.3.5
36.下列影响页面换进换出的 因素中,错误的是()
A. 页面置换算法的选择
B. 将已修改页面写回磁盘的 频率
C. 将磁盘数据读入内存的频 率
D. 进程的大小
正确答案:D 进程的大小无关,一个物理块存放一个进程
书本位置: P180 5.3.4 1
37.下面关于“抖动”产生的 原因错误的是()
A. 并发的进程数太多
B. 系统分配给进程的物理块 数小于进程运行所需要的 最小物理块数
C. 工作集窗口尺寸太大
D. 缺页率太高
正确答案:C 抖动是指CPU利用率随页面缺页率加大而趋于0的情况与工作集窗口大小无关
书本位置: P182 5.4.1 2
38.下面关于工作集的说法错 误的是()
A. 工作集是指在某段时间内 进程实际要访问的页面的 集合
B. 将进程的全部工作集装入 内存,可降低缺页率
C. 工作集随着窗口尺寸的增 大而增大
D. 窗口尺寸越大越好
正确答案:D 窗口尺寸太大缺页率反而改善不明显
书本位置: P183 5.4.2
39.下面关于“抖动”的预防 方法错误的是()
A. 采用全局置换策略
B. 把工作集与进程调度相结 合,给缺页率偏高的进程分 配更多物理块
C. 利用 “L=S”准则调节缺 页率
D. 当缺页率偏高时,优先选择 优先级低的进程暂停
正确答案:A 采用局部置换策略
书本位置: P184 5.4.3
40.在请求分段系统的地址变 换过程中,下列说法错误的是()
A. 虚地址段号大于段表长度时, 产生越界中断
B. 虚地址段内偏移量大于段表长度时,产生越界中断
C. 虚段不在内存时,产生缺段中断
D. 存取方式不合时,触发保护中断
正确答案:B 虚地址段内偏移量大于段长时,产生越界中断
书本位置: C:P185 5.5.1 2 D: P188 5.2.2 3 1)
第5章习题
- 下列不是I/O系统管理对象 的是()
A. I/O设备
B. 设备控制器
C. DMA控制器
D. 通道
E. 存储器
正确答案:E 存储器属于存储器(内存)管理对象
书本位置:P191 6.1
2.关于I/O系统的基本功能,下列说 法最准确的是() ①隐藏物理设备的细节 ②实现 与设备无关性 ③提高处理机与 I/O设备的利用率 ④对I/O设备 进行控制 ⑤确保对设备的正确 共享⑥错误处理
A. ①③⑤
B. ②④⑥
C. ①②③⑤
D.①②③④⑤⑥
正确答案:D
书本位置:P192 6.1.1
3.I/O系统分层,下列从下到上 排列正确的是()
A. 硬件、中断处理程序、设 备处理程序、设备独立性 软件、用户层软件
B. 硬件、设备处理程序、中 断处理程序、设备独立性 软件、用户层软件
C. 硬件、中断处理程序、设 备独立性软件、设备处理 程序、用户层软件
D. 硬件、设备独立性软件、 中断处理程序、设备处理 程序、用户层软件
正确答案:A
书本位置:P193 6.1.2 1
4.根据设备类型的不同I/O系 统向高层提供不同的接口,下列 错误的()
A. 块设备接口
B. 流设备接口
C. 网络通信接口
D. 图形用户接口
正确答案:D
书本位置:P195 6.1.3
5.设备的分类方法很多,下列 错误的是()
A. 按数据传输单位可以分为字 符设备和块设备
B. 按使用特性可以分为存储设 备和I/O设备
C. 按共享特性可分为独占设备 和共享设备
D. 按传输速度可分为低速设备、 匀速设备和加速设备
正确答案:D 低速设备 低速共享设备 高速共享设备
书本位置:P196 6.2.1 1
6.下列关于设备控制器的描述 错误的是()
A. 每个设备控制器只能控制一 个设备
B. 设备控制器是设备与CPU之 间的接口
C. 设备控制器可以分为流设备 控制器和块设备控制器
D. 设备在设备控制器的控制下 工作
正确答案:A 设备控制器可以控制一个或多个设备
书本位置:P197 6.2.2
7.下面关于设备控制器的功能 描述最准确的是()
A. 接受和识别命令
B. 实现CPU和设备之间数据交 换
C. 标识和报告设备状态
D. 识别设备地址
E. 进行数据缓冲
F. 差错控制
G. 上述选项全部正确
正确答案:G
书本位置:P198 6.2.2 1
8.下列关于通道类型错误的是 ( )
A. 字节多路通道
B. 字节选择通道
C. 数组选择通道
D. 数组多路通道
正确答案:B
书本位置:P201 6.2.4 2
9.下列关于中断的说法错误的 是()
A. 外中断是指由外部设备引起 的中断
