目录
- 例题六
- 例6.14 设f ( x ) f(x)f(x)在闭区间[ 0 , c ] [0,c][0,c]上连续,其导数f ′ ( x ) f'(x)f′(x)在开区间( 0 , c ) (0,c)(0,c)内存在且单调减少,又f ( 0 ) = 0 f(0)=0f(0)=0,试应用拉格朗日中值定理证明不等式f ( a + b ) ⩽ f ( a ) + f ( b ) f(a+b)\leqslant f(a)+f(b)f(a+b)⩽f(a)+f(b),其中常数a , b a,ba,b满足条件0 ⩽ a ⩽ b ⩽ a + b ⩽ c 0\leqslant a\leqslant b\leqslant a+b\leqslant c0⩽a⩽b⩽a+b⩽c。
- 例6.15 设f ( x ) f(x)f(x)在( a , b ) (a,b)(a,b)内二阶可导,且f ′ ′ ( x ) > 0 f''(x)>0f′′(x)>0,证明对于任意的x 1 , x 2 ∈ ( a , b ) x_1,x_2\in(a,b)x1,x2∈(a,b),且x 1 ≠ x 2 x_1\ne x_2x1=x2及λ ( 0 < λ < 1 ) \lambda(0<\lambda<1)λ(0<λ<1),恒有f [ λ x 1 + ( 1 − λ ) x 2 ] < λ f ( x 1 ) + ( 1 − λ ) f ( x 2 ) f[\lambda x_1+(1-\lambda)x_2]<\lambda f(x_1)+(1-\lambda)f(x_2)f[λx1+(1−λ)x2]<λf(x1)+(1−λ)f(x2)。
- 习题六
- 新版例题六
- 新版习题六
- 写在最后
例题六
例6.14 设f ( x ) f(x)f(x)在闭区间[ 0 , c ] [0,c][0,c]上连续,其导数f ′ ( x ) f'(x)f′(x)在开区间( 0 , c ) (0,c)(0,c)内存在且单调减少,又f ( 0 ) = 0 f(0)=0f(0)=0,试应用拉格朗日中值定理证明不等式f ( a + b ) ⩽ f ( a ) + f ( b ) f(a+b)\leqslant f(a)+f(b)f(a+b)⩽f(a)+f(b),其中常数a , b a,ba,b满足条件0 ⩽ a ⩽ b ⩽ a + b ⩽ c 0\leqslant a\leqslant b\leqslant a+b\leqslant c0⩽a⩽b⩽a+b⩽c。
证 当a = 0 a=0a=0时,由f ( 0 ) = 0 f(0)=0f(0)=0知f ( a + b ) = f ( b ) = f ( a ) + f ( b ) f(a+b)=f(b)=f(a)+f(b)f(a+b)=f(b)=f(a)+f(b);
当a > 0 a>0a>0时,在[ 0 , a ] [0,a][0,a]和[ b , a + b ] [b,a+b][b,a+b]上分别应用拉格朗日中值定理,有
f ′ ( ξ 1 ) = f ( a ) − f ( 0 ) a − 0 = f ( a ) a , ξ 1 ∈ ( 0 , a ) , f ′ ( ξ 2 ) = f ( a + b ) − f ( b ) ( a + b ) − b = f ( a + b ) − f ( b ) a , ξ 2 ∈ ( b , a + b ) . f'(\xi_1)=\cfrac{f(a)-f(0)}{a-0}=\cfrac{f(a)}{a},\xi_1\in(0,a),\\ f'(\xi_2)=\cfrac{f(a+b)-f(b)}{(a+b)-b}=\cfrac{f(a+b)-f(b)}{a},\xi_2\in(b,a+b).f′(ξ1)=a−0f(a)−f(0)=af(a),ξ1∈(0,a),f′(ξ2)=(a+b)−bf(a+b)−f(b)=af(a+b)−f(b),ξ2∈(b,a+b).
显然0 < ξ 1 < a ⩽ b < ξ 2 < a + b ⩽ c 0<\xi_1<a\leqslant b<\xi_2<a+b\leqslant c0<ξ1<a⩽b<ξ2<a+b⩽c,因f ′ ( x ) f'(x)f′(x)在( 0 , c ) (0,c)(0,c)内单调减少,故f ′ ( ξ 2 ) ⩽ f ′ ( ξ 1 ) f'(\xi_2)\leqslant f'(\xi_1)f′(ξ2)⩽f′(ξ1),从而有f ( a + b ) − f ( b ) a ⩽ f ( a ) a \cfrac{f(a+b)-f(b)}{a}\leqslant\cfrac{f(a)}{a}af(a+b)−f(b)⩽af(a),因为a > 0 a>0a>0,所以有f ( a + b ) ⩽ f ( a ) + f ( b ) f(a+b)\leqslant f(a)+f(b)f(a+b)⩽f(a)+f(b)。(这道题主要利用了拉格朗日中值定理求解)
