1、
》》图的遍历是指从图中的某一顶点出发,按照某种搜索方法沿着图中的边对图中的所有顶点访问
一次且仅访问一次。
注意:树是一种特殊的图,所以树的遍历实际上也可以看作是一种特殊的图的遍历。
》》 图的遍历是图的一种最基本的操作,其他许多操作都是建立在图的遍历操作基础之上。
》》 图的遍历主要有两种算法:广度优先搜索、深度优先搜索。
2、广度优先搜索(Breadth-First-Search , BFS)【借助队列实现】
》》 广度优先搜索(BFS)类似于二叉树的层序遍历算法,它的基本思想是:首先访问起始顶点 v ,
接着由 v 出发,依次访问 v 的各个未访问过的邻接顶点 w1 , w2, w3 , ... , wi , 然后再依次访问
w1 , w2 , w3 , ... , wi 的所有未被访问过的邻接顶点;再从这些访问过的顶点出发,再访问它们所有
未被访问过的邻接顶点..... 依次类推,直到图中所有顶点都被访问过为止。
类似的思想还将应用于 “ Dijkstra 单源最短路径算法 ” 和 “ Prim 最小生成树算法 ”。
》》 广度优先搜索是一种分层的查找过程,每向前走一步可能访问一批顶点,不像深度优先搜索那样
有往回退的情况,因此它不是一个递归的算法。为了实现逐层的访问,算法必须借助一个辅助队列,
以记忆正在访问的顶点的下一层顶点。
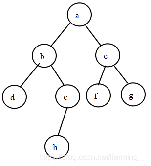
》》 广度优先搜索的案例:【借助队列实现--》非递归算法】

假设从 a 开始访问,a 先入队。此时队列非空,取出队头元素 a ,由于 b 、 c 和 a 邻接且未被
访问过,于是依次访问 b 、 c , 并将 b 、c 依次入队。队列非空,取出队头元素 b ,依次访问与
b 邻接且未被访问过的顶点 d 和 e ,并将 d 、 e 入队(注意:a 与 b 也邻接,但是 a 已被设置为
访问标记,故不再重复访问)。此时队列非空,取出队头元素 c ,访问与 c 邻接且未被访问的顶点
f 、 g ,并将 f 、 g 入队。此时,取出队头元素 d ,但与 d 邻接且未被访问过的顶点为空,故而
不进行任何操作。继续取出队头元素 e ,将 h 入队。。。。当最后取出队头元素 h 后,队列为空,
从而循环自动跳出。遍历结果为 abcdefgh
》》 补充1:“ 图的广度优先搜索的过程” 与 “ 二叉树的层序遍历 ” 是完全一致的,这也说明了图的
广度优先搜索遍历算法是二叉树的层序遍历算法的扩展。
》》 BFS 算法的性能分析
## 无论是邻接表还是邻接矩阵的存储方式,BFS 算法都需要借助一个辅助队列 Q , n 个顶点均
需要入队一次,在最坏的情况下,空间复杂度为 O( | V | )。
## 当采用邻接表存储方式时,每个顶点均需要搜索一次(或入队一次),故时间复杂度为O( | V | ) 。
在搜索任意顶点的邻接点时,每条边至少访问一次,故时间复杂度为 O(| E | ) , 算法的时间复杂度为
O( | V | + | E | )。
## 当采用邻接矩阵存储方式时,查找每个顶点的邻接点 所需要的时间为 O(| V |) ,故算法总的时间
复杂度为 O(
)。
》》BFS 算法求解单源最短路径问题
## 如果图 G = (V , E ) 为非带权图,定义从顶点 u 到顶点 v 的最短路径 d(u,v) 为从 u 到 v
的任何路径中最少的边数;如果从 u 到 v 没有通路,则 d(u,v) = ∞。
## 使用 BFS ,我们可以求解一个满足上述定义的非带权图的单源最短路径问题,这是由广度优先
搜索总是按照距离由近到远来遍历图中每个顶点的性质决定的。
》》广度优先生成树【遍历树】
## 在广度优先搜索的遍历过程中,我们可以得到一棵遍历树,称为“ 广度优先生成树 ”。
注意:一个给定图的邻接矩阵存储表示是唯一的,故其广度优先生成树也是唯一的。
一个给定图的邻接表存储表示不唯一,故其广度优先生成树也是不唯一的。
3、深度优先搜索(Depth-First-Search , DFS)【借助递归栈实现】
》》 深度优先搜索(DFS)类似于树的先序遍历。这种搜索算法所遵循的搜索策略是尽可能“深”
地搜索一个图。它的基本思想如下:首先访问图中某一起始顶点 v ,然后由 v 出发,访问与
v 邻接且未被访问的任一顶点 w1 , 再访问与 w1 邻接且未被访问的任一顶点 w2 ,。。。重复
上述过程。当不能再继续向下访问时,依次退回到最近被访问的顶点,若它还有邻接顶点未被
访问过,则从该点开始继续上述搜索过程,直到图中所有顶点均被访问过为止。
》》 深度优先搜索是借助递归栈实现的。
》》 注意:图的邻接矩阵表示是唯一的,但对于邻接表来说,如果边的输入次序不同,生成的邻接
表也不同。
对于同样一个图,基于邻接矩阵的遍历所得到的 DFS 序列和 BFS 序列是唯一的,基于
邻接表的遍历所得到的 DFS 序列和 BFS 序列是不唯一的。
》》 DFS 算法的性能分析
## DFS 算法是一个递归算法,需要借助一个递归工作栈,故它的空间复杂度为 O( | V | )。
## 遍历图的过程实质上是对每个顶点查找其邻接点的过程,其耗费的时间取决于所采用的
存储结构。
a. 当以邻接矩阵表示时,查找每个顶点的邻接点所需要的时间为 O( | V | ) ,故总的时间
复杂度为 O(
)。
b. 当以邻接表表示时,查找所有顶点的邻接点所需要的时间为 O( | E | ) ,访问顶点所
需时间为 O(| V | ) ,此时,总的时间复杂度为 O( | V | + | E | )
》》深度优先的生成树和森林
深度优先搜索也会产生一棵深度优先生成树。但是,是有条件的。
条件:对连通图调用 DFS 才可以产生深度优先生成树,否则产生的将是深度优先生成森林。
4、图的遍历与图的连通性
》》 图的遍历算法可以用来判断图的连通性。
》》 对于无向图来说,如果无向图是连通的,则从任一结点出发,仅需一次遍历就能访问图中
所有顶点;如果无向图是非连通的,则从某一个顶点出发,一次遍历只能访问到该顶点所在
连通分量的所有顶点,而对于图中其他连通分量的顶点,则无法通过这次遍历访问。
对于有向图来说,若从初始点到图中每个顶点都有路径则能够访问到图中所有顶点,否则
不能访问到所有顶点。