第十讲 积分等式与积分不等式


积分等式
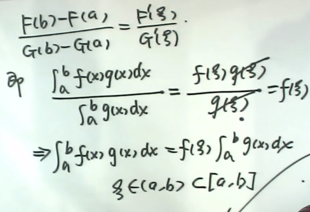
推广的积分中值定理

有些积分通过所学的方法是无法求解的,此时可能需要一些特别的方法或者是题目的提示
例如下面这个需要使用放缩
用夹逼准则

当见到极限号后面有积分号的时候 想到用夹逼准则(注意 先积分再算极限 不可交换顺序)
积分不等式



在这里因为不可能一直满足恒等的条件
所以一直恒大于零

某函数一阶可导不代表它的导数连续 例如振荡间断点的情况


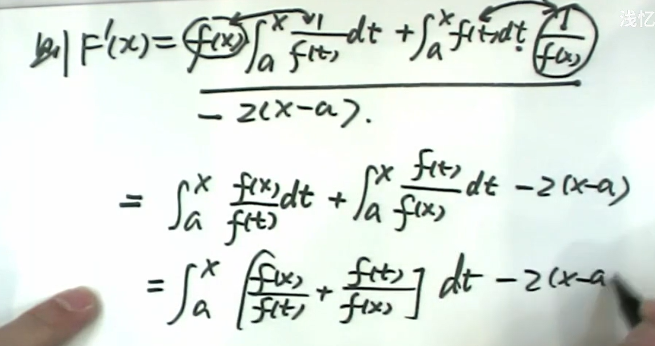
由拉格朗日可以实现从f到f‘的转化
所以上图最后一步 由于需要将题目所证的不等式从左往右推,所以此时将f转换f’
而我们知道
红框中的东西其实就是类似介值定理中的最大值
那么|f’(x)|肯定也小于这个东西
所以在这里就继续放缩成这个东西 就得到

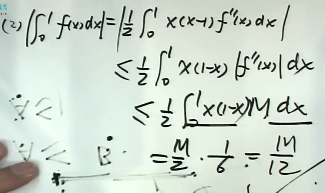
而根据下面这个不等式


所以这玩意是大于等于(x+1-x)²/4也就是四分之一

那么现在,不等式的左边小于等于这个东西,也就是说小于等于这个东西的最小值,而这个东西的最小值是四分之一
所以也就是说不等式左边小于等于M/4
那么题目得证
(这里其实有一个逻辑没理得太顺:
一开始都是连续的小于等于号:
但是最后的这玩意要用到的公式却是大于等于某个数:
这里你可以这样理解
比如需要证明gx<=2
如果gx<=fx 而fx的最大值都<=2的话
那么肯定就可以得出gx<=2
但是另外一个思路
而如果我们能证明出gx<=fx
并且如果fx的最小值如果是2的话,那么只要gx<=fx,也就可以证明gx<=2了
所以其实 如果已知gx<=fx,欲证gx<=2
如果fx的最大值是2,那么可以证明出来gx<=2
如果fx的最小值是2,那么可以证明出来gx<=2
这其实意味着在连续的放缩中(例如上题中的连续小于等于),在一系列放缩的途中,中间都必须是小于等于号,而最后一步,可以是大于等于号,也可以是小于等于号,如图所示:

那么以下两种情况都可以


第一题采用分部积分
我们知道反对幂指三 中
如果是具体的函数知道它适合积分或者不适合
但是如果是抽象函数 我们无法知道它适合还是不适合积分 此时命题老师就会给提示
例如本题中


下一道例题:

所以这一题的思路是:

而那慕达小于1,所以只需要证明FX是单调递减的就可以了

其实这个东西就是平均值



这里是等式 而不是求导