RL 笔记(3) PPO
基本原理
PPO是在基本的Policy Gradient基础上提出的改进型算法
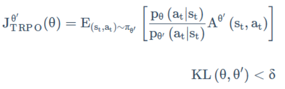
Policy Gradient方法存在核心问题在于数据的bias。因为Advantage估计是不完全准确的,存在bias,那么如果Policy一次更新太远,那么下一次采样将完全偏离,导致Policy更新到完全偏离的位置,从而形成恶性循环。因此,TRPO的核心思想就是让每一次的Policy更新在一个Trust Region里,保证policy的单调提升。
Policy gradient方法是on policy的,因此本来要求每次就使用on policy的数据进行训练。但是很显然,on policy的数据训练一次就扔掉太低效了。所以TRPO及PPO说是on policy,实际上大部分情况是off policy的,只能说是near on policy。怎么做呢?就是一次采样的数据分minibatch训练神经网络迭代多次,一般我们还会重复利用一下数据,也就是sample reuse。对于PPO,最佳的sample reuse=3,即一个样本使用3次。
那么,由于训练中使用了off policy的数据(只有第一个更新是on policy,后面都是off policy),数据分布不同了,因此,我们需要使用importance sampling来调整。

期望等价写成 ∫ f ( x ) p ( x ) d x \int f(x)p(x)dx∫f(x)p(x)dx 然后引入新的采样分布q(x)进行变换∫ f ( x ) p ( x ) q ( x ) q ( x ) d x \int f(x)\frac{p(x)}{q(x)}q(x)dx∫f(x)q(x)p(x)q(x)dx,这时候我们发现这和最大熵模型引入隐含变量的套路有点相似,然后就可以把原来xp的期望改写成xq的期望。所以最终可以得到
E x p [ f ( x ) p ( x ) ] = E x q [ f ( x ) p ( x ) q ( x ) ] E_{x~p} [f(x)p(x)]=E_{x\\~q}[f(x)\frac{p(x)}{q(x)}]Ex p[f(x)p(x)]=Ex q[f(x)q(x)p(x)]
上述推导就是important sample的技巧。在这个式子中其中的p ( x ) q ( x ) \frac{p(x)}{q(x)}q(x)p(x) 就是important weight。通过这个公式我们也可以想象得到,如果采样的分布p与真实的分布q差得很多,那么肯定会导致两个期望不一致。下图通过举了一个例子来讲解.
上图的p(x)与q(x)差异很大左边为负右边为正,当采样次数很少右边采样很多的情况,就会得出与右边为正的错误结果,但是如果在左边也被采样到一个样本时这个这个时候因为 p ( x ) q ( x ) \frac{p(x)}{q(x)}q(x)p(x) 作为权重修正就相当于给左边的样本一个很大的权重,就可以将结果修正为负的。所以这就是 important weight的作用。但是我们也能看出来,采样次数要足够多,万一采样次数少只采到了一边那就凉凉了。

重要性采样的时候我们不能让分布差得太多。因此,我们可以给分布之间的距离——KL散度加一个约束 δ \deltaδ,这就是TRPO
由于TRPO的loss是带条件的loss,用共轭梯度法进行计算,比较麻烦,因为它把 KL 散度约束当做一个额外的约束,没有放目标(objective)里面,所以它很难算。不能大规模应用,因此需要做简化,能够直接使用梯度下降实现,因此PPO应运而生。PPO则是将KL散度作为一个正则项放到损失函数里做优化。
PPO算法还有两个主要的变种:PPO-penalty和PPO-clip
首先来看PPO-penalty,也记为PPO-1
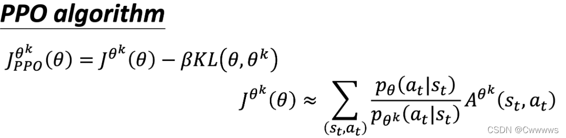
在这个算法里,我们会先初始化一个策略的参数 θ 0 \theta_0θ0 ,然后在每个迭代里,我们用 θ k \theta_kθk和环境互动,生成一堆状态-动作对
然后我们根据互动的结果估测一下A θ k ( s t , a t ) A^{\theta_k}(s_t, a_t)Aθk(st,at),接着使用 PPO 的优化的公式。但跟原来的策略梯度不一样,原来的策略梯度只能更新一次参数,更新完以后就要重新采样数据。但是,现在我们可以让 θ \thetaθ更新很多次,因为由KL散度作为正则化项。
在 PPO 的论文里面还有一个 adaptive KL divergence。这边会遇到一个问题就是 β \betaβ 要设多少,它就跟正则化一样。正则化前面也要乘一个权重,所以这个 KL 散度前面也要乘一个权重,但 β \betaβ 要设多少呢?所以有个动态调整 β \betaβ的方法。
我们先设一个 β \betaβ的最大和最小值,作为容许界限。
如果优化一次之后,KL散度的项太大,则加大 β \betaβ 的值。反之,如果KL散度的项太小,则减少 β \betaβ的值。
接着我们看PPO-clip,也记为PPO-2。
KL散度的计算可能很复杂,PPO-clip里面就没有KL散度。


这个c l i p ( x , 1 − ϵ , 1 + ϵ ) clip(x, 1-\epsilon, 1 + \epsilon)clip(x,1−ϵ,1+ϵ) 函数的作用,就是当 x > 1 + ϵ x > 1 + \epsilonx>1+ϵ的时候输出1 + ϵ 1 + \epsilon1+ϵ ,当 x < 1 − ϵ x < 1 - \epsilonx<1−ϵ的时候输出 1 − ϵ 1 - \epsilon1−ϵ,其他的时候不变。
也就是你拿来做示范的模型跟你实际上学习的模型,在优化以后不要差距太大。
也就是当前policy和旧policy的偏差做clip,如果ratio偏差超过ϵ \epsilonϵ 就做clip。这样,在实现上,无论更新多少步都没有关系,有clip给我们挡着,不担心训练偏了。
算法步骤

PPO收集一次样本训练几次?
根据上图,一次收集NT个样本,以某个minibatch size训练K个epoch。
从openai baseline的实现中可以看到,一般的设置是:
K=3,minibatch size = NT/4
K就是sample reuse的比率,表示一个样本用了多少次。
按照上面的设定,一次训练更新了12次。
这对于PPO非常重要,因为如果一次只更新1次,那么就是完全的on policy,ratio=1,ppo完全没用到clip,policy训练会非常慢。因此,最理想的是更新多次,更新到clip的边缘,最大化每一次采集样本的利用。
同时,基于上面的设定,actor/worker越多,一次采集的样本就越多,在控制训练次数的情况下,batchsize就会越来越大。对于PPO,batch 越大,对梯度的估计就越准,bias越小,所以效果会越好。在OpenAI Dota Five中,采用了极大的batchsize来加速训练。这也是large scale最大的意义。
OpenAI 训练OpenAI Dota Five时,每32个step 就将更新的参数发送给Forward Pass GPU,最快速度保证rollout使用最新的参数。然后Rollout Worker完全异步进行,疯狂采样。Learner不断拿buffer里面的数据进行训练,GPU,CPU都打满。
参考