Merton模型
莫顿模型中,假设企业只通过权益 St 和一种零息债券进行融资,债券现值为 Bt,T 时到期,到期时本息合计为D,公司的资产价值 Vt = St+Bt 服从几何布朗运动。若T时刻公司价值 Vt 小于负债D,就会存在违约的可能性,此时公司的违约概率为 P(VT ≤ D) ,因此只需要算出这个概率即可。
期权定价模型将今天公司的股票价值E0与公司资产价值V0和资产的波动率σV联系起来:股票价值看作是一个标的为V0、执行价格为债务面值D的看涨期权,代入BSM期权定价公式中为E0 = V0N(d1) - De-rtN(d2);债务价值可看作无风险证券与以V0为标的的看跌期权之差,即B0 = Ke-rt - put = V0N(-d1) + De-rtN(d2)。根据公司价值 Vt 服从的几何布朗运动计算PD:

因此在Merton模型里,风险中性下的违约概率PD=N(-d2),此时d2中的μ为无风险利率;若μ为资产的期望收益率,则PD为现实中的违约概率。在d2中,未知数只有公司资产价值V0和资产的波动率σV,可根据以下两式联立解出:E0 = V0N(d1) - De-rtN(d2)以及 delta = ∆E0/∆V0 = N(d1)(或者根据伊藤引理得σE×E0 = N(d1)×σV×V0,σE为公司股权价值的波动率),带入到N(-d2)中可求得PD。
KMV模型
KMV模型又称为预期违约率模型(Expected Default Frequency, EDF),该模型基于Merton模型。当企业资产未来市场价值低于企业所需清偿的负债面值时,企业将会违约。企业资产未来市场价值的期望值到违约点之间的距离就是违约距离DD(Distance to Default),距离越远公司发生违约的可能性越小。比如Merton模型中的d2就可以看作是一种违约距离。

首先,根据Merton模型估计出企业资产的市场价值及其波动性。其次,根据公司的负债计算出公司的违约实施点DP(default exercise point,比如为企业一年以下短期债务的价值加上未清偿的长期债务账面价值的一半,具体可以根据需要设定),计算借款人的违约距离。最后,根据企业的违约距离与预期违约率(EDF)之间的对应关系,求出企业的预期违约率。下面以一个案例来根据KMV模型计算公司的预期违约概率:
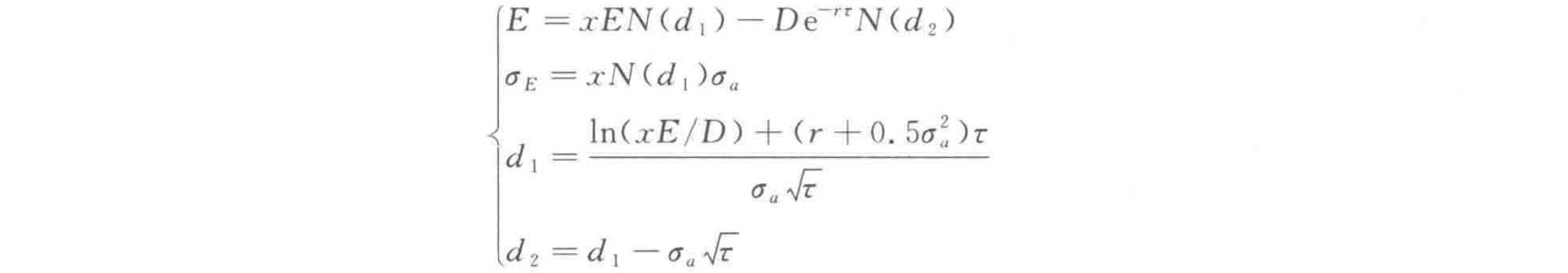
假设公司的股权价值为12个月的平均值,即E=1 4127 6427元,股权价值的年化波动率为28.39%,KMV模型的违约点DP = SD+0.5×LD = 1.25亿元,假设无风险利率为r=2.25%,t=1,接下来利用scipy.optimize中的fsolve函数求解KMV方程组中的两个未知变量Va和σa。注意这两个未知数数量级相差很大,可能导致计算结果不准确,做如下变换:Va=x×E,代入方程组我们就只需求参数x和σa了:
import numpy as np
from scipy import optimize
from scipy import stats
r=0.0225;sigma_e=0.2893;t=1;E=141276427;DP=1.25e8
def g(w):
x,sigma_a=w
N_d1=stats.norm.cdf((np.log(abs(x)*E/DP)+(r+0.5*sigma_a**2)*t)/(sigma_a*np.sqrt(t)))
N_d2=stats.norm.cdf((np.log(abs(x)*E/DP)+(r-0.5*sigma_a**2)*t)/(sigma_a*np.sqrt(t)))
#为了防止fsolve迭代到负数报错,给x加绝对值
e1=E-(x*E*N_d1-DP*N_d2*np.exp(-r*t))
e2=sigma_e-sigma_a*N_d1*x
return [e1,e2]#此处返回等于0的式子
result=optimize.fsolve(g,[1,0.1])
result
Out[2]: array([1.86510471, 0.15511197])
x,sigma_a=result
DD=(x*E-DP)/(x*E*sigma_a)#违约距离
EDF=stats.norm.cdf(-DD)
print('企业资产为{:.2f},资产的波动率为{:.4%}'.format(x*E,sigma_a))
print('违约距离为DD={:.4f},违约概率EDF={:.4%}'.format(DD,EDF))
企业资产为263495329.74,资产的波动率为15.5112%
违约距离为DD=3.3886,违约概率EDF=0.0351%
因此该公司的违约概率为0.0351%,违约率较低。
有的时候为了兼顾计算的简便与准确性,计算出DD后,从上市公司违约数据库中找DD等于此值的公司有多少比例是违约的,也可以算出违约概率。由于历史违约数据的积累工作滞后,确定违约距离和实际违约频率之间的映射仍然无法实现,而直接计算出来的EDF结果说服力较差,因此直接应用违约距离来比较上市公司的相对违约风险大小更合理。