大根堆就是其中每个节点的值都大于或等于其子节点。
大根堆既是大根树又是完全二叉树。
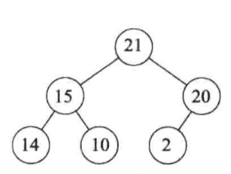
像下图这样:
大根堆的类中的数据成员是,heap数组(一个类型为T的一维数组),arrayLength(数组heap的容量),heapSize(堆的元素个数)
以下是大根堆的插入函数:
//插入函数
template<class T>
void maxHeap<T>::push(const T& theElement)
{
//若数组长度不够
if(heapSize==arrayLength-1)
{
changeLength1D(heap,arrayLength,2*arrayLength);
arrayLength*=2;
}
int currentNode=++heapSize;
while(currentNode!=1&&heap[currentNode/2]<theElement)
{
heap[currentNode]=heap[currentNode/2];
currentNode/=2;
}
heap[currentNode]=theElement;
}
删除函数:
//删除函数
template<class T>
void maxHeap<T>::pop()
{
if(heapSize==0)
throw queueEmpty();//若堆为空
//删除最大元素
heap[1].~T();
//删除最后一个元素,重新建堆
T lastElement=heap[heapSize--];
//从根开始,为最后一个元素寻找元素
int currentNode=1,child=2;
while(child<=heapSize)
{
if(child<heapSize&&heap[child]<heap[child+1])
child++;
//可以把lastElement放在heap[currentNode]吗?
if(lastElement>=heap[child])
break;
heap[currentNode]=heap[child];//把孩子child向上移动
currentNode=child;//向下移动一层寻找位置
child*=2;
}
heap[currentNode]=lastElement;
}
版权声明:本文为qq_18873031原创文章,遵循CC 4.0 BY-SA版权协议,转载请附上原文出处链接和本声明。