本章Multisim10电路仿真软件,讲解使用Multisim进行模拟电路仿真的基本方法。
在众多的EDA仿真软件中,Multisim软件界面友好、功能强大、易学易用,受到电类设计开发人员的青睐。Multisim用软件方法虚拟电子元器件及仪器仪表,将元器件和仪器集合为一体,是原理图设计、电路测试的虚拟仿真软件。
Multisim来源于加拿大图像交互技术公司(Interactive Image Technologies,简称IIT公司)推出的以Windows为基础的仿真工具,原名EWB。
IIT公司于1988年推出一个用于电子电路仿真和设计的EDA工具软件Electronics Work Bench(电子工作台,简称EWB),以界面形象直观、操作方便、分析功能强大、易学易用而得到迅速推广使用。
1996年IIT推出了EWB5.0版本,在EWB5.x版本之后,从EWB6.0版本开始,IIT对EWB进行了较大变动,名称改为Multisim(多功能仿真软件)。
IIT后被美国国家仪器(NI,National Instruments)公司收购,软件更名为NI Multisim,Multisim经历了多个版本的升级,已经有Multisim2001、 Multisim7、 Multisim8、Multisim9 、Multisim10等版本,9版本之后增加了单片机和labview虚拟仪器的仿真和应用。
下面以Multisim10为例介绍其基本操作。图13.1-1是Multisim10的用户界面,包括菜单栏、标准工具栏、主工具栏、虚拟仪器工具栏、元器件工具栏、仿真按钮、状态栏、电路图编辑区等组成部分。

图13.1-1 Multisim10用户界面
菜单栏与Windows应用程序相似,如图13.1-2所示。

图13.1-2 Multisim菜单栏
其中,Options菜单下的Global Preferences和Sheet Properties可进行个性化界面设置,Multisim10提供两套电气元器件符号标准:
ANSI:美国国家标准学会,美国标准,默认为该标准,本章采用默认设置;
DIN:德国国家标准学会,欧洲标准,与中国符号标准一致。
工具栏是标准的Windows应用程序风格。
标准工具栏:
视图工具栏:
图13.1-3是主工具栏及按钮名称,图13.1-4是元器件工具栏及按钮名称,图13.1-5是虚拟仪器工具栏及仪器名称。

图13.1-3 Multisim主工具栏

图13.1-4 Multisim元器件工具栏

图13.1-5 Multisim虚拟仪器工具栏
项目管理器位于Multisim10工作界面的左半部分,电路以分层的形式展示,主要用于层次电路的显示,3个标签为:
Hierarchy:对不同电路的分层显示,单击“新建”按钮将生成Circuit2电路;
Visibility:设置是否显示电路的各种参数标识,如集成电路的引脚名;
Project View:显示同一电路的不同页。
13.1.2 Multisim仿真基本操作
Multisim10仿真的基本步骤为:
1. 建立电路文件
2. 放置元器件和仪表
3. 元器件编辑
4. 连线和进一步调整
5. 电路仿真
6. 输出分析结果
具体方式如下:
1. 建立电路文件
具体建立电路文件的方法有:
打开Multisim10时自动打开空白电路文件Circuit1,保存时可以重新命名
菜单File/New
工具栏New按钮
快捷键Ctrl+N
2. 放置元器件和仪表
Multisim10的元件数据库有:主元件库(Master Database),用户元件库(User Database),合作元件库(Corporate Database),后两个库由用户或合作人创建,新安装的Multisim10中这两个数据库是空的。
放置元器件的方法有:
菜单Place Component
元件工具栏:Place/Component
在绘图区右击,利用弹出菜单放置
快捷键Ctrl+W
放置仪表可以点击虚拟仪器工具栏相应按钮,或者使用菜单方式。
以晶体管单管共射放大电路放置+12V电源为例,点击元器件工具栏放置电源按钮(Place Source),得到如图13.1-6所示界面。

