简单估计量及其性质
分层随机抽样

符号
所有总体参数的估计量都用下标"st"以示区别


对总体均值的估计
分层样本的总体均值的估计
分层随机样本的总体均值的估计
总体均值的方差
分层抽样
分层随机抽样
其实bb一堆,总体均值的方差这样算就好了
对总体总量的估计
分层抽样
分层随机抽样
总体总量的方差
分层抽样
分层随机抽样
计算方法
?怒了,终于有例题了
例题
?先休息一会
总体比例的估计

总体比例的方差
分层抽样
分层随机抽样
计算方法
比率估计量及其性质
分别比估计
就是先比后加权
R:比
S:分别
总体均值的分别比估计

总体均值的分别比估计的方差


总体总值的分别比估计

总体总值的分别比估计的方差

联合比估计
就是先加权后比
R:比
C:联合
总体均值的联合比估计

总体总量的联合比估计


总体均值的联合比估计的方差


总体总值的联合比估计的方差

分别比估计与联合比估计的比较


回归估计量及其性质
分别回归估计
总体均值的分别回归估计

总体总值的分别回归估计

各层的回归系数事先给定
总体均值的方差

不能事先给定

总体均值的方差

总体均值的方差的计算方法
部分层的回归系数不能事先给定

联合回归估计
各层样本量的分配
比例分配
就是按各层的层权进行分配
层权
各层抽样比
总体均值估计

总体均值的方差

总体比例的估计

总体比例的方差

最优分配
如何将样本量分配到各层,使得
- 总费用给定,估计量方差最小
- 估计量方差给定,总费用最小
总费用函数

最优分配公式

内曼最优分配

估计量的方差
内曼分配的估计量的方差达到最小
例题

首先计算一些估计量
比例分配直接嗯算就行
最优分配直接套公式
内曼分配也直接套公式
总样本量的确定
精度要求以V ( y ˉ s t ) V(\bar y_{st})V(yˉst)的上限V VV的形式给出的
按比例分配

可以这样计算
然后
按内曼分配

按最优分配

精度要求以V ( y ˉ s t ) V(\bar y_{st})V(yˉst)的绝对误差限d dd(在给定的置信水平1 − α 1-\alpha1−α下)的形式给出的
比例分配

内曼分配

最优分配

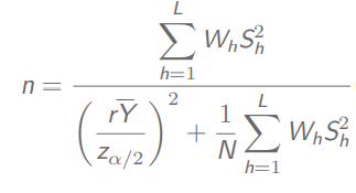
精度要求以V ( y ˉ s t ) V(\bar y_{st})V(yˉst)的相对误差限r rr(在给定的置信水平1 − α 1-\alpha1−α下)的形式给出的
比例分配

内曼分配

最优分配

例题

解答:
一看题目,直接总样本量确定的第一种情况,直接给爷用最优分配,暴算一波总样本量


得到总样本量之后,暴算一波层权,然后得到每层的样本量,直接恩算最低费用
总样本的确定
分层抽样的其他方面
版权声明:本文为NP_hard原创文章,遵循CC 4.0 BY-SA版权协议,转载请附上原文出处链接和本声明。