B. 由CPU内部事件引发的中断 称为内中断,也叫陷入
C. CPU在每个指令周期结束时检 测并响应外部设备发来的中断
D. 地址越界、非法指令引发的 中断是外部中断
正确答案:D 内部中断
书本位置:P203 6.3.1
10.中断处理程序的处理过程 正确的是() ①检测是否有未响应的中断 信号 ②保护被中断进程的 CPU环境 ③转入相应的设备 处理程序 ④中断处理 ⑤恢 复CPU现场并退出中断
A. ①②④③⑤
B. ③④
C. ①④⑤②③
D. ①②③④⑤
正确答案:D
书本位置:P204 6.3.2
11.下面关于设备驱动程序的 说法错误的是()
A. 设备驱动程序是设备独立性软 件与控制器之间的通信程序
B. 应为不同类型的设备配置不 同的驱动程序
C. 可以为相同的多个设备配置 一个驱动程序
D. 驱动程序代码可全部用高级 语言编写
正确答案:D
书本位置:P206 6.4
12.下面不属于设备驱动程序 功能的是()
A. 接受由设备无关性软件发来的 抽象指令并转化为具体要求
B. 检查用户I/O请求的合法性
C. 向设备控制器发出I/O指令,启 动设备工作
D. 及时响应由设备控制器发来的 中断请求,并调用相应中断处 理程序进行处理
E. 为用户提供友好的设备操作 接口
正确答案:E 设备管理目标设备独立性功能
书本位置:P206 6.4.1 1
13.下面关于I/O控制方式的说 法错误的是()
A. 轮询的可编程I/O方式,采用 忙等方式,处理机利用率极低
B. 中断的可编程I/O方式,以字节为 单位向处理器发出中断,处理器 利用率低
C. 直接存储器访问方式(DMA), 以块为单位干预处理器
D. I/O通道控制方式,能独立完成 全部I/O请求,不对处理器产生 任何干预
正确答案:D对一组数据块的读(或写)即有关控制和管理为单位的干预
书本位置:P209 6.4.3 A: 1 B: 3 C: 3 D: 4
14.下列不属于设备独立性软 件的功能的是()
A. 为设备驱动程序提供统一的 接口
B. 实现对缓冲区的管理
C. 进行差错控制
D. 实现对独立设备的分配与回 收
E. 为上层提供独立于设备的大 小统一的逻辑数据块
F. 启动设备工作
正确答案:F
书本位置:P6.5.2 214
15.下列关于SPOOLing系统 的描述错误的是()
A. 由输入(出)井、输入(出)缓冲区、 输入(出)进程和井管理程序四个部 分构成
B. 缓和了I/O设备与处理器之间过 度不匹配的矛盾,提高了1/0速度
C. 将独占设备改为了共享设备
D. 实现了虚拟存储器功能
正确答案:D 虚拟存储器是内存管理 SPOOLing实现了虚拟设备管理
书本位置:P221 6.6.2 A: 2 B: 3.(1) C:3.(2) D3.(3)
16.引入缓冲区的原因很多,下 列错误的是()
A. 缓和CPU与I/O设备速度不 匹配的矛盾
B. 减少对CPU的中断频率,放宽 对CPU中断响应时间的限制
C. 解决数据粒度不匹配的问题
D. 提高CPU和I/O设备之间的 并发性
正确答案:D 提高并行性
书本位置:P224 6.7.1
17.下列关于缓冲区的说法错 误的是()
A. 缓冲区是磁盘中的一块区域
B. 单缓冲区、双缓冲区和循环 缓冲区属于专用缓冲
C. 缓冲池是由系统对多个缓冲 区进行统一管理的一种机制
D. 共用缓冲池比专用缓冲区具 有更高的空间利用率
正确答案:A 偶尔使用寄存器作为缓冲区,多使用内存作为缓冲区,不是磁盘
书本位置:A: P224 6.7 BCD: P228 6.7.4
18.系统为某次数据处理过程设 置一个单缓冲区,已知输入设备将 一个数据块输入到缓冲区的时间 为T,将数据块从缓冲区传送到进 程工作区的时间为M,处理机计算 一个数据块的时间为C,则系统处 理完一个数据块的时间为()
A. MAX(C,T)+M
B. MAX(C,M)+T
C. MAX(M,T)+C
D. MAX(M+C,T)
正确答案:A 输入到缓冲区的时间和处理机计算的时间不冲突可同时运行,所以取两个最大MAX(C,T)+M
书本位置:P225 6.7.2 1
19.下列关于磁盘的描述错误 的是()
A. 磁盘是用于长期存放数据的 存储设备
B. 磁盘是I/O设备
C. 磁盘在使用前必须经过低 级格式化、分区和高级格 式化处理
D. 磁盘是高速字符设备
正确答案:磁盘是块设备
书本位置:P230 6.8