图13.1-6 放置电源
修改电压值为12V,如图13.1-7所示。

图13.1-7 修改电压源的电压值
同理,放置接地端和电阻,如图13.1-8所示。

图13.1-8 放置接地端(左图)和电阻(右图)
图13.1-9为放置了元器件和仪器仪表的效果图,其中左下角是函数信号发生器,右上角是双通道示波器。

图13.1-9 放置元器件和仪器仪表
3. 元器件编辑
(1)元器件参数设置
双击元器件,弹出相关对话框,选项卡包括:
Label:标签,Refdes编号,由系统自动分配,可以修改,但须保证编号唯一性
Display:显示
Value:数值
Fault:故障设置,Leakage漏电;Short短路;Open开路;None无故障(默认)
Pins:引脚,各引脚编号、类型、电气状态
(2)元器件向导(Component Wizard)
对特殊要求,可以用元器件向导编辑自己的元器件,一般是在已有元器件基础上进行编辑和修改。方法是:菜单Tools/ Component Wizard,按照规定步骤编辑,用元器件向导编辑生成的元器件放置在User Database(用户数据库)中。
4. 连线和进一步调整
连线:
(1)自动连线:单击起始引脚,鼠标指针变为“十”字形,移动鼠标至目标引脚或导线,单击,则连线完成,当导线连接后呈现丁字交叉时,系统自动在交叉点放节点(Junction);
(2)手动连线:单击起始引脚,鼠标指针变为“十”字形后,在需要拐弯处单击,可以固定连线的拐弯点,从而设定连线路径;
(3)关于交叉点,Multisim10默认丁字交叉为导通,十字交叉为不导通,对于十字交叉而希望导通的情况,可以分段连线,即先连接起点到交叉点,然后连接交叉点到终点;也可以在已有连线上增加一个节点(Junction),从该节点引出新的连线,添加节点可以使用菜单Place/Junction,或者使用快捷键Ctrl+J。
进一步调整:
(1)调整位置:单击选定元件,移动至合适位置;
(2)改变标号:双击进入属性对话框更改;
(3)显示节点编号以方便仿真结果输出:菜单Options/Sheet Properties/Circuit/Net Names,选择Show All;
(4)导线和节点删除:右击/Delete,或者点击选中,按键盘Delete键。
图13.1-10是连线和调整后的电路图,图13.1-11是显示节点编号后的电路图。

图13.1-10 连线和调整后的电路图

(a)显示节点编号对话框 (b)显示节点编号后的电路图
图13.1-11 电路图的节点编号显示
5.电路仿真
基本方法:
按下仿真开关,电路开始工作,Multisim界面的状态栏右端出现仿真状态指示;
双击虚拟仪器,进行仪器设置,获得仿真结果
图13.1-12是示波器界面,双击示波器,进行仪器设置,可以点击Reverse按钮将其背景反色,使用两个测量标尺,显示区给出对应时间及该时间的电压波形幅值,也可以用测量标尺测量信号周期。

图13.1-12 示波器界面(右图为点击Reverse按钮将背景反色)
6. 输出分析结果
使用菜单命令Simulate/Analyses,以上述单管共射放大电路的静态工作点分析为例,步骤如下:
菜单Simulate/Analyses/DC Operating Point
选择输出节点1、4、5,点击ADD、Simulate

图13.1-13 静态工作点分析
13.2 二极管及三极管电路13.2.1 二极管参数测试仿真实验
半导体二极管是由PN结构成的一种非线性元件。典型的二极管伏安特性曲线可分为4个区:死区、正向导通区、反向截止区、反向击穿区,二极管具有单向导电性、稳压特性,利用这些特性可以构成整流、限幅、钳位、稳压等功能电路。
半导体二极管正向特性参数测试电路如图13.2-1所示。表13.2-1是正向测试的数据,从仿真数据可以看出:二极管电阻值
不是固定值,当二极管两端正向电压小,处于“死区”,正向电阻很大、正向电流很小,当二极管两端正向电压超过死区电压,正向电流急剧增加,正向电阻也迅速减小,处于“正向导通区”。

图13.2-1 二极管正向特性测试电路
表13.2-1 二极管正向特性仿真测试数据
Rw | 10% | 20% | 30% | 50% | 70% | 90% |
Vd/mV | 299 | 496 | 544 | 583 | 613 | 660 |
Id/mA | 0.004 | 0.248 | 0.684 | 1.529 | 2.860 | 7.286 |
rd=Vd/Id(欧姆) | 74750 | 2000 | 795 | 381 | 214 | 90.58 |
半导体二极管反向特性参数测试电路如图13.2-2所示。

