题目描述:
输入
先输入一个整数n,表示后面总共要输入n组测试数据;
然后输入n组测试数据,每组测试数据是一个双精度浮点数x。
输出
根据输入的n组测试数据,对应输出n个输出结果,每个输出结果单独占一行,即每个输出结果后要加换行符。
样例输入
3
25
-2
49
样例输出
y=125.000000
y=1.000000
y=6.000000
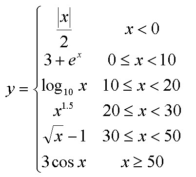
#include <stdio.h>
#include <math.h>
int main()
{
int n;
double x,y;
scanf("%d",&n);
for(;n>0;n--)
{
scanf("%lf",&x);
if (x<0)
y=0.5*(-x);
else
if (x<10)
y=exp(x)+3;
else
if(x<20)
y=log10(x);
else
if (x<30)
y=pow(x,1.5);
else
if (x<50)
y=pow (x,0.5)-1;
else
y=3*cos(x);
printf("y=%lf\n",y);
}
return 0;
}
版权声明:本文为weixin_43540427原创文章,遵循CC 4.0 BY-SA版权协议,转载请附上原文出处链接和本声明。