20.下列关于磁盘访问时间的 描述错误的是()
A. 寻道时间,等于磁头移动时间与磁臂启动时间之和
B. 旋转延迟时间,平均约等于磁盘旋转一周所需时间
C. 数据传输时间,取决于数据的 多少和磁盘旋转速度
D. 磁盘访问时间等于寻道时间、 旋转延迟时间与数据传输时 间之和
正确答案:B 指定扇区移动到磁头下面所经历的时间
书本位置:P232 6.8.1 3
第6章习题
- 下列关于数据项的说法错误 的是()
A. 数据项是计算机中最小的数 据单位
B. 数据项是文件系统中最低级 的数据组织形式
C. 基本数据项是文件系统中最 小的逻辑数据单位
D. 若干个相关的基本数据项可 以合成组合数据项
E. 数据项描述实体的一个属性, 有名字和类型,每个实体可以有 不同的值
正确答案:A 位bit是计算机最小数据单位
书本位置:P237 7.1.1 1
2.下列关于记录的描述错误的 是()
A. 记录由若干相关数据项构成
B. 记录用于描述实体某个方面 的若干属性
C. 记录具有名字、类型和值
D. 记录用关键字来进行标识
正确答案:C
书本位置:P237 7.1.1 2
3.下列关于文件的描述错误的 是()
A. 文件是文件系统中最大的数 据单位
B. 有结构文件描述一个对象集, 是一组相关记录的集合
C. 文件是用户定义的、具有名 字的一组相关元素的集合
D. 文件有名字、类型和值
正确答案:D
书本位置:P237 7.1.1 3
4.下列关于文件类型的说法错 误的是()
A. 文件按构成元素的不同可以分 为有结构文件和无结构文件
B. 有结构文件是记录文件,无结 构文件是字符文件
C. 文件通过扩展名来表示其类 型
D. 不同类型的文件可以具有相同的扩展名
正确答案:D 扩展名决定文件类型
书本位置:AB:P237 7.1.1 3 C: P239 7.1.2 1
5.文件按照存取控制属性分类, 下列错误的是()
A. 只执行文件
B. 只读文件
C. 只写文件
D. 读写文件
正确答案:C 能写就能读
书本位置:P239 7.1.2 2 3)
6.文件按照组织形式和处理方 式可以分为普通文件、目录文 件和特殊文件,下列描述错误的 是()
A. 普通文件是指由普通用户建 立的文件
B. 目录文件是指由文件目录构成 的文件,用于对文件进行检索
C. 特殊文件特指设备文件
D. 对特殊文件的操作只能由驱 动程序来完成
正确答案:A 除包括用户建立的源程序、数据文件外还有,操作系统自身代码文件及实用程序
书本位置:P240 7.1.2 2 4)
7.下列不是文件系统的管理对 象的是()
A. 文件
B. 目录
C. 内存空间
D. 磁盘空间
正确答案:C 存储器系统管理读写
书本位置:P2407.1.3 1
8.下列关于文件系统功能的描述 正确的是() I.磁盘空间管理Ⅱ.内存空间管理III.目录管理IV.文件的逻辑地 址转换为物理地址V.对文件读写 管理 VI.实现共享 VII.文件保护
A. Ⅱ.III.IV.V.VI.VII
B. I.Ⅱ.IV.V.VI.VII
C. 只有Ⅱ
D. 全部正确
正确答案:B 内存管理不是
书本位置:P240 7.1.3 2
9.文件系统向用户提供多种接 口,下列说法错误的是()
A. 用户通过命令接口与文件系 统直接交互
B. 文件系统向用户程序提供程 序接口
C. 用户程序是通过函数调用来 获取系统服务
D. 用户程序是通过系统调用来 获取系统服务的
正确答案:C 是系统调用
书本位置:P240 7.1.3 3
10.下列关于文件结构的描述 错误的是()
A. 文件的逻辑结构是指用在户视角下逻 辑记录如何构成一个逻辑文件,又称 文件组织
B. 文件的物理结构是指文件在外存上的组织方式,也叫存储结构
C. 文件的物理结构与存储结构的性 能有关,也与外存的分配方式有关
D. 文件的物理结构会影响文件 录的检索速度,但逻辑结构不会
正确答案:D 逻辑结构也会影响检索速度
书本位置:P242 2.7.2
11.下列关于文件逻辑结构的 说法错误的是()
A. 无结构文件以字节为单位,也 叫流式文件
B. 变长记录文件具有比定长记 录文件更高的检索效率
C. 程序文件都是流式文件
D. 数据库系统中的数据文件广 泛采用有结构文件形式
正确答案:B 定长快于变长
书本位置:P243 7.2.1 A: 1 2) B: 1 1)CD:1 2)
12.有结构文件按组织方式分 类,下列错误的是()
A. 顺序文件
B. 流式文件
