????欢迎来到本博客❤️❤️??
?博主优势:???博客内容尽量做到思维缜密,逻辑清晰,为了方便读者。
⛳️座右铭:行百里者,半于九十。
???本文目录如下:???
目录
?1 概述
参考文献:


分布式发电机 (DG) 的日益普及加剧了主动配电网 (ADN) 中电压违规的风险。传统的稳压装置受物理约束,在DG波动频繁时,难以满足实时电压和VAR控制(VVC)的高精度要求。然而,软开点(SOP)是一种柔性电力电子器件,可以作为连续无功电源来实现快速电压调节。考虑SOP与多调节器件的协同作用,提出一种基于SOP的ADNs协调VVC方法。首先,建立协调VVC的时间序列模型,以最大限度地降低运行成本并消除ADN的电压违规。然后,通过应用线性化和圆锥松弛,将原有的非凸混合整数非线性优化模型转换为混合整数二阶锥规划模型,可以高效求解,满足调压快速的要求。通过对IEEE 33节点系统和IEEE 123节点系统进行了算例分析,验证了所提方法的有效性。
可再生能源是能源体系的重要组成部分,具有资源分布广、开发潜力大、环境影响小、可持续利
用的特点,是有利于人与自然和谐发展的能源资源。开发和利用可再生能源已成为我国应对日益严
峻的能源环境问题的必由之路,并且在智能电网的建设中始终发挥着重要作用。目前,可再生能源的接入主要包括集中式接入和分布式接入。可以预见,未来在配电系统层面可再生能源的利用将更多的是通过分布式的方式广泛、高密度地接入配电网,并扮演越来越重要的角色[1]。
分布式发电机(DG)形式的可再生能源已被整合到配电中 近年来网络急剧增加[1]。随着渗透率的提高 DG,分销网络从结构到运营模式都发生了巨大变化[2],[3]。分销网络是 逐步从被动网络转变为包含能源作用的主动配电网(ADN) 收集,传输,存储和分发[4]。挥发性危险品和 各种需求侧资源开始参与ADN的管理,使操作更加复杂和 具有挑战性 [5]。具体而言,间歇性资源包括风 涡轮机和太阳能光伏发电,以及电动汽车等可控负载在 空间和时间分布,经常导致馈线功率和电压违规的急剧波动[6]。这些干扰会导致更多的电压和VAR控制(VVC)问题[7],增加工作损耗,甚至导致ADN的稳定性问题[8]。
电压违规可以通过调度各种VAR设备来缓解。在当前的分销网络中, VVC主要通过对有载分接开关(OLTC)等一次设备的调节来实现, 可切换电容器组 (CB) 和并联开关,以及可调度 DG 的直接调度 [9]。作为OLTC的常规抽头调整,CB和 并联开关的重新配置受到响应缓慢和离散电压调节的限制,难以 当 DG 和负载在 ADN 中频繁波动时,满足高精度实时 VVC 的要求 [10]。此外,受不稳定的产出和所有权的限制,许多分散 对于配电系统运营商(DSO)来说,危险品仍处于难以控制的状态。调节能力 的 DG 无法支持集中操作优化。
电力电子技术的快速发展为ADN的进一步优化提供了机会 操作。在配电层面,软开点(SOP)是一种具有高可控性的电力电子器件 安装以取代常开点(NOP),实现馈线之间的灵活连接[11]。与传统的低响应VAR调节设备相比 时间,SOP可以精确实现实时有功无功潮流控制和连续电压 正常操作中的调节[12]。同时,由于隔离 直流母线和电流的瞬时控制,SOP可以有效地促进故障隔离和供电 恢复ADN[13]。考虑到有限的能力和相对 SOP投资高,传统的VAR稳压装置短期内可能无法完全取代。因此 实现ADN中SOP与其他稳压装置的协调具有重要意义[14]。
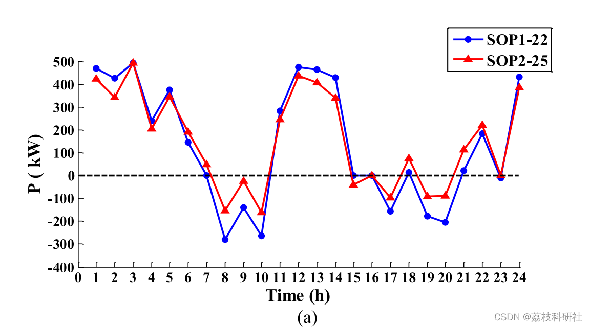
?2 运行结果


原文图:


复现结果图:



?3 参考文献
部分理论来源于网络,如有侵权请联系删除。
[1]P. Li et al., "Coordinated Control Method of Voltage and Reactive Power for Active Distribution Networks Based on Soft Open Point," in IEEE Transactions on Sustainable Energy, vol. 8, no. 4, pp. 1430-1442, Oct. 2017, doi: 10.1109/TSTE.2017.2686009.
[2]王成山,宋关羽,李鹏等.考虑分布式电源运行特性的有源配电网智能软开关SOP规划方法[J].中国电机工程学报,2017,37(07):1889-1897.DOI:10.13334/j.0258-8013.pcsee.152649.