图13.2-2 二极管反向特性测试电路
表13.2-2是反向测试的数据,从仿真数据可以看出:二极管反向电阻较大,而正向电阻小,故具有单向特性。反向电压超过一定数值(VBR),进入“反向击穿区”,反向电压的微小增大会导致反向电流急剧增加。
表13.2-2 二极管反向特性仿真测试数据
Rw | 10% | 30% | 50% | 80% | 90% | 100% |
Vd/mV | 10000 | 30000 | 49993 | 79982 | 80180 | 80327 |
Id/mA | 0 | 0.004 | 0.007 | 0.043 | 35 | 197 |
rd=Vd/Id(欧姆) | ∞ | 7.5E6 | 7.1E6 | 1.8E6 | 2290.9 | 407.8 |
二极管是非线性器件,引入线性电路模型可使分析更简单。有两种线性模型:
(1)大信号状态下的理想二极管模型,理想二极管相当于一个理想开关;
(2)正向压降与外加电压相比不可忽略,且正向电阻与外接电阻相比可以忽略时的恒压源模型,即一个恒压源与一个理想二极管串联。
图13.2-3是二极管实验电路,由图中的电压表可以读出:二极管导通电压Von = 0.617V; 输出电压Vo = -2.617V。

图13.2-3二极管实验电路(二极管为IN4148)
利用二极管的单向导电性、正向导通后其压降基本恒定的特性,可实现对输入信号的限幅,
图13.2-4(a)是二极管双向限幅实验电路。V1和V2是两个电压源,根据电路图,上限幅值为:V1+Von,下限幅值为:–V2–Von。在Vi的正半周,当输入信号幅值小于(V1+Von)时,D1、D2均截止,故Vo = Vi;当Vi大于(V1+Von)时,D1导通、D2截止,Vo = V1+Von≈4.65V;在Vi的负半周,当|Vi| < V2+Von时,D1、D2均截止,Vo = Vi;当|Vi| >(V2+Von)时,D2导通、D1截止,Vo = -(V2+Von)≈ -2.65V。图13.2-4(b)是二极管双向限幅实验电路的仿真结果,输出电压波形与理论分析基本一致。

(a)二极管双向限幅仿真电路 (b)输出电压波形
图13.2-4 二极管双向限幅实验电路
13.2.3 三极管特性测试
选择虚拟晶体管特性测试仪(IV-Analysis)XIV1,双击该图标,弹出测试仪界面,进行相应设置,如图13.2-5所示,点击Sim_Param按钮,设置集射极电压
的起始范围、基极电流
的起始范围,以及基极电流增加步数Num_Steps(对应特性曲线的根数),单击仿真按钮,得到一簇三极管输出特性曲线。
右击其中的一条曲线,选择show select marts,则选中了某一条特性曲线,移动测试标尺,则在仪器界面下部可以显示对应的基极电流
、集射极电压
、集电极电流
。根据测得的
和
值,可以计算出该工作点处的直流电流放大倍数
,根据测得的
和
,可以计算出交流电流放大倍数
。

图13.2-5 用晶体管特性测试仪测量三极管特性
13.3 单管基本放大电路13.3.1 共射放大电路仿真实验
放大是对模拟信号最基本的处理,图13.3-1是单管共射放大电路(NPN型三极管)的仿真电路图。

图13.3-1 单管共射放大电路(NPN型三极管)
进行直流工作点分析,采用菜单命令Simulate/Analysis/DC Operating Point,在对话框中设置分析节点及电压或电流变量,如图13.3-2所示。图13.3-3是直流工作点分析结果。


图13.3-2 直流工作点分析对话框

图13.3-3 直流工作点分析结果
当静态工作点合适,并且加入合适幅值的正弦信号时,可以得到基本无失真的输出,如图13.3-4所示。

图13.3-4 单管共射放大电路输入输出波形
但是,持续增大输入信号,由于超出了晶体管工作的线性工作区,将导致输出波形失真,如图13.3-5(a)所示,图13.3-5(b)是进行傅里叶频谱分析的结果,可见输出波形含有高次谐波分量。