C. 索引文件
D. 索引顺序文件
正确答案:B 流式是无结构文件
书本位置:P243 7.2.1 2
13.下列关于顺序文件的说法 错误的是()
A. 顺序结构文件由于已按关键字 非序,所以具有比串结构文件更高的检索速度和效率
B. 顺序文件适合于对记录的批 量存取
C. 顺序文件适合于对记录的增 加和删除操作
D. 只有顺序文件才可以存储在 顺序存储设备上
正确答案:C 顺序文件增加删除困难,要配置记录文件
书本位置:P244 7.2.2 1
14.已知定长记录文件中首记 录R0的地址为A0,每个记录的 长度为L,则第i个记录Ai的地址 为()
A. A0+iL
B. A0+(i-1)L
C. A0+(i+1)L
D. A0+L
正确答案:A
书本位置:P245 7.2.3 2
15.已知顺序文件F含有 1000000个记录,查找一个记 录平均需要进行比较的次数约 为()
A. 500
B. 5000
C. 50000
D. 500000
正确答案:D 1000000/2=500000
书本位置:P244 7.2.2 2
16.已知文件F为一级索引顺序 文件,含有1000000个记录,查 找一个记录平均需要进行比较 的次数约为()
A. 100
B. 1000
C. 10000
D. 100000
正确答案:B (1000000)^(1/2) = 1000 二级索引顺序文件 (3/2)(N)^(1/3)
书本位置:P248 7.2.5 2
17.文件系统采用目录对文件 进行管理,下列关于目录管理目 标的说法错误的是()
A. 实现“按名存取”
B. 提高对目录的检索速度
C. 实现文件共享
D. 不允许文件重名
正确答案:D 允许文件重命名
书本位置:P249 7.3
18.文件系统对文件进行描述 和管理控制的数据结构是()
A. PCB
B. JCB
C. TCB
D. FCB
正确答案:D PCB进程控制块 JCB作业控制块 TCB线程控制块 FCB文件控制块
书本位置:P249 7.3.1
19.已知磁盘根目录下有250 个文件,文件FCB大小为64B,盘 块大小为512B,采用FCB建立 目录,查找一个文件平均需要启 动磁盘的次数为()
A. 16
B. 16.5
C. 17
D. 126
正确答案:B 最大需要磁盘数25064/512 = 32 平均启动磁盘次数(1+32)/2 = 16.5次
书本位置:P250 7.3.1 22 1)
20.已知磁盘根目录下有250 个文件,文件FCB大小为64B,盘 块大小为512B,目录项仅文件 名和节点编号构成,大小为10B 查找一个文件平均需要启动磁 盘的次数为()
A.2
B.3
C.4
D. 126
正确答案:B 最大需要磁盘数=10250/512 = 5 平均启动磁盘次数=(1+5)/2=3
书本位置:P
21.目录形式对文件的检索效 率影响很大,下列目录最高的目 录形式是()
A. 单级目录
B. 两级目录
C. 三级目录
D. 树形目录
正确答案:D
书本位置:P253 7.3.3 1
22.把从根目录到文件名所形 成的路径称为()
A. 绝对路径
B. 相对路径
C. 当前目录
D. 工作目录
正确答案:A
书本位置:P255 7.3.3 2 2)
23.利用符号链接实现文件共 享被广泛采用,下列描述错误的 是()
A. 能安全实现文件共享
B. 由于链接本身就是一个文件, 因此需要较多的空间开销
C. 需要从根目录检索文件,因此 需要较多的时间开销
D. 共享文件存在多条路径
正确答案:D 只有一个主父目录
书本位置:P260 7.4.2 A:3 BC:4 D:1
24.下列关于影响文件安全性 的因素及相应解决方式的描述 最准确的是()
A. 人为因素,解决方法是建立存 取控制机制
B. 系统因素,解决方法是采用容 错技术
C. 自然因素,解决方法是建立后 备系统
D. 上述都正确
正确答案:D
书本位置:P261 7.5
25.下列有关存取控制的描述 错误的是()
A. 进程必须具有访问权才可以 对对象执行相应的访问
B. 在资源动态分配方式下,进程在运 行过程中可能与多个保护域关联
C. 为了保证访问的合法性,通常 允许进程直接访问访问权限表
D. 只有在访问权限表或者访问 控制表中被允许的访问才是 合法的
正确答案:D
书本位置:P
26.下列关于磁盘存储器管理 的主要任务错误的是()
A. 有效分配存储空间,改善磁盘 空间利用率
