1.问题
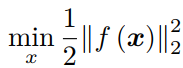
非线性最小二乘问题:
2.求解方法
由于f(x)是非线性函数,不能直接进行求导,可以用迭代寻优的方法求解。
迭代寻优:
这让求解导函数为零的问题,变成了一个不断寻找梯度并下降的过程。直到某个时刻增量非常小,无法再使函数下降。此时算法收敛,目标达到了一个极小,我们完成了寻找极小值的过程。在这个过程中,我们只要找到迭代点的梯度方向即可,而无需寻找全局导函数为零的情况。这个过程的关键是:
,即迭代的方向和步长。
为了求解 ,我们借助泰勒展开求 :
注: J 是 ∥f(x)∥2 关于 x 的导数(雅可比矩阵),而 H 则是二阶导数(海塞(Hessian)矩阵)
根据对上式的处理方式(保留到几阶导),分为最速下降法和牛顿法。
2.1最速下降法
2.2牛顿法
2.3 高斯牛顿
2.4 LM算法
版权声明:本文为zhangkkit原创文章,遵循CC 4.0 BY-SA版权协议,转载请附上原文出处链接和本声明。