一个贝叶斯分类器可由条件概率密度p(x|ωi)和先验概率P(ωi)决定。在各种密度函数中,高斯密度函数(多元正态函数)最受青睐。本节我们先从单变量高斯密度函数谈起,接着探讨多元高斯分布以及一些特殊情况下的判别函数。
文章目录
一 单变量高斯密度函数
单变量正态或高斯密度函数,变量x遵循x~N(μ,σ^2),其概率密度函数为:
p ( x ) = 1 2 π σ e x p [ − 1 2 ( x − μ σ ) 2 ] p(x)=\frac{1}{\sqrt{2\pi}\sigma}exp[-\frac{1}{2}(\frac{x-\mu }{\sigma})^2]p(x)=2πσ1exp[−21(σx−μ)2]
因此可以求出x的期望与方差:
μ = ε [ x ] = ∫ − ∞ ∞ x p ( x ) d x \mu = \varepsilon[x] = \int_{-\infty }^{\infty }xp(x)dxμ=ε[x]=∫−∞∞xp(x)dx
σ 2 = ε [ ( x − μ ) 2 ] = ∫ − ∞ ∞ ( x − μ ) 2 p ( x ) d x \sigma^2 = \varepsilon[(x-\mu)^2] = \int_{-\infty }^{\infty }(x-\mu)^2p(x)dxσ2=ε[(x−μ)2]=∫−∞∞(x−μ)2p(x)dx

如中心极限定理所表示,大量的小的、独立的随机分布的总和等效为一个高斯分布,对于实际的概率分布而言高斯分布是一种很好的模型
二 多元密度函数
一般的d维多元正态分布密度及其相关统计量形式如下:

其中x是一个d维列向量,μ是x的d维均值向量,Σ 是d*d的协方差矩阵,这里的(x-μ)(x-μ)T是向量的内积。均值向量与协方差矩阵的分量形式可写为:
μ i = E [ x i ] , σ i j = E [ ( x i − μ i ) ( x j − μ j ) ] \mu_i = E[\mathbf{x}_i],\; \sigma_{ij}=E[(x_i-\mu_i)(x_j-\mu_j)]μi=E[xi],σij=E[(xi−μi)(xj−μj)]
多元高斯分布的协方差矩阵有以下性质:
协方差矩阵Σ \SigmaΣ是对称且半正定的
协方差矩阵的对角线元素σ i i \sigma_{ii}σii表示各维的方差,非对角线元素σ i j \sigma_{ij}σij表明两维之间的协方差。
对于高斯分布来说,独立等价于不相关,所以如果
xi与xj统计独立,则σ i j = 0 \sigma_{ij}=0σij=0。
服从正态分布的随机变量的线性组合,不管这些随机变量是独立的还是非独立的,线性组合也是正态分布。多元高斯分布有线性不变性:

三 正态分布下的判别函数
我们之前通过后验概率构造的判别函数g(x):
g i ( x ) = l n p ( x ∣ ω i ) + l n P ( ω i ) g_i(x)=lnp(\textbf{x}|\omega_i)+lnP(\omega_i)gi(x)=lnp(x∣ωi)+lnP(ωi)
如果类条件概率密度函数p(x|ωi)是多元正态分布N(μi,Σi),带入表达式可以化简为:
g i ( x ) = − 1 2 ( x − μ i ) T Σ i − 1 ( x − μ i ) − 1 2 l n ∣ Σ i ∣ + l n P ( ω i ) − d 2 l n 2 π g_i(\mathbf{x})=-\frac{1}{2}(\mathbf{x}-\mu_i)^T\Sigma_i^{-1}(\mathbf{x}-\mu_i)-\frac{1}{2}ln|\Sigma_i|+lnP(\omega_i)-\frac{d}{2}ln2\pigi(x)=−21(x−μi)TΣi−1(x−μi)−21ln∣Σi∣+lnP(ωi)−2dln2π
其中最后一项与x无关,实际计算过程中可以省略。我们讨论一些特殊情况下的判别函数以及分类结果。
3.1 Σ i = σ 2 I \Sigma_i=\sigma^2IΣi=σ2I
这种情况发生在各特征统计独立,并且每个特征的具有相同的方差σ 2 \sigma^2σ2时。这种情况下所有类型的协方差矩阵相同,都是对角矩阵且为单位矩阵I与方差的乘积。因此 Σ i − 1 = ( 1 σ 2 / I ) \Sigma_i^{-1}=(\frac{1}{\sigma^2}/I)Σi−1=(σ21/I),因此(6)式可以化简为:

∣ ∣ ( x − μ i ) 2 ∣ ∣ = ( x − μ i ) t ( x − μ i ) ||(\textbf{x}-\mu_i)^2||=(x-\mu_i)^t(x-\mu_i)∣∣(x−μi)2∣∣=(x−μi)t(x−μi),继续观察。

一个线性分类器的判定面是一些超平面,这些超平面是由线性方程g i ( x ) = g j ( x ) g_i(x)=g_j(x)gi(x)=gj(x)来确定的,以上的例子中,此方程可以写成:

继续变换:

由于w = μ i − μ j w=\mu_i-\mu_jw=μi−μj,特征空间中属于i类的类别空间R i R_iRi与属于j类的类别空间R j R_jRj分开的超平面与两个空间的中心点的连线垂直,当所有类别的先验概率相等时,x 0 x_0x0就是中心点。
这种情况下,最优判决规则从计算g(x)更直观的改为——最小距离分类器:为了将某一特征向量x归类,通过测量每一个x到c个均值向量中的每一个欧氏距离(二维平面内的距离),并将x归为离他最近的那一类中。
下图为先验概率相等的情况下的例子:

当先验概率不相等时判决边界可能出现偏移:

3.2 Σ i = Σ \Sigma_i=\SigmaΣi=Σ
第二种情况是所有类的协方差矩阵都相等,但各自的均值向量μ i \mu_iμi是任意的,则由式(6)可得

由于判别函数g i ( x ) g_i(x)gi(x)是线性的,判决边界同样是超平面,同3.1 计算R i R_iRi与R j R_jRj的边界

由于W = Σ − 1 ( μ i − μ j ) W=\Sigma^{-1}(\mu_i-\mu_j)W=Σ−1(μi−μj)并非朝着μ i − μ j \mu_i-\mu_jμi−μj的方向,因而分离R i R_iRi与R j R_jRj的超平面也并非与均值向量间的连线垂直正交,但如果先验概率相等,x0还是均值向量的中心点。
3.3 Σ i = \Sigma_i=Σi=任意
一般情况下,每一类的协方差矩阵都是不同的,式(6)中唯一可以去掉的只有(d/2)ln2π,

在两类问题中,判定面是超二次曲面,甚至在一维情况下,其判决区域可以不连通。



四 例:二维高斯分布数据的判决区域
![[外链图片转存失败,源站可能有防盗链机制,建议将图片保存下来直接上传(img-ILdQMU4K-1635421792967)(E:\山大\笔记\机器学习\正态密度下的分类器.assets\image-20211028191709151.png)]](https://img-blog.csdnimg.cn/b686ca433c034fc3bfbed5b3b2aca591.png?x-oss-process=image/watermark,type_ZHJvaWRzYW5zZmFsbGJhY2s,shadow_50,text_Q1NETiBAU3VuYnVyc3Q3,size_14,color_FFFFFF,t_70,g_se,x_16)
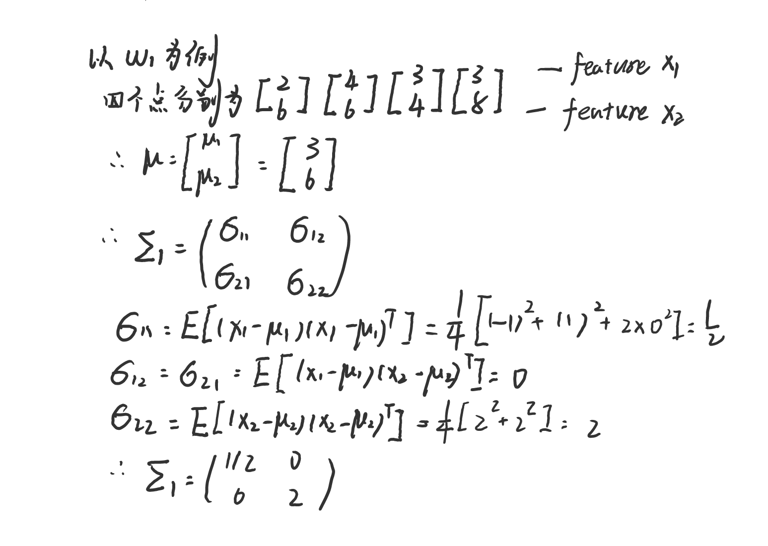
尝试计算上图的贝叶斯判别边界。以ω 1 \omega_1ω1表示红点的集合,ω 2 \omega_2ω2表示红点的集合。在这里我们假设只需要计算均值与方差,利用离散随机变量的均值与方差的定义可得。以ω 1 \omega_1ω1的计算为例:

因此:
μ 1 = [ 3 6 ] Σ 1 = ( 1 / 2 0 0 2 ) μ 2 = [ 3 − 2 ] Σ 2 = ( 2 0 0 2 ) \mu_1=\begin{bmatrix} 3\\ 6 \end{bmatrix}\;\Sigma_1=\begin{pmatrix} 1/2 &0 \\ 0& 2 \end{pmatrix} \mu_2=\begin{bmatrix} 3\\ -2 \end{bmatrix}\; \Sigma_2=\begin{pmatrix} 2 &0 \\ 0& 2 \end{pmatrix}μ1=[36]Σ1=(1/2002)μ2=[3−2]Σ2=(2002)
因为Σ 1 \Sigma_1Σ1与Σ 2 \Sigma_2Σ2不相同,ω 1 \omega_1ω1与ω 2 \omega_2ω2方差也不相同,属于第三类:Σ i = \Sigma_i=Σi=任意。假设两类分布的先验概率相等(P ( ω 1 ) = P ( ω 2 ) P(\omega_1)=P(\omega_2)P(ω1)=P(ω2))带入到3.3节的公式中,则g 1 ( x ) = g 2 ( x ) g_1(x)=g_2(x)g1(x)=g2(x)的判别边界如图中的顶点是(3 , 1.83)二次曲线,为:
x 2 = 3.514 − 1.125 x 1 + 0.1875 x 1 2 x_2=3.514-1.125x_1+0.1875x_1^2x2=3.514−1.125x1+0.1875x12
尽管两种分布的数据沿x 2 x_2x2方向的方差相等(协方差矩阵的第二行),但判别边界并不通过两均值向量([3,6];[3,2])的中点。这是因为对于ω 1 \omega_1ω1分布而言,沿x 1 x_1x1方向的概率分布相比与ω 2 \omega_2ω2分布受到挤压(ω 2 \omega_2ω2样本沿x 1 x_1x1分布的更宽,且协方差矩阵第一行ω 2 \omega_2ω2更大),由于总的先验概率相等(整个特征空间的积分【面积】相等),那么沿x 2 x_2x2方向的分布将要增加(相对于ω 2 \omega_2ω2),因此判别边界位于两均值向量的中点偏ω 2 \omega_2ω2方向。
参考
【1】模式分类(第二版)
【2】https://www.cnblogs.com/Determined22/p/6347778.html