深度学习 with Python(一)矩阵基础知识
基础运算跟着这篇文章练习一下。
https://www.cnblogs.com/moon1992/p/4960700.html#_label0
一、矩阵基础知识
1.1 矩阵乘法
AB != BA
1.2 矩阵转置

1.2.1 转置矩阵的性质
(A+B)T=AT+BT
K(AT)=(KA)T
(AB)T=BT*AT 顺序要反一下
1.3 矩阵的迹
矩阵的迹就是主对角元素之和,使用trace()函数获得矩阵的迹
性质:trace(ab)=trace(a)+trace(b)
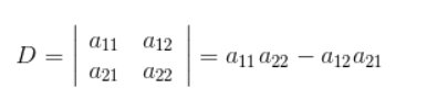
1.4 矩阵的行列式计算
矩阵的行列式为主对角线元素积与副对角线元素积的差,记作 det(A) 或 |A|。
1.4.1 二阶矩阵


1.4.2 三阶矩阵

1.5 逆矩阵A-1和伴随矩阵A*
若A存在逆矩阵(满足det(A) != 0,或者A满秩),使用linalg.inv求得方阵A的逆矩阵。


np.linalg.inv函数求得矩阵的精度太高,加继续调用np.round函数保留10位小数得到逆矩阵的近似值。验证A-1A=I
伴随矩阵A=A-1 * det(A)
逆矩阵的性质
1.6 矩阵的秩和奇异矩阵
化成行最简形(或行阶梯形),然后数一下非零行数,通常表示为r(A)或Rank(A)。
对A(m *n),若 R(A)=m,称A为行满秩矩阵;
若R(A)=n,称A为列满秩矩阵。
对A(n *n)若R(A)=n,称A为满秩矩阵(可逆矩阵,非奇异矩阵);
若R(A)<n,称A为降秩矩阵(不可逆矩阵,奇异矩阵)。
判断是否为奇异矩阵:1 若行数和列数不相等,那就谈不上奇异矩阵和非奇异矩阵;2 再看此矩阵的行列式|A|是否等于0,若等于0,称矩阵A为奇异矩阵;若不等于0,称矩阵A为非奇异矩阵。
同时,由|A|≠0可知矩阵A可逆,这样可以得出另外一个重要结论:可逆矩阵就是非奇异矩阵,非奇异矩阵也是可逆矩阵;如果A为奇异矩阵,则AX=0有无穷解,AX=b有无穷解或者无解。如果A为非奇异矩阵,则AX=0有且只有唯一零解,AX=b有唯一解。
使用np.linalg.matrix_rank()函数
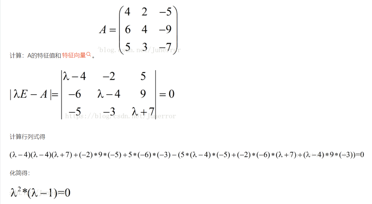
1.7 矩阵的特征值和特征向量
Ax = λx,λ为特征值x为特征向量。
例子计算看这篇链接https://blog.csdn.net/Junerror/article/details/80222540
使用np.linalg.eig()函数
1.8 判断是否为正定矩阵
设M是n阶方阵,如果对任何非零向量z,都有zTMz> 0,其中zT 表示z的转置,就称M正定矩阵。
判定定理1:对称阵A为正定的充分必要条件是:A的特征值全为正。
判定定理2:对称阵A为正定的充分必要条件是:A的各阶顺序主子式都为正。
判定定理3:任意阵A为正定的充分必要条件是:A合同于单位阵。
1.8.1 A的特征值全为正

#创建矩阵
import numpy as np
a=np.mat([[1,2,3],[3,4,5],[6,7,8]])
b=np.mat([[5,4,2],[1,7,9],[0,4,5]])
#创建单位阵
c=np.eye(3)
a*b
b*a
#转置
a.T
b.T
(a+b).T=a.T+b.T
10*(a.T) =(10*a).T
(a*b).T=(b.T)*(a.T)
#矩阵的迹
np.trace(a)
np.trace(b)
np.trace(a+b)=np.trace(a)+np.trace(b)
#矩阵的行列式
A=np.mat([[1,2],[1,3]])
np.linalg.det(A)
np.linalg.det(a)
#方阵的逆矩阵和伴随矩阵
'%.3f' % (1.23456,)
import numpy as np
A=np.mat([[1,-2,1],[0,2,-1],[1,1,-2]])
A_det=np.linalg.det(A)#不为det(A)不为0,A才有逆矩阵
A_inverse=np.linalg.inv(A)#A的逆矩阵
np.round(A_inverse,10)
A_inverse*A
A_companion = A_inverse * A_det#A的伴随矩阵
np.round(A_companion,10)
#矩阵的秩
b=np.eye(4)
np.linalg.matrix_rank(b)
b[0,0]=0
np.linalg.matrix_rank(b)
#特征值和特征向量
x,y = np.linalg.eig(b)#x是特征值,y为特征向量
x
y
#判断是否为正定矩阵
#定理1 A的特征值全为正
import numpy as np
A = np.arange(16).reshape(4, 4)
A
A = A + A.T #将方阵转换成对称阵
A
B = np.linalg.eigvals(A)#求B的特征值,注意:eig()是求特征值和特征向量
B
if np.all(B>0): #判断是不是所有的特征值都大于0,用到了all函数,显然对称阵A不是正定的
print ('Yes')
else:
print ('No')