Jacobian矩阵的理解
前言
学习RNN时看到Jacobian矩阵时我的内心是崩溃的,啥是Jacobian矩阵,怎么活生生就蹦出来一个Jacobian矩阵,说好的bp算法只用求导呢,然后就开始扒Jacobian矩阵的知识,顺便补点数学知识(对不起线代老师啊.泪目)
数学知识强补
这里数学知识的引用来自:向量/矩阵求导强行补救


看到第8条就够了,想看更多的原文链接已经贴在上面了
Jacobian矩阵的进一步理解
接着贴?:【数学】对向量的求导和Jacobian矩阵的几何意义与Hessian矩阵
这篇博文对雅各比矩阵进行了比较详细的解释和补充,但是可能还是有些地方不够详尽,我就根据自己的理解配合博文进行进一步解释
1.首先解释一下这里的符号 Rn-R指的是n元向一元的映射关系。同理,Rn-Rm就是指的n元(x)向m元(y)的映射关系。
2.所谓的换元变换(坐标变换)指的就是一个空间的基数向另一个空间的基数的映射。说白的就是线性变换
所以,说到底,雅各比矩阵就是方程组的求导所构成的一个矩阵
接下来进一步理解
第一行是直线近似代替曲线
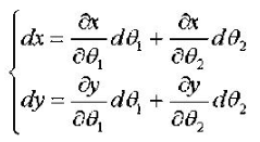
这里说的就是一个线性方程组:
θ1,θ2——x
θ1,θ2——y
接着分别求x,y的梯度:
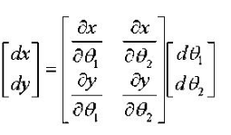
将上述方程组向量化:
然后我们就发现了Jacobian矩阵啊。这里的x相当于前面讲解的y1,y相当于y2,(就是说相当于向量(x,y)对向量(θ1,θ2)求导)。
这里也就能理解为什么说导数就是线性空间直线的线性变换,或者是导数就是在切空间到切空间之间的线性映射。说白了可以看作是从θ1和θ2微分到x,y微分的映射,映射关系就是向量(x,y)对向量(θ1,θ2)的导数,而这个倒数就是我们说的雅各比矩阵。
所以,到这里雅各比矩阵的理解就清晰许多了~~(吃完饭接着更)~~
——————————————————分割线————————————————————————
时隔两年,淦!!兄弟们我回来了。我也忘了下面要更啥的,应该是海森Hessian矩阵。既然这么多兄弟再看,所以就把这个坑补上吧(我也自己刚复习了一边上面自己讲的)
海森Hessian矩阵
理解玩雅各比矩阵以后hessian矩阵就好说了,无非是再求导而已:
我们可以把Jacobian矩阵看作是一个普通的函数,那么,再对这个函数就一阶导,同理就可以
由
得到
原谅我打公式实在太难收了,所以直接截图了。大家有问题可以私信联系我

