算数平均数、调和平均数、几何平均数的计算方法与应用场合
一 定义
1、算数平均数:又称均值,是统计学中最基本,最常用的一种平均指标,分为简单算术平均数、加权算术平均数。
2、调和平均数:又称倒数平均数,是总体各统计变量倒数的算数平均数的倒数。分为数学调和平均数(数值倒数的平均数的倒数)和统计调和平均数(计算结果与加权算术平均数完全相等)。
3、几何平均数:几何平均数是对各变量值的连乘积开项数次方根。根据所拿掌握资料的形式不同,其分为简单几何平均数和加权几何平均数两种形式。
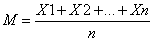
二 计算方法1、算数平均数:
设一组数据为X1,X2,...,Xn,简单地算术平均数的计算公式为:

加权算术平均:主要用于处理经分组整理数据。
设原始数据被分成K组,各组的组中值为X1,X2,...Xk,各组的频数分别为f1,f2,...fk,加权算术平均数的计算公式为:

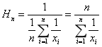
2、调和平均数:
简单调和平均数是算术平均数的变形。

加权调和平均数:


3、几何平均数:
简单几何平均数:

加权几何平均数:

三 应用场合
1、算数平均数:适用于数值型数据,不适用于品质数据。根据表现形式的不同,算术平均数有不同的计算形式和计算公式。
简单算术平均数适用于未分组的原始数据。加权平均数用于分组的数据。
2、调和平均数:可以用于计算平均速度,例:计算4x100米接力赛中,运动员的总体速度。
3、几何平均数:
1、对比率、指数等进行平均;
2、计算平均发展速度;
3、复利下的平均年利率;
4、连续作业的车间产品的平均合格率;
计算总水平、总成果等所有阶段、所有环节水平、成果的连乘积总和时,求各阶段、各环节的一般水平、一般成果,要使用几何平均法计算几何平均数。
四 特点
算术平均值是一个良好的集中量数,具有反应灵敏、确定严密、简明易解、计算简单、适合进一步演算和较小抽样变化的影响等特点。但是极易受极端数据的影响,每个数据的或大或小的变化都会影响最终结果。
调和平均数具有以下几个主要特点:
1、调和平均数易受极端值的影响,且受极小值的影响比受极大值的影响更大。
2、只要有一个标志值为0,就不能计算调和平均数。
3、当组距数列有开口组时,其组中值即使按照相邻组距计算,假定性也很大。
4、调和平均数应用的范围较小。
三者的关系:
