一、原理推导
最小二乘法 拟合平面是我们最常用的拟合平面的方法,但是有特殊的情况是用这种方法是不能拟合的,后续会加上这种拟合方法(RANSAC)。
matlab 最小二乘拟合平面(方法一) - 灰信网(软件开发博客聚合)
平面方程:Ax+By+Cz+D=0;



二、Matlab 实现
1、随机出来一些离散的点
>> clear
>> close all
>> % 随机生成一组(x,y,z)这些点的坐标离一个平面比较近
>> x0=1;L1=2;
>> y0=1;L2=2;
>> x=x0+rand(20,1)*L1;
>> y=y0+rand(20,1)*L2;
>> z=1+2*x+3*y;
>> scatter3(x,y,z,'filled')
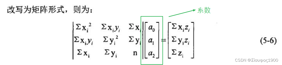
2、将其写成矩阵的形式:


x_a=sum(x)/length(data);% length(data)==20
y_a=sum(y)/length(data);
z_a=sum(z)/length(data);
% 平方的均值====================================================
xx_a=sum(x.*x)/length(data);
yy_a=sum(y.*y)/length(data);
zz_a=sum(z.*z)/length(data);
xy_a=sum(x.*y)/length(data);
xz_a=sum(x.*z)/length(data);
yz_a=sum(y.*z)/length(data);
3、求出a0 a1 a2也就是 -A/C -B/C -D/C
b=[xz_a;yz_a;z_a];
XYZ=A^-1 *b; % 方程求系数
a0=XYZ(1); % -A/C
a1=XYZ(2); % -B/C
a2=XYZ(3); % -D/C4、求平面法向量
V=[a0 a1 -1];% 平面法向量
nor=norm(V); % 向量的模
normalize_V=[a0/nor a2/nor -1/nor]; % 平面法向量归一化
5、 开始绘制图像
scatter3(x,y,z,'filled')
hold on;
xfit=min(x):0.1:max(x); % 坐标系的坐标
yfit=min(y):0.1:max(y);
[XF,YF]=meshgrid(xfit,yfit);% 生产XY点列
ZF=a0*XF+a1*YF+a2; %计算Z的值
% 显示
mesh(XF,YF,ZF)
clear
close all
% 随机生成一组(x,y,z)这些点的坐标离一个平面比较近
x0=1;L1=2;
y0=1;L2=2;
x=x0+rand(20,1)*L1;
y=y0+rand(20,1)*L2;
z=1+2*x+3*y;
scatter3(x,y,z,'filled')
hold on;
data=[x,y,z];
x=data(:,1);
y=data(:,2);
z=data(:,3);
x_a=sum(x)/length(data);% length(data)==20
y_a=sum(y)/length(data);
z_a=sum(z)/length(data);
% 平方的均值====================================================
xx_a=sum(x.*x)/length(data);
yy_a=sum(y.*y)/length(data);
zz_a=sum(z.*z)/length(data);
xy_a=sum(x.*y)/length(data);
xz_a=sum(x.*z)/length(data);
yz_a=sum(y.*z)/length(data);
% 方程组的系数矩阵
A=[xx_a xy_a x_a;
xy_a yy_a y_a;
x_a y_a 1];
b=[xz_a;yz_a;z_a];
XYZ=A^-1 *b; % 方程求系数
a0=XYZ(1); % -A/C
a1=XYZ(2); % -B/C
a2=XYZ(3); % -D/C
V=[a0 a1 -1];% 平面法向量
nor=norm(V); % 向量的模
normalize_V=[a0/nor a2/nor -1/nor]; % 平面法向量归一化
% 开始绘制图像
scatter3(x,y,z,'filled')
hold on;
xfit=min(x):0.1:max(x); % 坐标系的坐标
yfit=min(y):0.1:max(y);
[XF,YF]=meshgrid(xfit,yfit);% 生产XY点列
ZF=a0*XF+a1*YF+a2; %计算Z的值
% 显示
mesh(XF,YF,ZF)
版权声明:本文为weixin_39354845原创文章,遵循CC 4.0 BY-SA版权协议,转载请附上原文出处链接和本声明。