从一个实际log开始,NR中DL 资源是通过CORESET 和Searchspace确定具体的时频域资源,如上参数配置的是 CORESET0 和searchSpaceid 1组成了一块时频资源,用接收的DCI 0_0/1_0。根据monitoringSlotPeriodicityAndOffset及monitoringSymbolsWithinSlot 可以确定时域位置,假如频域对应的是48个RB,若网络端没有任何参数告诉UE在48个RB上要以什么样的方式去盲检,那UE就要尽可能的按照排列组合的方式去检测,这样耗费的时间是巨大的。实际上,网络端会配置nrofCandidates 及相关的 Aggregation level候选集个数等参数,然后UE按照盲检公式就可以找到比较具体的时频域资源块,进而使得UE可以快速的完成盲检过程。
协议38.213中,规定了几个SearchSpace类型用于特定的用途,例如Type0-PDCCH CSS set主要用于SIB1的检测,Type0A-PDCCH CSS set 用于其它SIB 的检测 等等。而USS(UE-specific search space) 和CSS(Common search space)在计算盲检候选集时,参数的取值略有不同,后面再介绍。

下面开始介绍PDCCH 盲检候选集相关内容
在NR 中,38.211 Table 7.3.2.1-1 规定 一个PDCCH可由连续的1、2、4、8、16个CCE构成。1个PDCCH包含的CCE数量就是Aggregation Level。


对于CSS 来说 CCE Aggregation level 只能是 4/8/16 ,分别对应的最大候选集个数为 4/2/1; USS 则没有具体限制,CCE Aggregation level可以是1/2/4/8/16。
38.213 Table 10.1-1 针对SIB1的候选集规定了不同的CCE Aggregation Level 及对应最大PDCCH candidates 个数。

假如CCE Aggregation Level 是4 ,那么要进行盲检就要按照4个连续的CCE 的方式按照排列组合一个个去试,直到找到所有的候选集,这样对于UE 来说需要大量的运算时间。为了加速盲检过程,38.213 第10章有规定盲检公式,通过计算去确定具体的PDCCH 盲检候选集。
PDCCH 盲检 是以CCE Aggregation Level 为基准的, 例如在CORESET 0 的表中,显示的是RB 个数及CORESET 在时域占用的符号数,这里要结合起来确定 CCE 数。
假如注册band是N78,SSB和PDCCH SCS 都是30khz,那最终需要38.213 Table13-4 确定CORESET0 的频域资源。如Table 13-4 CORESET 0 index 10 橙框字体,只有48个RB 就是 8 个CCE ;蓝框字体 除了在频域占48个RB 外,还在时域占用2个符号,因此 共96 个RB 也就是16 个CCE。

N78 对应的minmum channel bandwidth 是10MHZ
下面看下盲检公式,3GPP TS 38.213 第10章主要介绍了PDCCH 盲检的相关内容,具体如下
首先看下具体参数的含义:

对于CSS 和USS,Y_p,n_u_s,f 的取值是不一样的;
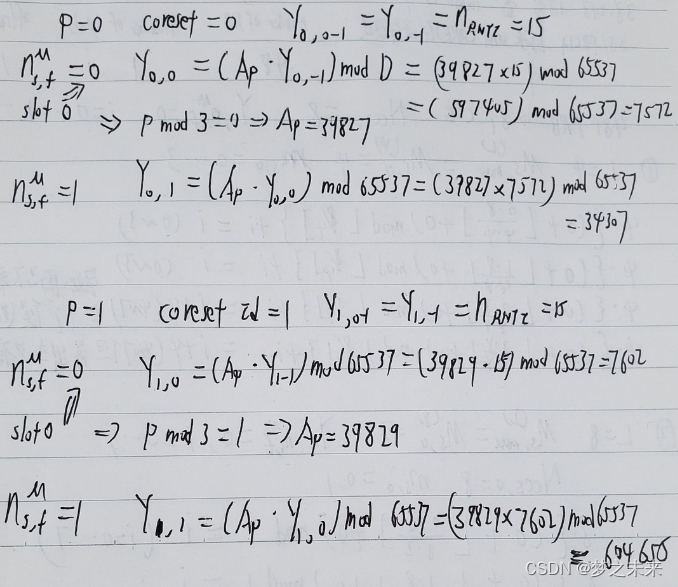
对于USS,主要是根据p mod3 的结果 去确定Ap的取值。p 代表的是CORESET id。下面是几个具体例子说明对于USS时应该怎样确定Y值。
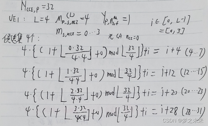
以下面的参数为例通过计算的方式确定具体的候选集:


虽然配置的aggregationLevel 4 应该有4个候选集 ,当时最终计算出来只有2个候选集。


配置的aggregationLevel 8 应该有2个候选集.最后算出来 也仅有1个候选集 i=0~7 如下
如上面的L=16 的例子CORESET 0时域上对应1个symbol,频域上对应48个PRB,只有8个CCE,如果网络端配置的聚合度是16,那这种配置有些不合理。通过计算也发现会出现mod 0的情况,大家都知道数学规则上,0是不能做除数的。因而对于L=16的情况 计算上不合法,无法算出候选集。
另一个CSS 的例子



下面是USS 的例子



PDCCH 盲检公式的计算到这里就讲完了,下面再讲一些其他相关内容。
CORESET 的规定
服务小区配置给UE 的每个DL BWP,CORESET 不能超过4个;CORESET index 只能是从1~11 加上CORESET 0 则最多只能12个CORESET。
search space 的规定
search space index 只能是1~39 ,加上search space 0,则最多只能40 个 search space

