题目
题目链接:力扣230.二叉搜索树中第K小的元素
给定一个二叉搜索树的根节点 root ,和一个整数 k ,请你设计一个算法查找其中第 k 个最小元素(从 1 开始计数)。
示例 1:

输入:root = [3,1,4,null,2], k = 1
输出:1
示例 2:

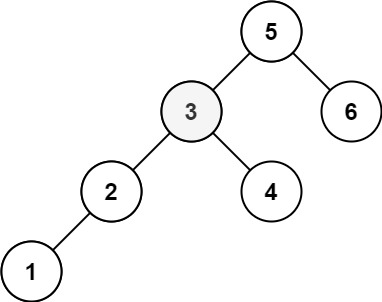
输入:root = [5,3,6,2,4,null,null,1], k = 3
输出:3
提示:
- 树中的节点数为
n。 - 1 <= k <= n <= 104
- 0 <= Node.val <= 104
进阶:如果二叉搜索树经常被修改(插入/删除操作)并且你需要频繁地查找第 k 小的值,你将如何优化算法?
解题思路
?中序遍历
由于题目给的二叉树是二叉搜索树,所以可以根据中序遍历,把节点值存入数组中再直接返回第 K 大的数。这种方法比较简单,官方给的第二种方法比较麻烦,我就说一下大体的思路吧。第三种方法我是真的看不下去,直接手撕平衡树了,有兴趣的可以自己去看看。
?优化
对于频繁的查找是可以优化的。
因为树是二叉树,所以想确定第 k 小的数的位置,可以根据树的子节点数确定第 K 小的数。这里用一个哈希表存储每个根节点的子节点数,这样可以遍历二叉树的节点查找第 k 小的数。
- 如果节点的左子树的节点数小于
k-1,那么第k小的数一定在其右子树上 - 如果等于,那么当前节点就是第
k小 - 如果大于,那就在左子树上
代码(C++)
中序遍历
class Solution {
public:
vector<int> nums;
void dfs(TreeNode *root) {
if (!root)
return ;
dfs(root->left);
nums.push_back(root->val);
dfs(root->right);
}
int kthSmallest(TreeNode* root, int k) {
dfs(root);
return nums[k - 1];
}
};
优化
这里用的是官方的代码
class MyBst {
public:
MyBst(TreeNode *root) {
this->root = root;
countNodeNum(root);
}
// 返回二叉搜索树中第k小的元素
int kthSmallest(int k) {
TreeNode *node = root;
while (node != nullptr) {
int left = getNodeNum(node->left);
if (left < k - 1) {
node = node->right;
k -= left + 1;
} else if (left == k - 1) {
break;
} else {
node = node->left;
}
}
return node->val;
}
private:
TreeNode *root;
unordered_map<TreeNode *, int> nodeNum;
// 统计以node为根结点的子树的结点数
int countNodeNum(TreeNode * node) {
if (node == nullptr) {
return 0;
}
nodeNum[node] = 1 + countNodeNum(node->left) + countNodeNum(node->right);
return nodeNum[node];
}
// 获取以node为根结点的子树的结点数
int getNodeNum(TreeNode * node) {
if (node != nullptr && nodeNum.count(node)) {
return nodeNum[node];
}else{
return 0;
}
}
};
class Solution {
public:
int kthSmallest(TreeNode* root, int k) {
MyBst bst(root);
return bst.kthSmallest(k);
}
};
总结
做这题很容易想到给一个数组,求第 K 大/小的值,其中数组里的值可以重复出现。那题也就去重难点,不过如果写过就容易了。这题由于是搜索树,所以无法出现重复值,但是方法二还是很难想到。方法一的递归可以用迭代做,都一样。
版权声明:本文为qq_52546377原创文章,遵循CC 4.0 BY-SA版权协议,转载请附上原文出处链接和本声明。