B. 选择有效的作业调度算法,降 低作业的平均周转时间
C. 提高磁盘I/O速度
D. 提高磁盘系统的可靠性
正确答案:B 作业是处理机管理
书本位置:P268 第八章首语
27.下列不属于外存组织方式 的是()
A. 连续组织方式
B. 链接组织方式
C. 索引组织方式
D. 动态分区分配方式
正确答案:D 内存
书本位置:P268 8.1
28.下列不属于文件物理结构 的是()
A. 顺序式文件结构
B. 链接式文件结构
C. 记录式文件结构
D. 索引式文件结构
正确答案:C 记录式文件又称有结构文件为文件管理,不是磁盘管理
书本位置:P268 8.1
29.下列关于外存连续组织方 式的说法错误的是()
A. 顺序访问速度快,效率高
B. 空间分配比较困难,容易产生 内部碎片,空间利用率不高
C. 不便于记录的插入删除操作
D. 不适合于动态增长的文件
正确答案:B 产生外部碎片
书本位置:P269 8.1.1 (2)
30.下列关于外存的链接组织 方式错误的是()
A. 以块为单位分配存储空间消 除了磁盘的内部碎片,提高了 空间利用率
B. 对记录的插入删除操作比较 容易实现
C. 能适应文件的动态增长
D. 隐式链接方式下只能采用顺序 访问,访问速度低且安全性差
E. 显式链接方式下,对盘块的查找 在FAT表内完成,访问速度快
正确答案:A 消除外部碎片
书本位置:P270 ABC:8.1.2 D:8.1.2 1 E: 8.1.2 2
31.下列对于外存索引组织方 式的说法错误的是()
A. 实现对盘块的直接访问,对文 件的访问速度快
B. 消除了外部碎片,空间利用率 高
C. 对于小文件也需建立索引索 引块的利用率低
D. 多级索引可大大加快对文件 的查找速度,因此广泛采用
正确答案:D 对于小文件采用索引分配方式,索引块利用率极低
书本位置:P276 8.1.5 1
32.某文件系统采用索引组织 方式对文件F进行空间分配,已 知磁盘的盘块大小为4K,盘块 号占4B,只用一个盘块建立索 引,则文件F最大为()
A. 4k
B. 4M
C. 4G
D. 4T
正确答案:B 盘块数=磁盘大小/盘块号大小=4K/4B=1K 文件大小=盘块数盘块大小=1K * 4K
书本位置:P
33.下列方法不能提高对文件 的访问速度的是()
A. 改进文件目录结构和检索目 录方法,从而减少对目录的 查找时间
B. 选择合适的文件存储结构,以 提高对文件的访问速度
C. 提高磁盘的I/O速度,加快磁 盘与内存之间数据传输速度
D. 减少盘块容量,以提高磁盘空 间利用率
正确答案:D
书本位置:P282 8.3
34.下面关于磁盘高速缓存的 说法错误的是()
A. 将磁盘高速缓存中的数据传递给 请求进程时,采用指针交付方式比 直接数据交付方式速度更快
B. 当磁盘高速缓存中存满数据时,通 常采用LRU算法进行置换
C. 为了减少写盘次数,每隔一定时间 将已修改盘块数据周期性写回磁 盘,但对于可能严重影响数据 性的已修改数据,则应优先写回磁 盘,以减少数据不一致性的概率
D. 磁盘高速缓存是一个独立与磁 盘和内存的存储介质
正确答案:D 磁盘高速缓存内存中为磁盘块设置的一个缓冲区
书本位置: P283 8.3.1 A:1 B:2 C:2 (3) D:8.3.1
35.下列不能提高磁盘I/O速度 的选项是()
A. 建立磁盘高速缓存
B. 对文件进行顺序访问时采取 “提前读”,减少读盘次数
C. 对于已修改盘块采取“延迟 写”,以减少写盘次数
D. 优化物理块分布,分配给同一 文件的盘块尽可能集中
E. 设置虚拟盘
F. 设置磁盘镜像功能
正确答案:F 防止磁盘驱动器故障而丢失数据
书本位置:A:P283 8.3.1 P284 B:1 C:2 D:3 C:4
36.下列关于廉价磁盘冗余阵列(RAID)的说法错误的是()
A. 是一种对多个磁盘驱动器 进行统一控制和管理的大 型磁盘系统
B. 采用并行交叉存取技术,磁 盘I/O速度高
C. 采用了容错技术,可靠性高
D. 价格昂贵,性价比不高
正确答案:D 性价比高
书本位置:P285 8.3.3 DCD:3
37.下列关于磁盘容错技术的 描述错误是()
A. 低级磁盘容错技术,采用设置双份 目录、双份FAT以及写后读校验 等措施,防止因磁盘表面缺陷所造 成的数据丢失
B. 中级磁盘容错技术,采用磁盘镜像 和磁盘双工等措施,防止因磁盘骤 动器和磁盘控制器故障所导致的 系统不能正常工作