盲检次数的规定
UE 会根据CORESET ,searchspace及候选集aggregation level等参数确定PDCCH 候选集位置,为了避免UE 盲检次数过多,38.213 规定了针对不同SCS 的情况下,一个时隙内的最大盲检次数,如下表

PDCCH 盲检次数计算规则
PDCCH 盲检不计数的情况如上面的彩色字体描述:两次盲检 最后发现PDCCH候选集相同或CCE相同或PDCCH候选集使用相同的加扰或PDCCH候选集DCI大小相同都不计数。
除了PDCCH 盲检次数限制以外,UE对物理层处理CCE个数的能力也有限制,这里考虑的是 non overlap的CCE,如果不同PDCCH 盲检候选集对应的CCE是overlap的,则这样的CCE不算数。
38.212 有对non overlapped CCE的定义:不同的CORESET index 或PDCCH 候选集的第一个接收符号不同
协议定义了不同子载波间隔,同一个时隙内 非重叠CCE 的最大个数 如Table 10.1-3

下面的截图是是一段盲检USS候选集和CCE个数关系的伪代码。其间接说明了当一个slot内,只有一个Searchspace(CSS 或USS)时,时隙内最大候选集个数由上面的协议中的表格定义;如果1个时隙内,有多个Searchspace,就需要有取舍。当1个时隙内有CSS 和USS时,要优先检测CSS,完成CSS后,再根据剩余的候选集个数和non-ovelapped CCE个数对USS进行盲检。

如截图,CORESET id不同或者PDCCH candidates 的第一个符号不一样就是non-ovelapped CCE;反过来看 当CORESET id相同,且PDCCH candidates 的一个符号相同对应的就是overlapped CCE。
如下就是重叠CCE的情况,不同的PDCCH candidates 的第一符号相同;
第二个例子中的PDCCH candidates 是非重叠的CCE。

对于PDCCH 盲检还有一些其他规定

在一个时隙内,基站配置的CSS盲检次数和CCE个数不能超过规定的最大次数。

在时隙内,USS 要按照searchspace Id 从小到大的顺序 优先进行盲检。
不同DCI format本质上对应不同大小的bits,format越多会导致盲检的复杂度越大,UE需要对候选PDCCH上可能传输的所有DCI format进行decode,进而decode复杂度随之增大。为了降低UE处理的复杂度,基站要对DCI 进行对齐处理。具体的说基站先确定某些DCI format的大小,然后以这些DCI format为参考,将其他DCI 进行补位或者截短,以实现DCI对齐的目的。
DCI对齐在38.212 7.3.1.0 DCI size alignment 中讲述。

Step 0:
CSS 下,DCI 0_0根据初始UL BWP 确定大小,DCI 1_0 根据CORESET0 或初始DL BWP(没有CORESET 0时) 确定大小
根据激活的UL/DL BWP 确定DCI 0_0和DCI 1_0 的size;如果CSS 中的DCI 0_0和DCI 1_0 大小不一样,则DCI 0_0向DCI 1_0 对齐,DCI 0_0小于DCI 1_0 就在DCI0_0 后面补零,反之就缩短DCI 0_0。 
step 1:
USS 下 根据激活的UL/DL BWP 确定DCI 0_1/1_0的大小
(1)配置SUL 时,对于SUL 和non-SUL 的DCI 0_0,较小的向大的看齐,需要在较小的DCI 0_0后面补零
(2) DCI 0_0 和DCI 1_0,后配置的向先配置的对齐。
step 2:
USS 下 根据USS 确定DCI 0_1/1_1的大小
(1)配置SUL 时,对于SUL 和non-SUL 的DCI 0_1,较小的向大的看齐,需要在较小的DCI 0_1后面补零
(2) 如果当前USS 中的DCI 0_1 和DCI 1_1和其他USS 的DCI 0_0/1_0下大小相同,则需要在当前USS的DCI 0_1 和1_1后补一个零。
Step3:
如果同一小区监听的DCI DCI size不超过4种 及使用C-RNTI监听的DCI 大小不超过3种,就完成对齐操作;否则 继续进行Step 4
Step 4:
针对的还是USS 中的DCI 1_0/0_0
remove Step 2中的padding bit,
DCI 1_0根据CORESET0 或者初始DL BWP 确定大小;DCI 0_0根据初始BWP 确定大小。
用初始bwp 确定DCI 1_0 /0_0 的size,之后DCI 0_0向DCI 1_0看齐,进行补零或缩减操作。
如果还是不满足step 3 的条件,则要进行DCI 0_2 和1_2 的对齐(根据后配置看齐先配置的调整策略);此时还是不满足STEP 3 就仍然要继续进行DCI 0_1 和1_1对齐(根据后配置看齐先配置的调整策略)

经过对齐操作后,以下情况还要注意:
1 对于一个服务小区,UE每个时隙检测不同DCI size个数不能超过4个;UE每个时隙使用C-RNTI检测的DCI size不能超过3个。
2 某个USS 的DCI 0_0不能和另一个USS 的DCI 0_1大小相等;某个USS 的DCI 1_0不能和另一个USS 的DCI 1_1大小相等
3 当DCI 1_0 和1_2的PDCCH 候选集映射到相同的资源时,某个USS 的DCI 1_0和另一个USS 的DCI 1_2 大小不能相等;DCI 1_0 和DCI 1_2 DCI 0_1和DCI 0_2 DCI 1_1 和DCI 1_2 都是相同的要求。