给定一个链表,判断链表中是否有环。
为了表示给定链表中的环,我们使用整数 pos 来表示链表尾连接到链表中的位置(索引从 0 开始)。 如果 pos 是 -1,则在该链表中没有环。
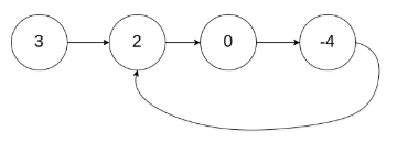
示例 1:
输入:head = [3,2,0,-4], pos = 1
输出:true
解释:链表中有一个环,其尾部连接到第二个节点。

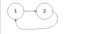
示例 2:
输入:head = [1,2], pos = 0
输出:true
解释:链表中有一个环,其尾部连接到第一个节点。

示例 3:
输入:head = [1], pos = -1
输出:false
解释:链表中没有环。

1、
# Definition for singly-linked list.
# class ListNode:
# def __init__(self, x):
# self.val = x
# self.next = None
class Solution:
def hasCycle(self, head: ListNode) -> bool:
if not head:
return False
while head.next and head.val != None:
head.val = None # 遍历的过程中将值置空
head = head.next
if not head.next: # 如果碰到空发现已经结束,则无环
return False
return True # 否则有环
2、
# Definition for singly-linked list.
# class ListNode:
# def __init__(self, x):
# self.val = x
# self.next = None
class Solution:
def hasCycle(self, head: ListNode) -> bool:
while head and head.next:
# 如果被打断,说明节点的值是之前被重新定义的
if head.val is None:
return True
head.val = None
head = head.next
return False
3、
# Definition for singly-linked list.
# class ListNode:
# def __init__(self, x):
# self.val = x
# self.next = None
class Solution(object):
def hasCycle(self, head):
slow = fast = head
while fast and fast.next:
slow = slow.next
fast = fast.next.next
if slow is fast:
return True
return False
版权声明:本文为weixin_43075206原创文章,遵循CC 4.0 BY-SA版权协议,转载请附上原文出处链接和本声明。