C. 系统容错技术,是基于集群技术的 容错功能,用来提高服务器的可靠 性
D. 建立后备系统,对重要数据进行 备份
正确答案:D 不是容错技术,是备份技术
书本位置:P287 8.4.1234
38.下列关于事务的说法错误 的是()
A. 事务是用于访问和修改各种 数据项的一个程序单位
B. 事务是系统保证数据一致性 的一种措施
C. 故障发生后,系统利用redo过程 将已修改数据恢复为旧值,利用 undo过程将已修改数据确认 为新值
D. 事务具有原子性、一致性、隔 离性和持久性四个属性
正确答案:C redo和undo作用写反
书本位置:ABD: P292 8.5.1 1 C:P293 8.5.1 3
39.下列关于并发控制的描述 错误的是()
A. 并发控制是指用于实现事务 顺序性的技术
B. 通过设置互斥锁,可以实现事 务对对象写操作的互斥进行
C. 设置共享锁,可以允许多个 事务对相应对象执行读操作
D. 不能对一个对象同时设置互 斥锁和共享锁
正确答案:D 可以同时设置互斥锁和共享锁
书本位置:A:P294 8.5.3 B:1 CD:2
40.下面关于重复数据一致性 的说法错误的是()
A. 当重复文件中有一个被修改,则其 他几个需做同样的修改
B. 当重复文件中有一个被修改,可以 用已修改文件覆盖其他几个文件
C. 若共享文件的链接计数器count 的值大于实际共享用户数,则会导 致共享文件因无法赚余而失去保 护,被其他用户非法访问
D. 若共享文件的链接计数器count 的值小于实际共享用户数,则会 造成指针悬空的危险
正确答案:D 只会浪费存储空间,不严重
书本位置:P296 8.5.4 AB:1 CD:2
二、问答题
什么是操作系统,主要功能有哪些?
操作系统:计算机最基本最重要的基础性系统软件,可以使计算机系统能协调、高效和可靠地进行工作
主要功能:处理器管理、存储器管理、设备管理、文件管理、作业管理等功能模块
书本位置:P17 1.4什么是微内核技术,主要有哪些功能?
微内核技术把操作系统中更多的成分和功能放到更高的层次(即用户模式)中去运行,而留下一个尽量小的内核,用它来完成操作系统最基本的核心功能,称这种技术为微内核技术。
主要功能: 进程(线程)管理、低级存储器管理、中断和陷入处理等功能。
书本位置:P31 1.5.4简述进程的基本状态及状态之间的转换关系(原因)。
基本状态:执行态:进程正在处理机上运行
就绪态:进程已获得除处理机以外的一切所需资源
阻塞态:进程正在等待某一事件而暂停运行
转换关系:就绪->执行:经处理机调度,就绪进程得到处理机资源
执行->就绪:时间片用完活在可剥夺系统中有更高优先级进程进入
执行->阻塞:进程需要的某一资源还没准备好
阻塞->就绪:进程需要的资源已准备好
书本位置:P40 2.2.2低级调度的主要任务是什么?
低级调度又称进程调度,主要任务是按照某种方法和策略从就绪队列中选取一个进程,将处理机分配给它
书本位置:P92 3.1.1 2什么是死锁,产生死锁的必要条件有哪些?
死锁是指多个进程因竞争资源而造成的一种僵局(互相等待),若无外力作用,这些进程都无法向前推进
死锁的条件:(1)互斥条件(2)不剥夺条件(3)请求并保持条件(4)循环等待条件
书本位置:P116 3.5.3 2存储器管理有哪些主要功能(任务)?
内存空间的分配与回收 地址转换 内存空间的扩充 存储保护
书本位置:P129 4.1分页与分段的主要区别是什么?
(1)段是信息的逻辑单位
页是信息的物理单位
(2)页的大小固定且由系统决定
段的长度却不固定,决定于用户所填写的程序
(3)段是二维地址空间
页是一维地址空间
书本位置:P159 4.6.2 4什么是虚拟存储器,有哪些特征?
虚拟存储器: 是指具有请求调入功能和置换功能,能从逻辑上对内存容量进行扩充的一种存储器系统。
从用户角度看,该系统所具有的内存容量比实际内存容量大得多,但这只是用户的一种感觉,是虚的,故而得名虚拟存储器。
虚拟存储器的特征有:虚拟扩充、部分装入、多次对换。
虚拟性、对换性、多次性
书本位置:P166 5.1.2 1 2设备管理的主要任务是什么?
①管理各类外围设备,完成用户提出的I/O请求,加快I/O信息的传送速度,发挥I/O设备的并行性,提高I/O设备的利用率。
②提供每种设备的设备驱动程序和中断处理程序,向用户屏蔽硬件使用细节。
书本位置:P191 6.1.1引入缓冲技术的原因有哪些?
