大家在学习晶体学的时候,肯定会遇到求晶面间距的问题。
我们知道,不同的{hkl}晶面,其面间距(即相邻的两个平行晶面之间的距离)各不相同。总的来说,低指数晶面间距较大,而高指数面的面间距小。如简单立方,其{100}面的晶面间距最大,{120}面的间距较小,而{320}面的间距就更小。
但是,对于体心立方或面心立方点阵,情况就不同了。它们晶面间距最大的面分别为{110}或{111},而不同于简单立方的{100},说明晶面间距还与点阵类型有关。此外还可证明,晶面间距最大的面一定是密排面,晶面间距越小则晶面上的阵点排列就越稀疏。正是由于不同晶面和晶向上的原子排列情况不同,使晶体表现出各向异性。
那么应该如何正确计算晶面间距呢?
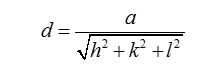
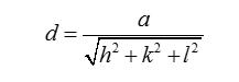
设简单立方的晶格常数为a,我们都知道,其晶面间距与晶面指数的关系为:

只要知道晶面指数,晶格常数,代入公式计算就行了,不会出错。
但是,面心立方和体心立方却不能直接用这个公式,用了可能就会出错。例如,我们知道面心立方的(100)晶面间距是a/2,而用上面的公式计算结果是a,这显然是不对的。
体心立方和面心立方的晶面间距应该按照如下方法计算。
面心立方晶体(FCC)晶面间距与点阵常数a之间的关系为:
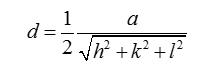
若h、k、l 均为奇数,则

否则

体心立方晶体(BCC)晶面间距与点阵常数a之间的关系:
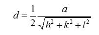
若h+k+l=偶数,则

否则

例如,分别求体心立方的(100)、(110)、(111)晶面的面间距,并指出晶面间距最大的晶面。

对于面心立方,情况如何呢?我们算一下。

由以上的计算可知,不同晶体结构,其同一晶面的晶面间距也是不一样的。
版权声明:本文为weixin_31720623原创文章,遵循CC 4.0 BY-SA版权协议,转载请附上原文出处链接和本声明。