最陡下降法、LMS算法、RLS算法及其对比
1、最陡下降算法公式:
是真实梯度,梯度公式中含有数学期望,不易求得。
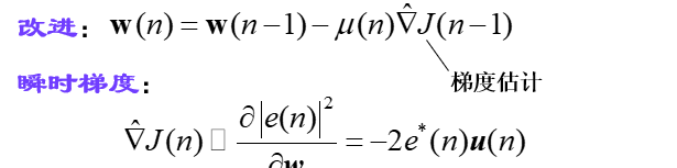
LMS算法算法公式:

其中J(n)是梯度估计。
2、最陡下降算法搜索方向为梯度负方向,每一步更新都使目标函数值减小(“最陡下降含义”)
LMS算法搜索方向为瞬时梯度负方向,不保证每一步更新都使目标函数值减小,但总趋势使目标函数值减小。
3、算法要求角度:
梯度下降法要求:同时间不的梯度向量(搜索方向)线性独立
LMS算法的独立性要求:
要求不同时间的输入信号向量线性独立
4、RLS算法在权向量的更新方程中,比LMS算法多了迭代矩阵P(n),而该矩阵可看作代价函数二阶导数矩阵的近似逆矩阵,因此RLS收敛速度快于LMS算法,但代价是计算量比LMS大很多。
版权声明:本文为qq_42005540原创文章,遵循CC 4.0 BY-SA版权协议,转载请附上原文出处链接和本声明。