暴力法
思路:
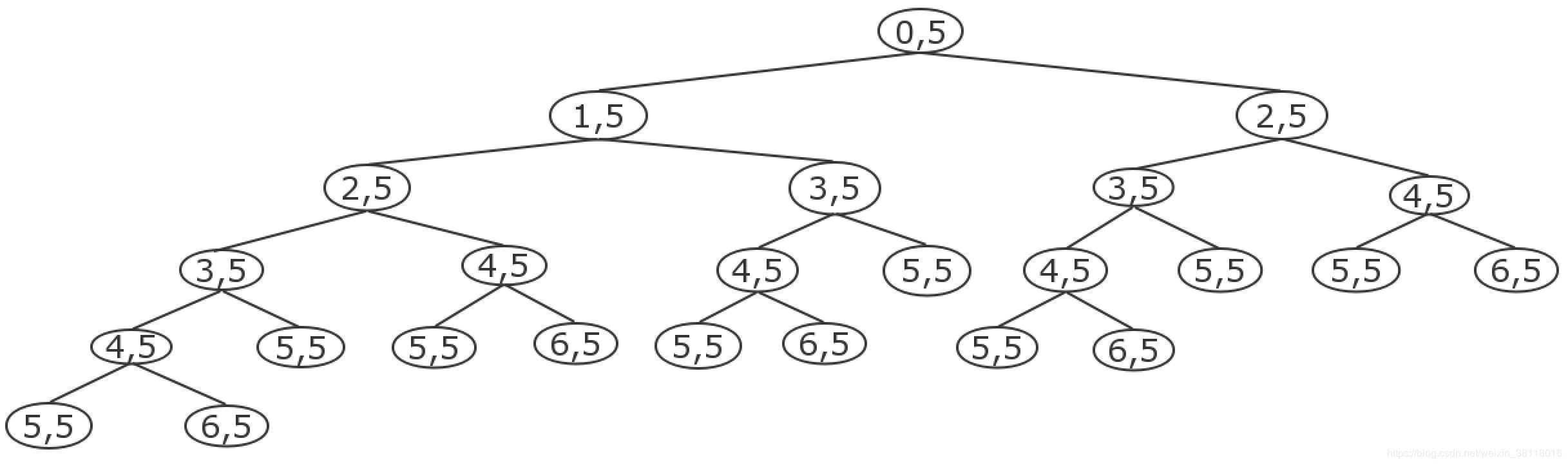
按照函数调用的递归树,记录符合条件的跳跃操作:

python代码:
class Solution:
def __init__(self):
self.solutions = 0
pass
def jump(self, start, end):
if start > end:
return 0
elif start == end:
return 1
return self.jump(start + 1, end) + self.jump(start + 2, end)
def jumpFloor(self, number):
if number == 0:
return 0
self.solutions = self.jump(0, number)
return self.solutions
if __name__ == '__main__':
s = Solution()
for i in range(0, 20):
s.solutions = 0
print(s.jumpFloor(i), end=',')时间复杂度:- 递归访问所有的节点
空间负责度:- 递归树可达的深度
记忆化递归
在暴力法递归中,存在很多重复的计算,因此可以对于特定台阶数记录其存在的方案数,以后直接访问记录即可。

python代码:
class Solution:
def __init__(self):
self.solutions = 0
self.mem = []
pass
def jump(self, start, end):
if start > end:
return 0
elif start == end:
return 1
if self.mem[start] > 0:
return self.mem[start]
self.mem[start] = self.jump(start + 1, end) + self.jump(start + 2, end)
return self.mem[start]
def jumpFloor(self, number):
self.mem = [0 for _ in range(number)]
if number == 0:
return 0
self.solutions = self.jump(0, number)
return self.solutions
if __name__ == '__main__':
s = Solution()
for i in range(0, 20):
s.solutions = 0
print(s.jumpFloor(i), end=',')时间复杂度:
空间负责度:
动态规划
由上述的方法,抛开时间复杂度和空间复杂度,我们已经可以找到一系列输出的序列。
根据一个神奇的网站:OEIS,我们可以找到序列之间存在的关系:斐波那契数列

python代码:
class Solution:
def jumpFloor(self, number):
res = [0, 1, 2]
while len(res) <= number:
res.append(res[-1]+res[-2])
return res[number]
if __name__ == '__main__':
s = Solution()
for i in range(0, 20):
print(s.jumpFloor(i), end=',')由于用res存储了对0~number不同长度的方案数目,所以
时间复杂度:
空间复杂度:,如果只记录长度为number时的方案数,空间复杂度可降低为
版权声明:本文为u010655459原创文章,遵循CC 4.0 BY-SA版权协议,转载请附上原文出处链接和本声明。