1、问题
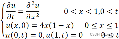
求一维热传导方程混合问题:

求解其的数值解,取N=10,h=0.1,计算到K=36为止.
2、程序
#python
import numpy as np
import matplotlib.pyplot as plt
def f(a,x1,x2,x3):
y=a*x3+(1-2*a)*x2+a*x1
return y
h=0.1;a=1/6;p=1/600
x=np.zeros((37,6));
for i in range(6):
x[0,i]=4*i*h*(1-i*h)
for j in range(1,37):
for n in range(1,6):
if n+1!=6:
x[j,n]=f(a,x[j-1,n-1],x[j-1,n],x[j-1,n+1])
else:
x[j,n]=f(a,x[j-1,n-1],x[j-1,n],x[j-1,n-1])
y1=[0,1,2,3,4,5]
t=np.array([])
for o in range(37):
t1=[p*o,p*o,p*o,p*o,p*o,p*o]
t=np.r_[t,t1]
t=np.array(t.reshape(37,-1))
po=['position:0','position:1','position:2','position:3','position:4','position:5']
for by in range(6):
x2=x[:,by]
y2=t[:,by]
plt.plot(y2,x2,label=po[by])
plt.xlabel('Time')
plt.ylabel('Heat')
plt.title('Heat changes over time')
plt.legend()
plt.show()
3、结果
运行结果如Fig1.

Fig1. Position(0~5)表示空间位置,y-axis 表示热量/焦耳,x-axis表示时间/秒
4、实验总结
(1)本次实验解决偏微分方程所用到的方法是差分法,核心思想就是将一阶差商和二阶差商代替一阶偏分和二阶偏分;
(2)本次实验程序的实现并不困难,掌握核心方法,利用边值条件,对不同空间位置的点进行迭代就可以较为容易的出现结果;
(3)从设计的程序运行结果来看,随着时间的增大,热量在不断的减少,这种规律是符号我们经验的,具有一定的可信性。
版权声明:本文为Thattear原创文章,遵循CC 4.0 BY-SA版权协议,转载请附上原文出处链接和本声明。