给定一个 N 叉树,返回其节点值的 后序遍历 。
N 叉树 在输入中按层序遍历进行序列化表示,每组子节点由空值 null 分隔(请参见示例)。
进阶:
递归法很简单,你可以使用迭代法完成此题吗?
示例 1:
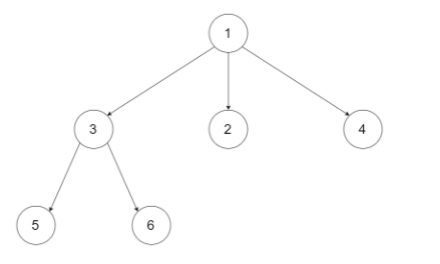
输入:root = [1,null,3,2,4,null,5,6]
输出:[5,6,3,2,4,1]
示例 2:
输入:root = [1,null,2,3,4,5,null,null,6,7,null,8,null,9,10,null,null,11,null,12,null,13,null,null,14]
输出:[2,6,14,11,7,3,12,8,4,13,9,10,5,1]
提示:
N 叉树的高度小于或等于 1000
节点总数在范围 [0, 10^4] 内
来源:力扣(LeetCode)
链接:https://leetcode-cn.com/problems/n-ary-tree-postorder-traversal
著作权归领扣网络所有。商业转载请联系官方授权,非商业转载请注明出处。
LinkedList 类似于双向链表,与 ArrayList 的区别是 ArrayList 是动态数组的数据结构,而 LinkedList 是 list 的数据结构,此题如果按照递归来写的话,就是将root 节点的所有孩子进行递归调用,同时将节点 add 到 list 中,最后返回 list 即可
/*
// Definition for a Node.
class Node {
public int val;
public List<Node> children;
public Node() {}
public Node(int _val) {
val = _val;
}
public Node(int _val, List<Node> _children) {
val = _val;
children = _children;
}
};
*/
class Solution {
LinkedList<Integer> list = new LinkedList<>();
public List<Integer> postorder(Node root) {
if(root == null) return list;
if(root.children != null){
for(Node node : root.children){
postorder(node);
}
}
list.add(root.val);
return list;
}
}
版权声明:本文为weixin_45962741原创文章,遵循CC 4.0 BY-SA版权协议,转载请附上原文出处链接和本声明。