(a)输出波形失真 (b)傅里叶频谱分析结果
图13.3-5 增大输入后的失真输出波形及其频谱分析结果
静态工作点过低或者过高也会导致输出波形失真,如图13.3-6所示,由于基极电阻
过小,导致基极电流过大,静态工作点靠近饱和区,集电极电流也因此变大,输出电压
,大的集电极电流导致整个电路的输出电压变小,因此从输出波形上看,输出波形的下半周趋于被削平了,属于饱和失真。

图13.3-6 减小Rb后的失真输出波形
13.3.2 场效应管放大电路仿真实验
1. 场效应管的转移特性
场效应管的转移特性指漏-源电压
固定时,栅-源电压
对漏极电流
的控制特性,即
,按照图13.3-7搭建N沟道增强型场效应管转移特性实验电路,单击Multisim10 菜单“Simulate/Analyses/DC Sweep…”选择直流扫描分析功能,在弹出的对话框“Analysis Parameters”中设置所要扫描的直流电源
,并设置起始和终止值、步长值,在“Output”选项卡中选择节点2的电压V[2]为分析节点,由于源极电阻
,所以电压V[2]的数值等于源极电流,也等于漏极电流
。由图13.3-7(b)可知,N沟道增强型场效应管2N7002的开启电压
V。

(a)仿真电路 (b)转移特性仿真结果
图13.3-7 场效应管转移特性直流扫描分析
2. 场效应管共源放大电路
图13.3-8是场效应管共源放大电路仿真实验电路图,调整电阻
和
构成的分压网络可以改变
,从而改变电压放大倍数。此外,改变电阻
、
也可改变输出电压。

(a)仿真电路 (b)输入和输出电压波形
图13.3-8 场效应管共源放大电路仿真
13.4 放大电路指标测量13.4.1 输入电阻测量
万用表可以测量交直流电压、交直流电流、电阻、电路中两个节点之间的分贝损耗,不需用户设置量程,参数默认为理想参数(比如电流表内阻为0),用户可以修改参数。点击虚拟仪器万用表(Multimeter),接入放大电路的输入回路,本例中将万用表设置为交流,测得的是有效值(RMS值)。由于交流输入电阻要在合适的静态工作点上测量,所以直流电源要保留。
由图13.4-1可见,测得输入回路的输入电压有效值为3.536mV,电流为2.806μA,输入电阻
。
在实验室中进行的实物电路的输入电阻测量要采用间接测量方法,这是因为实际的电压表、电流表都不是理想仪器,电流表内阻不是0,而电压表内阻不是无穷大。

(a) 输入电阻测量电路

(b)电压、电流测量结果
图13.4-1 放大电路输入电阻测量电路图
13.4.2 输出电阻的测量
采用外加激励法,将信号源短路,负载开路,在输出端接电压源,并测量电压、电流,如图13.4-2所示。
由图13.4-2可见,测得输出回路的激励电压有效值为707.106mV,电流为517.861μA,输出电阻
。

(a)输出电阻测量

(b)电压、电流测量结果
图13.4-2 放大电路输出电阻测量电路图
13.4.3 幅频特性的测量
可以用示波器测量放大电路的增益,以电阻分压式共射放大电路为例,图13.4-3(a)是测量电压放大倍数的电路图,图13.4-3(b)是示波器输出波形。
移动测试标尺可以读出输入输出波形幅值,进而计算出电压放大倍数,但是,可以发现,标尺处于不同位置计算出的结果不同,仅可作为估计值,此外,输出波形与输入波形相比,存在一定相移,不是理想的反相,即发生了相移,相移大小与频率有关,这就是该放大电路的相频特性。
除了用示波器进行放大倍数测量的方法。还有两种方法:扫描分析法和波特仪测量法。

