幂级数收敛
幂级数收敛求收敛半径一般是lim n → ∞ a n + 1 a n = p , r = 1 p \lim\limits_{n\to\infty}\frac{a_{n+1}}{a_{n}}=p,r=\frac{1}{p}n→∞limanan+1=p,r=p1或者开n次以后求极限。
但是对于抽象幂级数,可能先凑出一个半径,然后用幂级数性质说明

x=1的时候条件收敛,若x>1也收敛,则阿贝尔定理可知,x=1处绝对收敛,矛盾
第二题看起来用求和函数的方法可以处理,但是最后还是无法下手。
应该运用逐项求导,收敛区间不变的性质,直接得到收敛区间
有三角的无穷积分,也可能变成1到无穷的求和,每一个求和里是n π n\pinπ到( n + 1 ) π (n+1)\pi(n+1)π就行了
数列的收敛
开方(柯西判别法)放缩(优级数判别法)比式判别法,莱布尼茨判别法(正负),阿贝尔判别法(数列单调有界,级数收敛),狄利克雷判别法(数列单调趋于0,级数有界)

A.a n a_nan单调有界,由阿贝尔判别法,要求级数收敛。但是1/n级数发散
B.莱布尼茨判别法条件是:单调趋于0,所以这个不收敛
C.an单调有界,所以有极限,求和以后收敛
D.提出an,然后放缩求和,发现收敛(但是重点是没说是正项数列,所以不能放缩)
注意没说正项级数要小心
反常积分
- 首先看瑕点
- 首先乘x p x^pxp然后根据x的幂次和p的大小分类,找出p的范围,如果不是x的幂次,那就考虑影响最大的部分
| 类型 | 收敛条件 |
|---|---|
| 无穷积分 | p>1,x p f ( x ) x^pf(x)xpf(x)在无穷点有界(就是x的幂次<0) |
| 瑕积分 | p<1,x p f ( x ) x^pf(x)xpf(x)在瑕点有界(就是x的幂次>0) |
- sin什么的放缩掉:x趋于无穷的时候放缩成1,x趋于0的时候放缩成x,如果发散放缩成sin 2 \sin^2sin2,然后倍角公式

首先乘x p x^pxp,发现不是直接是x的幂次,那么瑕积分的时候,( 1 + x ) b (1+x)^b(1+x)b根本没什么用,可以不管
就是x p − a x^{p-a}xp−a,收敛条件是p-a>0,p<1,结果是a<1,然后无穷积分的时候,( 1 + x ) b (1+x)^b(1+x)b变成了x b x^bxb,就是p-a-b<0,p>1,结果就是a+b>1
隐函数组部分
1. 换微分变量
只能换一阶的微分方程,大于一阶的先算出一阶的,然后找关系,再在关系的基础上再次求导。比如本来有关于f x ( x , y ) , f y ( x , y ) f_x(x,y),f_y(x,y)fx(x,y),fy(x,y)的式子,要求换成u ( x , y ) , v ( x , y ) u(x,y),v(x,y)u(x,y),v(x,y)为变量的,则将原式对x , y x,yx,y进行求导,然后解出f v , f u f_v,f_ufv,fu的关系即可。
最好先计算一下雅可比行列式,看看是否可逆(不为0就是可逆)
对于某个变量的一阶偏导仍然是二元函数,对它求导的时候和对原函数求导是相同的
(1)这个例子是一阶最常见形式

(2) 这个例子是二阶的形式
需要注意的是,对于ϕ u , ϕ v \phi_u,\phi_vϕu,ϕv仍然是u , v u,vu,v的函数,对x , t x,tx,t求导的时候会出现四个部分