缓和CPU与I/O设备之间速度不匹配的矛盾;
减少对CPU的中断频率;
放宽对中断响应时间的限制;
提高CPU和I/O设备之间的并行性;
提高外设利用率,尽可能使外设处于忙状态。
书本位置:P224 6.7.1简述设备驱动程序的处理过程
(1)将抽象要求转换为具体要求
(2)对服务请求进行校验
(3)检查设备的状态
(4)传送必要的参数
(5)启动I/O设备
书本位置:P207 6.4.2请以假脱机打印机系统为例说明SPOOLing系统的构成和工作原理。
假脱机技术主要由输入程序模块和输出程序模块所组成,系统分别为之创建输入进程和输出进程,它们的优先级高于一般用户进程。
输入进程负责通过通道将信息从输入设备送到盘区的输入井中,输出进程负责通过通道将信息从盘区的输出井送到输出设备。
主机仅和快速存储设备磁盘中的输入井和输出井交换信息,大大提高了信息处理的速率。
书本位置:P220 6.6.2对目录管理的主要要求是什么?
实现按名存取、提高检索目录的速度、文件共享、允许文件重名。
书本位置:P249 7.3什么是事务,有哪些特征?
事务:是用户定义的一个数据库操作序列,这些操作要么全做要么全不做,是一个不可分割的工作单位。
事务的特征:原子性、一致性、隔离性、持续性
书本位置: P292 8.5.1 1一个分层结构操作系统有裸机、用户、处理机管理系统、作业管理系统、文件管理系统、设备管理系统、内存管理系统和命令管理系统等组成,试对它们按照层次结构原则从里到外重新排列。
裸机,处理机管理系统,内存管理系统,作业管理系统,设备管理系统,文件管理系统,命令管理系统,用户
三、计算题
已知信号量S的初始值为5,某段时间里进程在S上共执行了9次wait操作和3次signal操作,则S 的值应该为( -1 )
解:Wait : -1,signal: +1
所以 S = S–9+3 = -1系统中有4个并发进程,每个进程都需要2个A资源,则系统最少应提供( 5 )个A资源才能保证不会发生死锁
解:保证不发生死锁,即至少有一个进程能获得所有资源,即至少一个进程能获得2个A资源,其他进程获得一个A资源
所以 系统提供资源数 = 1个A资源*4个进程+1个A资源 = 5系统有11台打印机和N个并发进程,每个进程请求3台打印机,为确保不发生死锁,N的值最大为( 5 )
解:同2,求进程个数N
打印机数 = 2个打印机*N个进程 + 1 = 11
N = 5已知某分页系统中,页的大小为1K,则逻辑地址A=2170,则其
(1)页号是( 2 )
(2)页内偏移量是( 122 )
(3)若查页表得知A对应的物理块号为5,则A的物理地址是( 5242 )
解:(1)页号 = 逻辑地址/页的大小 = 2170/1024B = 2
(2)页内偏移量 = 逻辑地址%页的大小 = 2170%1024B = 122
(3)A的物理地址 = 物理块号页的大小+页内偏移量 = 51024+122 = 5242已知某分段系统中,虚地址结构为(段号,段内偏移量),若有合法虚地址A=(2,300),经查段表得知段号2在内存的起始地址为10000,则A的物理地址是( 10300 )
解:已知段号2在内存的起始地址为10000,则A的物理地址=起始地址+偏移量=10000+300=10300文件F含有10000个记录,
(1)若建立顺序文件,查找一个记录平均需要进行比较的次数为( 5000 )
(2)若建立索引顺序文件,将文件每100个记录作为一组,则查找一个记录平均需要进行比较的次数为( 100 )
解:(1)顺序文件查找最短1次找到,最长10000次
所以平均次数=(1+10000)/2 = 5000
(2)索引顺序文件=100组 每组=100个文件 查找索引顺序文件组=(1+100)/2=50 组中查找文件=(1+100)/2=50
平均=50+50=100已知磁盘盘块大小为512B,根目录下有250个文件,文件FCB大小为64B,
(1)采用FCB建立目录,查找一个文件平均需要启动磁盘的次数为( 16.5 )次
(2)如果采用i节点,文件名和节点编号10B,查找一个文件平均需要启动磁盘的次数为( 3 )次
解:(1)文件总大小=文件个数 * 文件大小=250 * 64 = 16000B
