前言:
对第k帧和第k+1帧之间所有的IMU进行积分,可得到第K+1帧的PVQ(位置、速度、旋转),作为视觉估计的初始值。
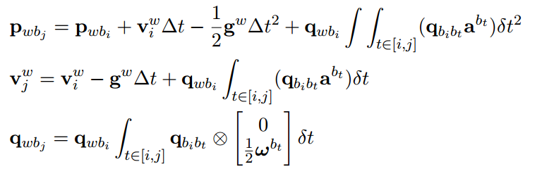
每次qwbt优化更新后,都要重新进行积分,运算量较大。将积分模型转为预积分模型:![]()
PVQ积分公式中的积分项变为相对于第i时刻的姿态,而不是相对于世界坐标系的姿态。

目录

2、预积分:PVQ连续、离散积分、预积分误差、bias 预积分量
1、没预积分:PVQ连续、离散积分
1、IMU模型

测量值:加速度计、陀螺仪
, 加上了bias游走
和随机白噪声
。
真实值:加速度计a、陀螺仪w。
实际情况下,可以获得测量值a^和w^,需要反推真实值。一般忽略随机游走高斯噪声n
w=-bg; a=qwb(
-ba)-gw;
2、连续时间IMU运动模型,积分 PVQ(两帧之间)

将第k帧和第k+1帧所有的IMU进行积分,可得到第k+1帧的 PVQ,作为视觉估计的初始值。

和
是IMU测量的加速度和角速度,相对于Body坐标系。
world坐标系是IMU所在的惯导系。Body系和惯导系关系为:

3、PVQ的中值离散积分(前后IMU)
从第 i个IMU时刻到第 i+1个IMU时刻的积分过程。两个相邻时刻k到k+1的位姿是由第k时刻测量值a^,w^计算得出的。
这与Estimator::processIMU()函数中Ps[j]、Rs[j]、Vs[j]是一致的,代码中j就是此处的i+1
IMU积分出来第 j 时刻数值作为第 j 帧图像初始值。

欧拉法

中值法

2、预积分:PVQ连续、离散积分、预积分误差、bias 预积分量
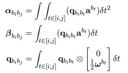
1、 PVQ连续积分(预积分)
每次qwbt优化更新后,都要重新进行积分,运算量较大。
将积分模型转为预积分模型:![]()
PVQ积分公式中的积分项变为相对于第i时刻的姿态,而不是相对于世界坐标系的姿态

2、预积分量
IMU预积分量只与IMU测量值有关。(加速度计、陀螺仪
)

3、 预积分中值离散形式
中值法:k到k+1时刻位姿由两时刻的测量值a w的平均值来计算。



4、预积分误差
一段时间内IMU构建的预积分量作为测量值,与估计值进行相减。

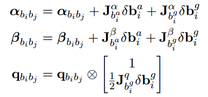
5、bias 预积分量(bias发生变化)
因为 i 时刻的 bias 相关的预积分计算是通过迭代一步一步累计递推的,可以算但是太复杂。所以对于预积分量直接在 i 时刻的 bias 附近用一阶泰勒展开来近似,而不用真的去迭代计算。


二、预积分的Jacobian和协方差
1、预积分的误差以及线性传递方程
预积分模型减小了计算量,但是丢失了一些东西。比如当我们用1个结果代替100个数据点时,转化之前100个点每一个点的不确定度是知道的(IMU数据作为测量值的噪声方差能够标定),但是转化后的1个结果不确定度不知。100个数据积分形成的预积分量方差是多少?这就需要我们在得到IMU预积分后,推导预积分量的协方差,需要直到IMU噪声和预积分量之间的线性递推关系。
IMU在每一个时刻积分出来的值是有误差的,下面对误差进行分析。
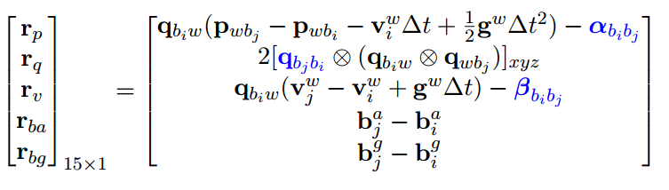
1.预积分误差
一段时间内IMU构建的预积分量作为测量值,与估计值进行相减。
上面误差中位移,速度,偏置都是直接相减得到。第二项是关于四元数的旋转误差,其中 [·] xyz 表示只取四元数的虚部 (x,y,z) 组成的三维向量。

2.相邻时刻误差的线性传递方程
![]()
误差的传递分为两部分:1)当前时刻误差传递给下一时刻;2)当前时刻测量噪声传递给下一时刻。
状态量误差为:
测量噪声为:![]()
3.预积分协方差矩阵
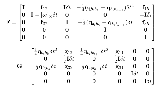
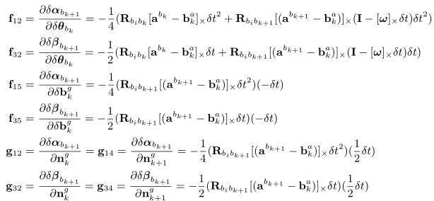
协方差矩阵矩阵通过递推为![]()
其中,是测量噪声的协方差矩阵,方差从i=0时刻开始递推。

F和G是两时刻间的协方差传递矩阵,表示各时刻的误差。


2、预积分的Jacobian和协方差
两帧之间PVQ和bias变化量的残差为:

残差是15维的,状态量是7+9+7+9维的,所以说,每增加一个IMU约束,总的Jacobian矩阵增加了15行,增加了7+9+7+9列!(需要注意的是,四元数是4维的,但是Localdemension是3维的)。
1、预积分的Jacobian(rv、rq)
优化变量主要包括第i、j时刻的p、q、v、ba、bg:
![]()
残差对状态量的Jacobian是什么,对应位置补充上这个J的矩阵块就行了,其他位置还是0。
VINS源码中,在imu_factor.h中的class IMUFactor : public ceres::SizedCostFunction<15, 7, 9, 7, 9> 的函数virtual bool Evaluate()中实现,其中parameters[0~3]分别对应了以上4组优化变量的参数块。对于 Evaluate 输入 double const *const *parameters, parameters[0], parameters[1], parameters[2],parameters[3]分别对应 4 个输入参数, 它们的长度依次是 7,9,7,9,
方式1:整个残差对某个变量求导;
例如: 指的是
主要的四部分(参考崔华坤笔记)为:

方式2:推导关于第i、j帧PVQ的Jacobian(以rv和rq为例)
方式为:、
、
、
、
残差某一行对5个变量分别求导。
下面为详细推导,如果不感兴趣,可以直接记住上面方式1的四部分即可。

- rv
由于 rp 和 rv 的误差形式很相近,对各状态量求导的 Jacobian 形式也很相似,所以这里只对 rv 的推导进行详细介绍。


- rq



2、预积分的协方差