(3)一个一阶的式子

2.隐函数成立的条件
条件有4个,结果是确定唯一连续的隐函数,添加上最后一个条件,存在连续的导函数:
- 函数F ( x , y ) F(x,y)F(x,y)连续
- F ( x 0 , y 0 ) = 0 F(x_0,y_0)=0F(x0,y0)=0
- 某一个偏导数F x ( x , y ) F_x(x,y)Fx(x,y)连续
- F x ( x 0 , y 0 ) ≠ 0 F_x(x_0,y_0)\ne 0Fx(x0,y0)=0
- F y F_yFy连续
例题(1):看起来就很复杂,其实分析一下就知道是隐函数的题。注意到是,对含变量的积分另一个变量求导,可以先求导再积分
请证明:存在⼀个可微函数y = f ( x ) y= f(x)y=f(x),满足∫ 0 y ln ( 1 + x u ) 1 + u 2 d u = y \int_0^y\frac{\ln(1+xu)}{1+u^2}du=y∫0y1+u2ln(1+xu)du=y, 并给出 f ′ ( x ) f'(x)f′(x).
泰勒公式

积分计算部分
1. 计算二维曲线积分
二维的曲线积分如果已知路径用换元做
出现没有给定路径的曲线积分一般要用到green公式:∬ D ( ∂ Q ∂ x − ∂ P ∂ y ) d x d y = ∫ ϕ P d x + Q d y \iint\limits_D(\frac{\partial Q}{\partial x}-\frac{\partial P}{\partial y})dxdy=\int\limits_{\phi}{Pdx+Qdy}D∬(∂x∂Q−∂y∂P)dxdy=ϕ∫Pdx+Qdy
格林公式不要背错了
如果曲线不封闭,必须将其补成封闭的才可以
补上去的第二型曲线积分可以用换元法来做
(1)补上的部分正常用换元做

(2)没有告诉积分路径,很明显用green公式做。只要公式别背错。
(3)green公式的利用

2.计算三维曲线积分
- 如果可以参数化的话也可以选择参数化。
- 一般用斯托克斯公式(就是三维的green公式)对曲线的要求也是闭合。∬ S ∣ d y d z d x d z d x d y ∂ ∂ x ∂ ∂ y ∂ ∂ z P Q R ∣ = ∮ L P d x + Q d y + R d z \iint\limits_S\begin{vmatrix}dydz&dxdz&dxdy\\\frac{\partial}{\partial x}&\frac{\partial}{\partial y}&\frac{\partial}{\partial z}\\P&Q&R\end{vmatrix}=\oint\limits_LPdx+Qdy+RdzS∬∣∣∣∣∣∣dydz∂x∂Pdxdz∂y∂Qdxdy∂z∂R∣∣∣∣∣∣=L∮Pdx+Qdy+Rdz
- 之后可以参照如何计算曲面积分,注意曲面的侧正负由曲线的方向用右手法则确定
例题(1) 很细节的地方在与其中的一部分由于积分区域是0所以结果是0,中间一部分由于积分区域关于x xx对称,所以积分结果是0 00,注意高次三角函数怎么计算的,二元积分用极坐标换元的时候注意r rr不要忘记了

这是第二种做法,更加常用一点
积分区域表示的只是积分变量的范围,当积分变量改变时,积分区域的表示方式也改变

例题(2)
设?为上半球⾯x 2 + y 2 + z 2 = 4 , z ≥ 0 x^2 + y^2 + z^2 = 4,z\ge 0x2+y2+z2=4,z≥0 在柱面 x 2 + y 2 = 2 x x^2 + y^2 = 2xx2+y2=2x内的部分,L LL 为其外侧的正向边界,计算曲线积分 ∮ L ( y 2 + z 2 ) d x + ( z 2 + x 2 ) d y + ( x 2 + y 2 ) d z \oint_L\limits(y^2+z^2)dx + (z^2 + x^2)dy + (x^2 + y^2)dzL∮(y2+z2)dx+(z2+x2)dy+(x2+y2)dz
由于这个具有高度对称性,所以可以用另一种方法,即转化为第一型曲线积分的方法做。先计算出曲面的方向余弦,就是三个偏导再单位化一下,正负根据曲面的侧来确定,然后用斯托克斯公式转化成第二型曲面积分,然后转为第一型,转化方法为d y d z = d s cos α , d x d z = d s cos β , d x d y = cos γ dydz=ds\cos\alpha,dxdz=ds\cos\beta,dxdy=\cos\gammadydz=dscosα,dxdz=dscosβ,dxdy=cosγ,结果约为0

3. 计算曲面积分
- 首先看每一项是不是0 00,比如P d y d z PdydzPdydz,需要考察正负的东西有两个:P PP在该点的正负和该点处曲线的法向量是不是和正方向相同。考察关于y z yzyz对称的两点,看看能不能抵消掉。
- 如果有些项不能抵消掉,那么可以把P ( x , y , z ) d y d z P(x,y,z)dydzP(x,y,z)dydz中x xx(如果有的话)用y , z y,zy,z换掉,然后直接在y z yzyz投影上计算。
- 另外注意的是积分∬ D x y x d x d y \iint\limits_{D_{xy}}xdxdyDxy∬xdxdy如果D x y D_{xy}Dxy关于y yy轴左右对称,那么结果就是0 00,d x d y dxdydxdy算的是面积的积分,怎么算都是正的
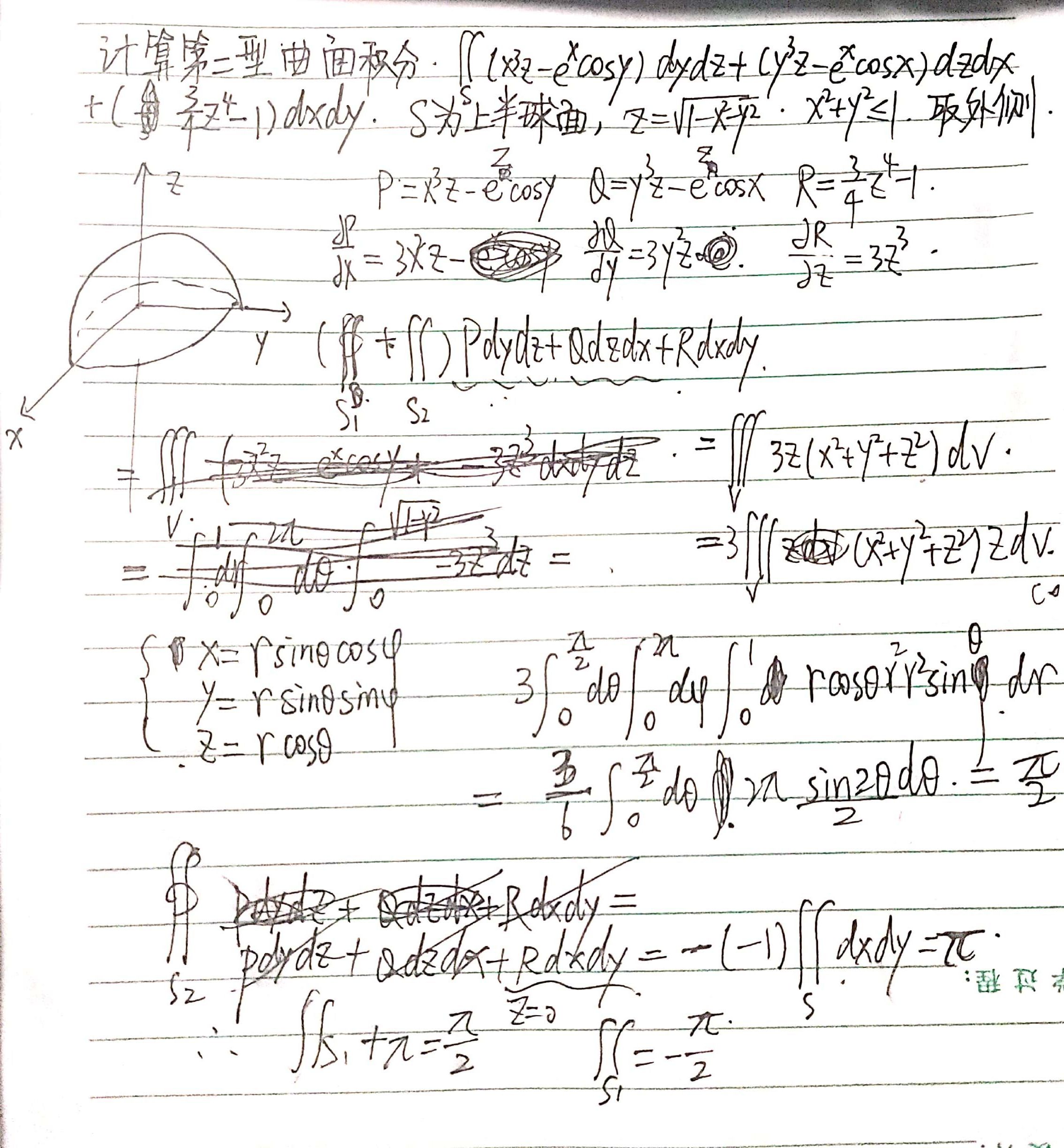
- 如果2的方法十分麻烦的话,用高斯公式转化为三重积分。
- 高斯公式∫ S P d y d z + Q d x d z + R d x d y = ∭ V ( ∂ P ∂ x + ∂ Q ∂ y + ∂ R ∂ z ) d x d y d z \int\limits_SPdydz+Qdxdz+Rdxdy=\iiint\limits_V(\frac{\partial P}{\partial x}+\frac{\partial Q}{\partial y}+\frac{\partial R}{\partial z})dxdydzS∫Pdydz+Qdxdz+Rdxdy=V∭(∂x∂P+∂y∂Q+∂z∂R)dxdydz
- 如果立体不封闭,一定要封闭
(1)注意点:球面d z d x . d z d y dzdx.dzdydzdx.dzdy平面四分之一为正,四分之一为负,所以刚好抵消掉了。球坐标换元要牢记公式。不要忘记补为封闭的图形。

