1.题目
给定二叉搜索树(BST)的根节点 root 和一个整数值 val。
你需要在 BST 中找到节点值等于 val 的节点。 返回以该节点为根的子树。 如果节点不存在,则返回 null 。
示例 1:
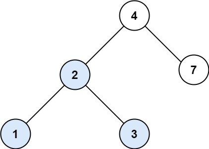
输入:root = [4,2,7,1,3], val = 2
输出:[2,1,3]
示例 2:
输入:root = [4,2,7,1,3], val = 5
输出:[]
提示:
数中节点数在 [1, 5000] 范围内
1 <= Node.val <= 107
root 是二叉搜索树
1 <= val <= 107
来源:力扣(LeetCode)
链接:https://leetcode-cn.com/problems/search-in-a-binary-search-tree
2.思路
(1)递归
3.代码实现(Java)
//思路1————递归
/**
* Definition for a binary tree node.
* public class TreeNode {
* int val;
* TreeNode left;
* TreeNode right;
* TreeNode() {}
* TreeNode(int val) { this.val = val; }
* TreeNode(int val, TreeNode left, TreeNode right) {
* this.val = val;
* this.left = left;
* this.right = right;
* }
* }
*/
class Solution {
public TreeNode searchBST(TreeNode root, int val) {
if (root == null) {
return null;
}
if (root.val > val) {
//root.val > val说明该节点可能在左子树中,故搜索左子树
return searchBST(root.left, val);
}
if (root.val < val) {
//root.val < val说明该节点可能在右子树中,故搜索右子树
return searchBST(root.right, val);
}
//root.val = val,即当前根节的值恰好为val,直接返回root即可
return root;
}
}
版权声明:本文为weixin_43004044原创文章,遵循CC 4.0 BY-SA版权协议,转载请附上原文出处链接和本声明。