这一段时间写毕业设计,遇到一些大数据的情况,想起之前和同学讨论的最优算法,写一下相关思路。
在1000万整数中寻找最大的100个数,最优的算法是建一个大小为100的小顶堆(堆排序需要建立完全二叉树),先取出前100个数并构建小顶堆,然后遍历数据与小顶堆的堆顶相比,比堆顶小直接丢弃,比堆顶大则替换堆顶,并重新构建这个堆。
堆排序
先介绍一下完全二叉树:除了最后一层之外的其他每一层都被完全填充,并且所有结点都保持向左对齐

堆排序:堆排序是将数据看成是完全二叉树、根据完全二叉树的特性来进行排序的一种算法
- 最小堆要求节点元素都不大于其左右孩子
- 那么处于最小堆的根节点的元素一定是这个堆中的最小值
模拟一次最小堆排序的过程:
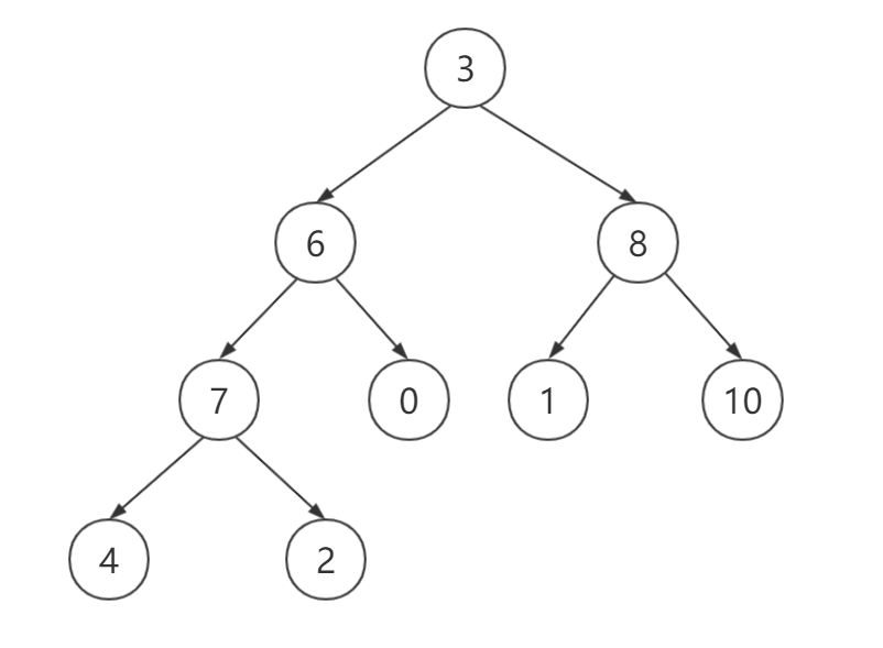
假如有
int[] arr = new int[]{3,6,8,7,0,1,10,4,2};第一步:建立完全二叉树

从上图可以看出,第n个节点的左子节点为2*n+1,右子节点为2*n+2
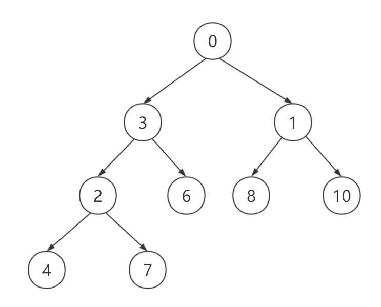
第二步:从 arr.length/2 - 1 就是最后一个叶子节点的父节点开始,比较其左右子节点,找到最小的,并与其交换,一直到根节点:





这样一个最小堆就建立完成。
相关代码(java):
/**
* 建堆
*
* @param arr 看作是完全二叉树
* @param currentNode 当前父节点位置
* @param size 节点总数
*/
public class HeapSortTest {
public static void main(String[] args) {
int[] arr = new int[]{3,6,8,7,0,1,10,4,2};
int start = arr.length/2 -1;
for (int i = start; i >= 0 ; i--){
minHeap(arr, arr.length, i);
}
System.out.println(Arrays.toString(arr));
}
public static void minHeap(int []arr, int size, int currentNode){
//左子树和右字数的位置
int leftNode = currentNode * 2 + 1;
int rightNode = currentNode * 2 + 2;
//把当前父节点位置看成是最小的
int min = currentNode;
//比较左右节点
if (leftNode < size && arr[leftNode] < arr[min]){
max = leftNode;
}
if (rightNode < size && arr[rightNode] < arr[min]){
max = rightNode;
}
//如果比父节点小,就交换
if (min != currentNode){
int temp = arr[min];
arr[min] = arr[currentNode];
arr[currentNode] = temp;
//继续比较,直到完成一次建堆
minHeap(arr, size, min);
}
}
}
对于1000万个数:
public static int N = 100; //Top100
public static int LEN = 10000000; //1千万个整数
public static int arrs[] = new int[LEN];
public static int result[] = new int[N]; //在内存维护一个长度为N的小顶堆
public static int len = result.length;
//堆中元素的有效元素 heapSize<=len
public static int heapSize = len;
public static void main(String[] args) {
//生成随机数组
for(int i = 0;i<LEN;i++){
arrs[i] = new Random().nextInt(999999999);
}
//构建初始堆
for(int i = 0;i<N;i++){
result[i] = arrs[i];
}
//构建小顶堆
long start =System.currentTimeMillis();
buildMinHeap();
for(int i = N;i<LEN;i++){
if(arrs[i] > result[0]){
result[0] = arrs[i];
minHeap(arrs, N, 0);
}
}
System.out.println(LEN+"个数,求Top"+N+",耗时"+(System.currentTimeMillis()-start)+"毫秒");
print();
}
/**
* 自底向上构建小堆
*/
public static void buildMinHeap(){
int size = len / 2 -1 ; //最后一个非叶子节点
for(int i = size;i>=0;i--){
minHeap(arrs, N, i);
}
一次堆排序重整的时间复杂度:logn (第一次建堆是从下到上,重整堆是从上到下,每次数据替换时,最差情况是堆顶数据为最大,依次向下比较交换,直到叶子节点,比较交换次数为logn 即为构建二叉树层数)。
最差情况为每次都替换,即时间复杂度为10000000*log100
版权声明:本文为cmcsd131原创文章,遵循CC 4.0 BY-SA版权协议,转载请附上原文出处链接和本声明。