4. 计算三重积分
- 球坐标换元:x = r sin ϕ cos θ , y = r sin ϕ sin θ , z = r cos ϕ , J = r 2 sin ϕ x=r\sin\phi\cos\theta,y=r\sin\phi\sin\theta,z=r\cos\phi,J=r^2\sin \phix=rsinϕcosθ,y=rsinϕsinθ,z=rcosϕ,J=r2sinϕ,注意的是θ , ϕ \theta,\phiθ,ϕ的顺序不能搞错
- 先一后二还是先二后一的选取:一般是投影到一个平面上,先把z zz积出来。先二后一就是先算面积分然后再积z zz,一般来说是函数只与z zz相关的时候积的
- 上限与其他变量相关的一定要先积出来
5.计算二重积分
- 二重积分一般换元:∬ D f ( x , y ) d x d y = ∬ Δ f ( x ( u , v ) , y ( u , v ) ) ∂ ( x , y ) ∂ ( u , v ) d u d v \iint\limits_{D}f(x,y)dxdy=\iint\limits_{\Delta}f(x(u,v),y(u,v))\frac{\partial(x,y)}{\partial(u,v)}dudvD∬f(x,y)dxdy=Δ∬f(x(u,v),y(u,v))∂(u,v)∂(x,y)dudv
- 圆坐标换元x = r sin θ , y = r cos θ , J = r x=r\sin\theta,y=r\cos\theta,J=rx=rsinθ,y=rcosθ,J=r注意一定不要忘记多乘一个r rr
例题(1)要注意函数行列式的计算
设 D = ( x , y ) ∣ x + y ≤ 1 , 0 ≤ y ≤ x D = {(x, y)∣x + y ≤ 1, 0 \le y \le x}D=(x,y)∣x+y≤1,0≤y≤x. 计算⼆重积分 ∬ D e x x + y d x d y ∬\limits_De^{\frac{x}{x + y}} dxdyD∬ex+yxdxdy,

曲线积分->格林公式/斯托克斯公式转换为曲面积分->高斯公式转化为体积分
| 积分类型 | 计算方法 |
|---|---|
| 曲线积分 | 转化为曲面积分,如果算不出,用参数法做,可以把边界函数代入简化式子 |
| 曲面积分 | 有对称性,转化为ds,函数比较复杂,一个一个算,看有没有是0,把另一个变量换掉,积分区域变成投影,投影是椭圆,多半是错了。如果积分区域比较规则,可能转化为体积分 |
| 体积分 | 可以是先一后二,也可以先二后一,也可以换坐标系做。 |