(a) (b)
图13.4-3 分压式共射放大电路放大倍数的测量
1. 扫描分析法
由菜单Simulate/Analyses/AC Analysis,弹出AC Analysis(交流分析)对话框,如图13.4-4所示,选项卡Frequency Parameters中设置Start frequency(起始频率,本例设为1Hz)、Stop frequency(终止频率,本例设为10GHz)、Sweep type(扫描方式,本例设为Decade,十倍频扫描)、Number of points per decade(每十倍频的采样点数,默认为10)、Vertical scale(纵坐标刻度,默认是Logarithmic,即对数形式,本例选择Linear,即线性坐标,更便于读出其电压放大倍数)。
在Output选项卡中选择节点5的电压V[5]为分析变量,按下Simulate(仿真)按钮,得到图13.4-4(b)所示的频谱图,包括幅频特性和相频特性两个图。
在幅频特性波形图的左侧,有个红色的三角块指示,表明当前激活图形是幅频特性,为了详细获取数值信息,按下工具栏的Show/Hide Cursors按钮,则显示出测量标尺和数据窗口,移动测试标尺,则可以读取详细数值,如图(c)和(d)所示。同理,可激活相频特性图形,进行相应测量。

(a)AC Analysis对话框 (b)被分析节点的幅频和相频特性

(c) 用测试标尺读取详细数值 (d)频响数据
图13.4-4 扫描分析法进行放大电路幅频特性测量
2. 波特仪测量法
波特仪(Bode Plotter)也称为扫频仪,用于测量电路的频响(幅频特性、相频特性),将波特仪连接至输入端和被测节点,如图13.4-5(a)所示,双击波特仪,获得频响特性,图13.4-5(b)是幅频响应,图13.4-5(c)是相频响应。

(a)波特仪测试频响电路图

(b)幅频特性测试结果

(c)相频特性测试结果
图13.4-5 扫描分析法进行放大电路幅频特性测量
波特仪的面板设置:
(1)Mode:模式选择,点击Magnitude获得幅频响应曲线,选择Phase获得相频响应曲线;
(2)水平和垂直坐标:点击Log选择对数刻度,点击Lin选择线性刻度;
(3)起始范围:F文本框内填写终了值及单位,I文本框内填写起始值及单位。
13.5 差动放大电路13.5.1 差动放大电路仿真电路
直接耦合是多级放大的重要级间连接方式,对直流信号、变化缓慢的信号只能用直接耦合,但随之而来的是零点漂移问题,影响电路的稳定,解决这个问题的一个办法是采用差动放大电路,在电子设备中常用差动放大电路放大差摸信号,抑制温度变化、电源电压波动等引起的共模信号。
图13.5-1是差动放大电路仿真电路,是由两个相同的共射放大电路组成的,当开关J1拨向左侧时,构成了一个典型的差动放大电路,调零电位器Rw用来调节Q1、Q2管的静态工作点,使得输入信号为0时,双端输出电压(即电阻RL上的电压)为0。
当开关J1拨向右侧时,构成了一个具有恒流源的差动放大电路,用恒流源代替射极电阻Re,可以进一步提高抑制共模信号的能力。
差动放大电路的输入信号既可以是交流信号,也可以是直流信号。图13.5-1中,输入信号由函数发生器提供,函数发生器(Function Generator)可以产生正弦波、三角波、矩形波电压信号,可设置的参数有:频率、幅值、占空比、直流偏置,频率范围很宽(0.001pHz~1000THz)。
差动放大电路需要一正一负两个电压源,实际中不存在负的电压源,将正极接地,则电压源的负极可以提供负的电压,因此,按照图中的接法可以提供正负电压源。
差动放大电路有两个输入端和两个输出端,因此电路组态有双入双出、双入单出、单入双出、单入单出4种,凡是双端输出,差摸电压放大倍数与单管情况下相同,凡是单端输出,差摸电压放大倍数为单管情况下的一半。

图13.5-1 差动放大电路仿真电路
13.5.2 差动放大电路的调零
调零是指差动放大器输入端不接入信号,调整电路参数使两个输出端达到等电位。
图13.5-2中是调整电位器Rw,使节点3和节点4的电压相同,这时可认为左右两侧的电路已经对称,调零工作完成。
图中的电压读数也是两个三极管的集电极静态工作电压。

图13.5-2 差动放大电路的调零
13.5.3 差动放大电路的静态工作点
采用菜单命令Simulate/Analysis/DC Operating Point,选择节点仿真可以获得静态工作点指标,下面采用另一种方法,将电流表和电压表接入仿真电路,获得更直观的静态工作点测量结果,如图13.5-3所示。