例6.15 设f ( x ) f(x)f(x)在( a , b ) (a,b)(a,b)内二阶可导,且f ′ ′ ( x ) > 0 f''(x)>0f′′(x)>0,证明对于任意的x 1 , x 2 ∈ ( a , b ) x_1,x_2\in(a,b)x1,x2∈(a,b),且x 1 ≠ x 2 x_1\ne x_2x1=x2及λ ( 0 < λ < 1 ) \lambda(0<\lambda<1)λ(0<λ<1),恒有f [ λ x 1 + ( 1 − λ ) x 2 ] < λ f ( x 1 ) + ( 1 − λ ) f ( x 2 ) f[\lambda x_1+(1-\lambda)x_2]<\lambda f(x_1)+(1-\lambda)f(x_2)f[λx1+(1−λ)x2]<λf(x1)+(1−λ)f(x2)。
证 记x = λ x 1 + ( 1 − λ ) x 2 x=\lambda x_1+(1-\lambda)x_2x=λx1+(1−λ)x2,不妨设x 1 < x 2 x_1<x_2x1<x2,则有x 1 < x < x 2 x_1<x<x_2x1<x<x2。
由拉格朗日中值定理
f ( x ) − f ( x 1 ) = f ′ ( ξ 1 ) ( x − x 1 ) = f ′ ( ξ 1 ) ( 1 − λ ) ( x 2 − x 1 ) , x 1 < ξ 1 < x , ( 1 ) f ( x 2 ) − f ( x ) = f ′ ( ξ 2 ) ( x 2 − x ) = f ′ ( ξ 2 ) λ ( x 2 − x 1 ) , x < ξ 2 < x 2 , ( 2 ) f(x)-f(x_1)=f'(\xi_1)(x-x_1)=f'(\xi_1)(1-\lambda)(x_2-x_1),x_1<\xi_1<x,(1)\\ f(x_2)-f(x)=f'(\xi_2)(x_2-x)=f'(\xi_2)\lambda(x_2-x_1),x<\xi_2<x_2,(2)f(x)−f(x1)=f′(ξ1)(x−x1)=f′(ξ1)(1−λ)(x2−x1),x1<ξ1<x,(1)f(x2)−f(x)=f′(ξ2)(x2−x)=f′(ξ2)λ(x2−x1),x<ξ2<x2,(2)
由λ ∗ ( 1 ) − ( 1 − λ ) ∗ ( 2 ) \lambda*(1)-(1-\lambda)*(2)λ∗(1)−(1−λ)∗(2),得
f ( x ) − λ f ( x 1 ) − ( 1 − λ ) f ( x 2 ) = λ ( 1 − λ ) ( x 2 − x 1 ) [ f ′ ( ξ 1 ) − f ′ ( ξ 2 ) ] = λ ( 1 − λ ) ( x 2 − x 1 ) f ′ ′ ( ξ ) ( ξ 1 − ξ 2 ) . \begin{aligned} f(x)-\lambda f(x_1)-(1-\lambda)f(x_2)&=\lambda(1-\lambda)(x_2-x_1)[f'(\xi_1)-f'(\xi_2)]\\ &=\lambda(1-\lambda)(x_2-x_1)f''(\xi)(\xi_1-\xi_2). \end{aligned}f(x)−λf(x1)−(1−λ)f(x2)=λ(1−λ)(x2−x1)[f′(ξ1)−f′(ξ2)]=λ(1−λ)(x2−x1)f′′(ξ)(ξ1−ξ2).
其中ξ 1 < ξ < ξ 2 \xi_1<\xi<\xi_2ξ1<ξ<ξ2,又f ′ ′ ( ξ ) > 0 , λ ( 1 − λ ) > 0 , x 2 − x 1 > 0 , ξ 1 − ξ 2 < 0 f''(\xi)>0,\lambda(1-\lambda)>0,x_2-x_1>0,\xi_1-\xi_2<0f′′(ξ)>0,λ(1−λ)>0,x2−x1>0,ξ1−ξ2<0,所以上式有
f ( x ) − λ f ( x 1 ) − ( 1 − λ ) f ( x 2 ) < 0. f(x)-\lambda f(x_1)-(1-\lambda)f(x_2)<0.f(x)−λf(x1)−(1−λ)f(x2)<0.
即
f [ λ x 1 + ( 1 − λ ) x 2 ] < λ f ( x 1 ) + ( 1 − λ ) f ( x 2 ) . f[\lambda x_1+(1-\lambda)x_2]<\lambda f(x_1)+(1-\lambda)f(x_2).f[λx1+(1−λ)x2]<λf(x1)+(1−λ)f(x2).
(这道题主要利用了主要利用了拉格朗日中值定理求解)
习题六
6.6 证明:( ln 1 + x x − 1 1 + x ) 2 < 1 x ( 1 + x ) 2 \left(\ln\cfrac{1+x}{x}-\cfrac{1}{1+x}\right)^2<\cfrac{1}{x(1+x)^2}(lnx1+x−1+x1)2<x(1+x)21。