最长需要启动磁盘次数=16000/512=32
平均弃用磁盘次数(1+32)/2 = 16.5
(2)250*10=2500B
2500/512=5
(1+5)/2=3
四、分析题
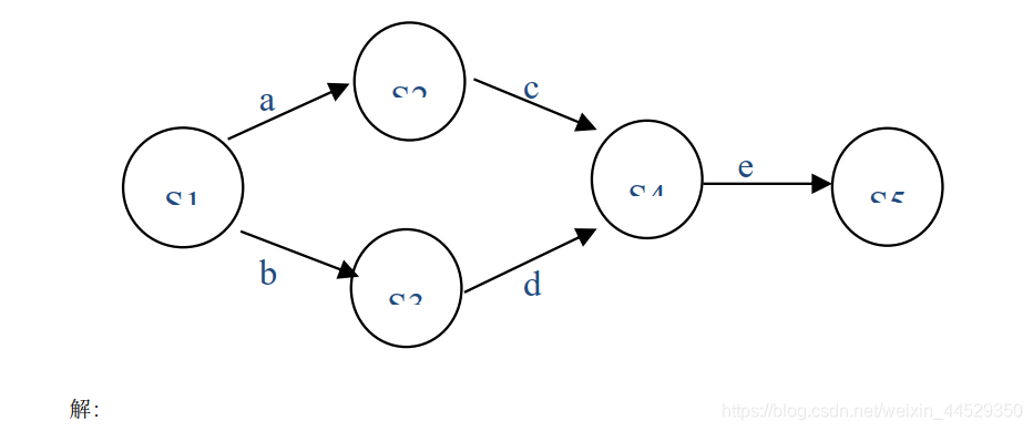
- 下图给出了进程S1,S2,S3,S4合作完成某一任务的
前趋图,试简要说明这四个进程间的同步关系,并
用wait和signal操作描述。
解:
P1(){S1;signal(a);signal(b);}
P2(){wait(a);S2;signal(c);}
P3(){wait(b);S3;signal(d);}
P4(){wait(c);wait(d);S4;signal(e);}
P5(){wait(e);S5;}
Main(){
Semaphore a,b,c,d,e;
a.value=0,b.value=0,c.value=0,d.value=0,e.value=0;
cobegin
P1();P2();P3();P4();P5();
coend
}
- 某程序段有下列语句,请画出它们的前趋关系图
S1: x=x+y
S2: a=x+2
S3: b=y+3
S4: c=a+b
S5: d=c+b
解:
已知一组进程的到达时间和要求服务时间,求FCFS和SJF算法的完成时间、周转时间、带权周转时间、平均周转时间和平均带权周转时间。(保留两位小数)

化简图中的进程-资源图,简述化简过程并利用死琐定理给出相应的结论。其中P1,P2表示进程,R1,R2表示资源类别。

解:

R1分配2个资源给P1,分配一个资源给P2,R1还剩0个资源
R2分配1个资源给P2,R2还剩1个资源
P1请求1个R2资源,可以请求成功
P2请求1个R1资源,不能请求成功
所以先执行P1操作,P1执行完后,释放资源,此时R1有2个资源,R2有1个资源
再执行P2操作,P2请求一个R1资源,R1还剩一个,执行后释放资源某系统中有五个并发进程同时请求ABCD四类资源,已知T0时刻资源分配情况如下表。按要求做题,要求有解题步骤:
(1)T0时刻系统是否处于安全状态?
(2)若在T1时刻进程P2提出请求Request(1,2,2,2),系统能否将资源分配给它?
解:
答题要求:
第(1)小题,要求将解题过程填入下表
第(2)小题,要求先判断进程请求的合法性,再根据具体情况,或者按照(1)小题的方式将解题过程填表,或者直接用语言说明。
因为Req(1,2,2,2)<Available(1 6 5 4)且Req(1,2,2,2)<Need(2,3,5,6)
所以请求是合法的,但是找不到一组安全序列,进程处于不安全状态已知请求分页系统中某作业存在如下页面走向:3、4、2、3、1、3、5、4、3、2、5、4。
若分配给该作业的物理块数为3,请分别使用OTP算法、FIFO算法和LRU算法计算访问过程中所发生的页面置换次数、缺页次数和缺页率。(要求按下表方式答题)
在某系统中活动头磁盘有200道, 编号从0-199。现有如下访盘请求序列(磁道号): 55,58,39,18,90,160,150,38,184,且当前磁头正处在第100号磁道处向着磁道号增大的方向移动,请分别采用先来先服务(FCFS)磁盘调度算法、最短寻道时间优先(SSTF)磁盘调度算法、扫描算法(SCAN)和循环扫描算法(CSCAN)求平均寻道长度。(按算法将解题过程填表)
解:
有一计算机系统利用下图所示的位示图来管理空闲盘块。盘块的大小为1KB,现要为某文件分配两个盘块,试说明盘块的具体分配过程。

要求按下述步骤答题:
(1)在位示图中找到符合要求的元素(i,j)
(2)计算元素(i,j)对应的盘块号,分配给文件
(3)将元素(i,j)的值改为1
解:
分配量个盘块的过程如下:
⑴ 顺序扫描位示图,从中找到第一个值为0的二进制位,得到行号i=3,列号j=3。
⑵ 将找到的二进制位转换成对应盘块号。盘块号为:b=(3-1)*16+3=35;
⑶ 修改位示图,令map[3,3]=1,并将该盘块分配出去。
类似地,可使用相同的方法找到第二个值为0的二进制位,得到行号i=4,列号j=7,其对应的盘块号为55,令map[i,j]=1,并将该盘块分配出去。