图13.5-3 差动放大电路的静态工作点测量
13.5.4 差模增益和共模增益测量
1. 差模电压增益
双端输入双端输出情况下的差摸电压放大倍数是输出端电压差除以输入端电压差。
为获得较大电压增益,将仿真电路的参数进行一些调整,测量电路如图13.5-4所示。
函数发生器设置为输出正弦波,频率1kHz,幅值5mV,“+”端和“-”端接入差动放大电路的两个输入端,COM端接地。
用电压表测量输入端的电压差,注意双击电压表,将测量模式(Mode)改为交流(AC)模式。
由图中测量数据,输入端电压差为7.071mV,输出端电压差为308.991mV,双入双出模式时的差摸电压增益为
。
当开关J1拨向右侧时,以恒流源代替射极电阻,则差摸电压增益增加到
。
仿真可发现,负载电阻RL对增益值影响很大,此外,调零电阻Rw、基极电阻Rb1、Rb2、集电极电阻Rc1、Rc2均有影响。

图13.5-4 双入双出差动放大电路的差摸增益测量
2. 共模电压增益
将两输入端短接,COM端接地,构成共模输入方式,如图13.5-5所示。
调整输入信号频率为1kHz,幅值为1mV,在负载电阻两端接万用表,测得输出电压为6pV左右,“皮”的数量级为10-12,几乎为零。可见,差动放大电路对共模信号有很强的抑制效果。

图13.5-5 双入双出差动放大电路的共摸增益测量
13.6 集成运放电路
由分立元件构成的电路具有电子设计上灵活性大的优点,但缺点是功耗大、稳定性差、可靠性差,此外,设计本身较复杂。集成电路采用微电子技术构成具有特定功能的电路系统模块,与分立元件构成的电路相比,性能有了很大提高,电子设计也更为简单。
集成运算放大器是高增益、高输入阻抗、低输出阻抗、直接耦合的线性放大集成电路,功耗低、稳定性好、可靠性高。可以通过外围元器件的连接构成放大器、信号发生电路、运算电路、滤波器等电路。
以集成运放μA741为例,图13.6-1是μA741的管脚示意图及实物照片。

图13.6-1 集成运放μA741管脚示意图及实物照片
13.6.1 比例放大电路
用μA741组成同相比例放大电路,仿真电路图如图13.6-2所示。根据同相比例电路的增益公式,图13.6-2的电压增益应为:
。

(a)同相比例放大电路

(b)输入、输出电压波形
图13.6-2 集成运放μA741构成的同相比例放大电路
从波形上看,输入、输出同相位,用测试标尺测量幅值,可发现输出与输入的比例为3,在一定范围内调整负载电阻,波形基本不变,说明该电路带负载能力强。同理,可以进行反相比例放大电路的仿真,图13.6-3是集成运放μA741构成的反相比例放大电路,其电压增益应为:
,这与示波器读数一致。
图13.6-3 集成运放μA741构成的反相比例放大电路及波形
由仿真可见,由运算放大器构成比例放大电路的电路结构简单、设计容易、性能稳定、带负载能力强。
13.6.2有源滤波电路
根据滤波电路中有无有源元件可将滤波器电路分为无源滤波器和有源滤波器,无源滤波器由无源元器件(电阻、电容、电感)构成电路网络,但其滤波特性随着负载的变化而变化,负载效应明显,不能满足很多应用场合的要求,有源滤波器则通过运放电路提高输入阻抗,降低输出阻抗而大大减少了负载效应。
简单的有源滤波器是在无源滤波器输出端接一个由运放电路构成的电压跟随器或同相比例放大器,使得滤波的同时可以放大信号,并且提高带负载能力。
图13.6-4是简单的二阶低通有源滤波电路,运放U1和电阻Rf、R3构成同相比例放大电路,放大倍数为
,电阻R1、电容C1、电阻R2、电容C2组成的RC网络是二阶低通滤波电路,其特征频率为
Hz。信号源是幅值为1V的交流电压源。
用菜单命令Simulate/Analyses/AC Analysis对其进行交流分析,频率范围设置为1Hz~1MHz,扫描类型Sweep type选择Decade,纵坐标Vertical Scale选择Linear,Output选项卡中选择节点4作为分析节点,单击Simulate按钮,可得到其频率特性,如图13.6-5所示。