证 只要证当x > 0 x>0x>0时,∣ ln 1 + x x − 1 1 + x ∣ − 1 x ( 1 + x ) < 0 \left|\ln\cfrac{1+x}{x}-\cfrac{1}{1+x}\right|-\cfrac{1}{\sqrt{x}(1+x)}<0∣∣∣∣∣lnx1+x−1+x1∣∣∣∣∣−x(1+x)1<0即可。
令f ( x ) = ln 1 + x x − 1 1 + x = ln ( 1 + x ) − ln x − 1 1 + x f(x)=\ln\cfrac{1+x}{x}-\cfrac{1}{1+x}=\ln(1+x)-\ln x-\cfrac{1}{1+x}f(x)=lnx1+x−1+x1=ln(1+x)−lnx−1+x1,则
f ′ ( x ) = 1 1 + x − 1 x + 1 ( 1 + x ) 2 = ( 1 + x ) x − ( 1 + x ) 2 + x x ( 1 + x ) 2 = − 1 x ( 1 + x ) 2 < 0. \begin{aligned} f'(x)&=\cfrac{1}{1+x}-\cfrac{1}{x}+\cfrac{1}{(1+x)^2}\\ &=\cfrac{(1+x)x-(1+x)^2+x}{x(1+x)^2}\\ &=\cfrac{-1}{x(1+x)^2}<0. \end{aligned}f′(x)=1+x1−x1+(1+x)21=x(1+x)2(1+x)x−(1+x)2+x=x(1+x)2−1<0.
又lim x → + ∞ f ( x ) = 0 \lim\limits_{x\to+\infty}f(x)=0x→+∞limf(x)=0,所以f ( x ) > 0 f(x)>0f(x)>0。
令g ( x ) = ln 1 + x x − 1 1 + x − 1 x ( 1 + x ) g(x)=\ln\cfrac{1+x}{x}-\cfrac{1}{1+x}-\cfrac{1}{\sqrt{x}(1+x)}g(x)=lnx1+x−1+x1−x(1+x)1,则
g ′ ( x ) = 1 1 + x − 1 x + 1 ( 1 + x ) 2 + 1 2 x ⋅ ( 1 + x ) + x x ( 1 + x ) 2 = − 2 x + ( 1 + x ) + 2 x 2 x 3 2 ( 1 + x ) 2 = 1 + 3 x − 2 x 2 x 3 2 ( 1 + x ) 2 . \begin{aligned} g'(x)&=\cfrac{1}{1+x}-\cfrac{1}{x}+\cfrac{1}{(1+x)^2}+\cfrac{\cfrac{1}{2\sqrt{x}}\cdot(1+x)+\sqrt{x}}{x(1+x)^2}\\ &=\cfrac{-2\sqrt{x}+(1+x)+2x}{2x^{\frac{3}{2}}(1+x)^2}=\cfrac{1+3x-2\sqrt{x}}{2x^{\frac{3}{2}}(1+x)^2}. \end{aligned}g′(x)=1+x1−x1+(1+x)21+x(1+x)22x1⋅(1+x)+x=2x23(1+x)2−2x+(1+x)+2x=2x23(1+x)21+3x−2x.
再令h ( x ) = 1 + 3 x − 2 x h(x)=1+3x-2\sqrt{x}h(x)=1+3x−2x,则h ′ ( x ) = 3 − 1 x = 0 h'(x)=3-\cfrac{1}{\sqrt{x}}=0h′(x)=3−x1=0,得x = 1 9 x=\cfrac{1}{9}x=91,为唯一极小值点,也即最小值点,且h min = 2 3 > 0 h_{\min}=\cfrac{2}{3}>0hmin=32>0,故h ( x ) > 0 h(x)>0h(x)>0,于是g ′ ( x ) > 0 g'(x)>0g′(x)>0,即g ( x ) g(x)g(x)单调增加,且lim x → + ∞ g ( x ) = 0 \lim\limits_{x\to+\infty}g(x)=0x→+∞limg(x)=0,所以g ′ ( x ) < 0 g'(x)<0g′(x)<0。(这道题主要利用了构造函数的方法求解)
新版例题六
例6.3

例6.4


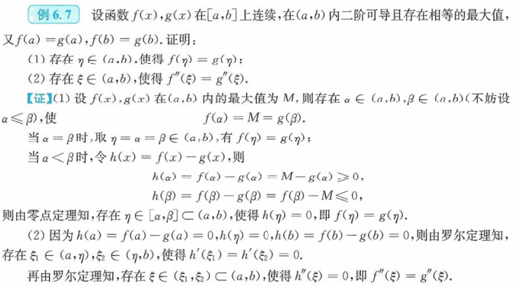
例6.7

例6.12


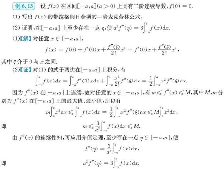
例6.13

例6.14


例6.27

新版习题六
6.14


6.15


写在最后
如果觉得文章不错就点个赞吧。另外,如果有不同的观点,欢迎留言或私信。
欢迎非商业转载,转载请注明出处。