图13.6-4 简单二阶低通有源滤波电路
由频率特性可以看出:最大输出为1.9996V,截止频率为对应
V(即增益下降3dB)的频率,约为125.4003Hz(标尺2处),而在特征频率处(标尺1处,338.2989Hz),幅值已下降至672.8329mV,可见,实际的截止频率远小于特征频率。为缩小二者的差别,可引入正反馈增大特征频率处的幅值,这就是所谓的压控电压源二阶低通滤波器。

图13.6-5简单二阶低通有源滤波电路的频率特性
将电容C1的下端直接接在滤波器输出端,构成图13.6-6所示的压控电压源二阶低通滤波器,其频率特性如图13.6-7所示。

图13.6-6 压控电压源二阶低通滤波电路

图13.6-7 压控电压源二阶低通滤波电路的频率特性
可以看出,特征频率处的幅值有所增大,在特征频率处(测量标尺1,338.2989Hz)幅值增大为1.9857V,截止频率为1.414V所对应的频率,在测量标尺2处(幅值为1.3912),对应频率为439.2605Hz,二者差距由约213Hz缩小至约100Hz,特征频率和截止频率差距大大缩小了。
品质因数Q的物理意义是特征频率处的电压增益与通带电压增益之比,理论分析给出品质因数Q与通带增益
的关系为:
,而在本节例子中,通带增益
,因此,改变运放电阻
或者
即可改变品质因数。
13.7 直流稳压电源13.7.1 桥式整流滤波电路
建立如图13.7-1所示的单相桥式整流滤波电路,变压器取值Basic Group组的BASIC_VIRTUAL中的TS_VIRTUAL,设置变比(本例设为10),变压器的二次侧有3个抽头,可以有两种接法,如图13.7-1中的(a)和(b)所示,前者的整流波形最大值约为15V,后者约为30V,整流桥选自Diodes组中的FWB中的元件。

(a)变压器输出15V整流波形

(b)变压器输出30V整流波形
图13.7-1 单相桥式整流滤波电路
以图13.7-1(b)电路为例,图13.7-2是该单相桥式整流滤波电路的输出波形,图(a)是未接入滤波电容C1时的输出波形,即整流桥输出波形,图(b)是接入滤波电容C1时的输出波形,可见,桥式整流后用滤波电容进行滤波,电压平均值上升,电压波动(波纹系数)减小了。
但是,RC回路参数对波形影响很大,波形与滤波电容的大小有关系,也与负载大小有关系。将负载增至10kΩ,输出波形如图13.7-2(c)所示,可见输出电压的波动进一步减小,若继续将滤波电容增至100μF,则电压波形趋于理想,如图13.7-2(d)所示。
当负载较轻(对应负载电阻大),对电压波形要求不高时,可采用这种方式提供直流电压,为减少纹波系数,可适当增大滤波电容。

(a)未接入滤波电容C1时的输出波形 (b)接入滤波电容C1时的输出波形

(c)电容为47μF、负载为10kΩ时的输出波形 (d)电容为100μF、负载为10kΩ时的输出波形
图13.7-2 单相桥式整流滤波电路的输出波形
13.7.2 串联线性稳压电路
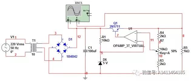
串联稳压是指稳压元件(调整三极管)与负载串联的稳压电路,图13.7-3是串联线性稳压电路,稳压管取自Diodes组的DIODES_VIRTUAL中的ZENER_VIRTUAL,可修改稳压值;调整三极管的选择要确保最大耗散功率满足要求(一般不小于2W),并保证电流输出能力(对应最小输出电压);取样电阻取千欧级以降低功耗。

图13.7-3 串联线性稳压电路
图13.7-4是串联线性稳压电路的输入、输出波形,示波器上部的波形是串联稳压电路输入电压信号,可见存在电压纹波,下部的波形是串联稳压电路的输出电压信号,几乎是理想的直流电压。
调整取样电位器,可以调整输出电压的幅值,获得一定可调范围的直流输出电压。

图13.7-4 串联线性稳压电路输入、输出波形